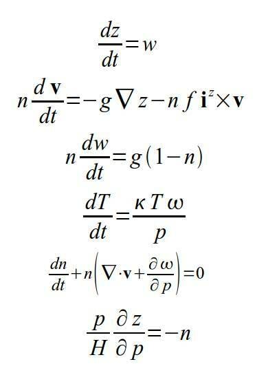
Võrrandite süsteem, millega ennustatakse ilma