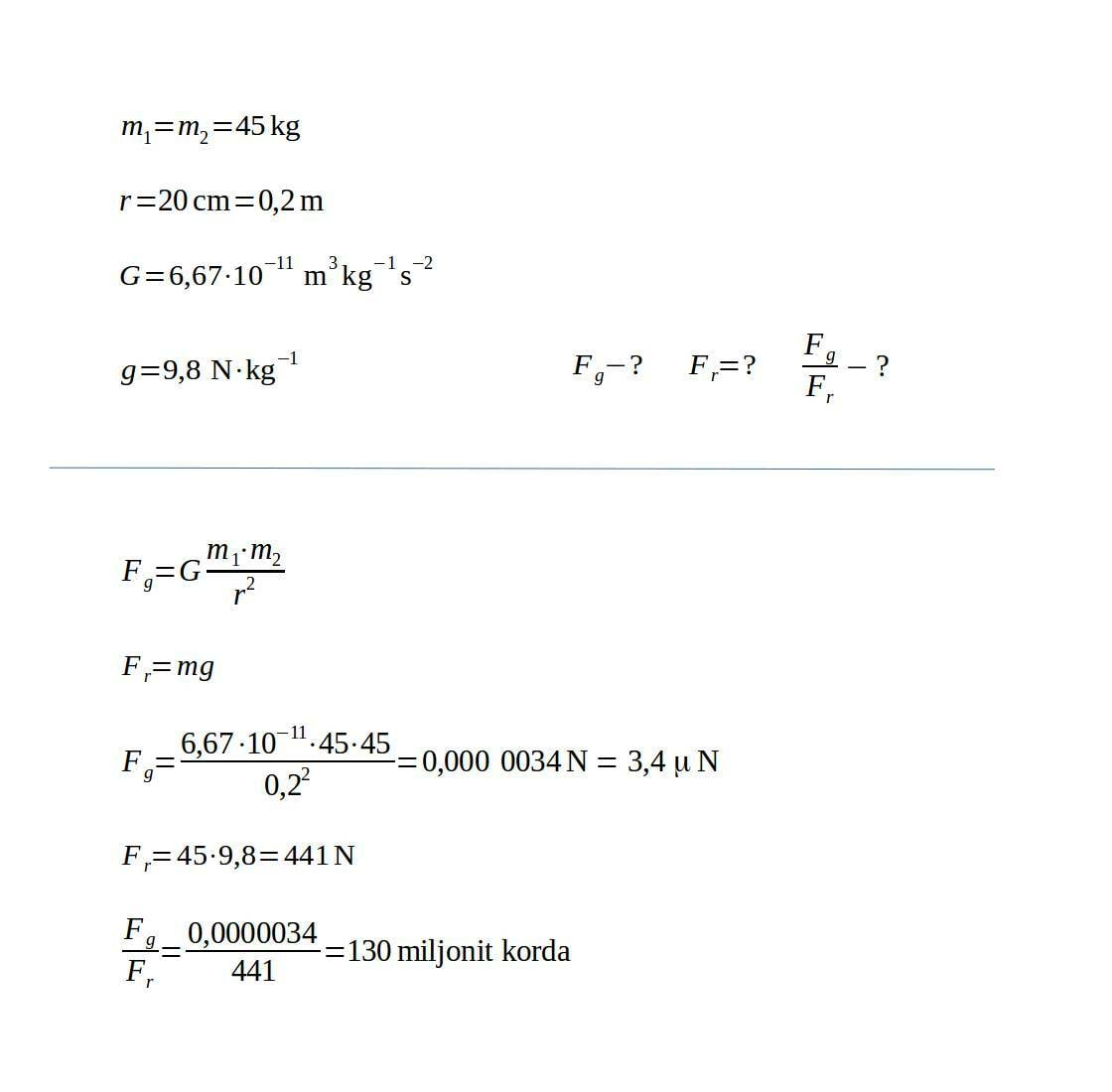
Rehkendus

Rehkendus