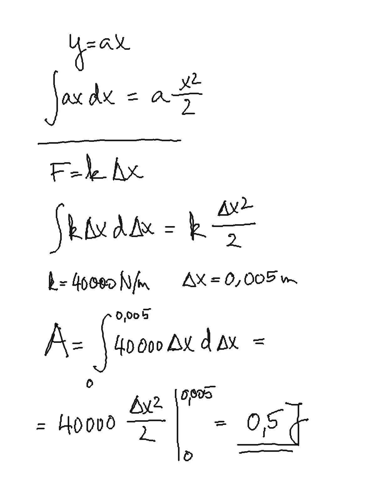
Arvutus

Kui õnnestub muutuvat jõudu matemaatiliselt kirjeldada, võib tehtava töö leida integreerimisega.