David J. C. MacKay Taastuvenergiast ilma udujututa
 

Taastuvenergiast ilma udujututa

  1. Kokkuvõte
    1. Taastuvenergiast ilma udujututa
  2. 1 Numbrid, mitte hinnangud
    1. 1.1 Motivatsioon
    2. 1.2 Bilanss
    3. 1.3 Autod
    4. 1.4 Tuul
    5. 1.5 Lennukid
    6. 1.6 Päike
    7. 1.7 Soojendamine ja jahutamine
    8. 1.8 Hüdroelekter
    9. 1.9 Valgus
    10. 1.10 Tuul avamerel
    11. 1.11 Tehnovidinad
    12. 1.12 Lained
    13. 1.13 Toit ja toidutööstus?
    14. 1.14 Looded
    15. 1.15 Asjad
    16. 1.16 Geotermiline
    17. 1.17 Avalikud teenused
    18. 1.18 Kas me suudaks elada taastuvenergiast?
  3. 2 Teha asju, mis päriselt loevad
    1. 2.1 Iga SUUR asi loeb
    2. 2.2 Parem transport
    3. 2.3 Nutikam kütmine
    4. 2.4 Efektiivne elektrikasutus
    5. 2.5 Taastuvad fossiilkütused?
    6. 2.6 Tuumaenergia?
    7. 2.7 Kui elaks teiste riikide taastuvenergiast?
    8. 2.8 Kõikumised ja salvestamine
    9. 2.9 Viis energiaplaani Suurbritannia jaoks
    10. 2.10 Paneme kulud õigesse konteksti
    11. 2.11 Mida nüüd teha
    12. 2.12 Energiaplaanid Euroopa, Ameerika ja maailma jaoks
    13. 2.13 Viimane asi, millest peame rääkima
    14. 2.14 Jah ütlemine
  4. 3 Tehniline
    1. 3.1 Autod II
    2. 3.2 Tuul II
    3. 3.3 Lennukid II
    4. 3.4 Päike II
    5. 3.5 Kütmine II
    6. 3.6 Lained II
    7. 3.7 Looded II
    8. 3.8 Asjad II
  5. 4 Kasulikud andmed
    1. 4.1 Lühikokkuvõtted
    2. 4.2 Rahvastik ja pindalad
    3. 4.3 Ühendkuningriikide energiaajalugu
    4. 4.4 Veebilinkide nimekiri
    5. 4.5 Kasutatud kirjandus
Kokkuvõte
Taastuvenergiast ilma udujututa

David J. C. MacKay

See tähelepanuväärne raamat toob väga selgelt ja objektiivselt välja mitmed vähese CO2 heitkogusega alternatiivid, mis on meile kättesaadavad.

Sir David King, Kuningliku Seltsi liige

Ühendkuningriigi valitsuse juhtiv teadusnõunik 2000–2008

See raamat peaks olema kohustuslik lugemine igaühele, kellel on mõju energiapoliitikale, olgu see valitsuses, ärivaldkonnas või huviorganisatsioonis.

Tony Juniper

Keskkonnakaitseorganisatsiooni Maa Sõbrad endine tegevdirektor

Viimaks ometi üks raamat, mis avaldab põhjalikult säästva energia tegelikud asjaolud, tehes seda nii loetaval kui ka huvitaval viisil.

Robert Sansom

Strateegia ja jätkusuutliku arengu direktor, EDF Energy

Kümneleheküljeline ülevaade
Magnuse naftaplatvorm

Me sõltume fossiilkütustest ja see ei ole jätkusuutlik. Arenenud maailm saab 80% energiast fossiilkütustest, Suurbritannia . See on jätkusuutmatu kolmel põhjusel.

Esiteks saavad kergesti kättesaadavad fossiilkütused ühel päeval otsa, seega peame lõpuks energiat saama kusagilt mujalt.

Teiseks on fossiilkütuste põletamisel kliimale mõõdetav ja väga tõenäoliselt ohtlik mõju.

Joonis 1: Süsinikdioksiidi (CO2) kontsentratsioon (miljondikosades) viimase 1100 aasta jooksul, mõõdetud jääpuursüdamikesse lõksu jäänud õhust (kuni 1977. aastani) ja Hawaiil otse õhust (1958. aastast). Mulle tundub, et vahemikus 1800 pKr – 2000 pKr juhtus midagi uut. Ma olen ära märkinud 1769. aasta, mil James Watt patentis aurumasina. (Esimene töötav aurumasin töötati välja 70 aastat enne seda, 1698. aastal, kuid Watti oma oli märksa tõhusam.)

Ohtliku kliimamuutuse vältimine ajendab meid viivitamata oma fossiilkütuste tarbimises muudatust tegema.

Kolmandaks, isegi kui me ei hooli kliimamuutusest, näib drastiline muudatus Suurbritannia fossiilkütuste tarbimises targa sammuna, kui hoolime tarnekindlusest: jätkuv Põhjamere nafta- ja gaasivarude kiire ammendamine paneb fossiilisõltuvuses Suurbritannia üsna pea sõltuma ebausaldusväärsete välismaalaste impordist. (Loodetavasti ikka märkate mu irooniat.)

Kuidas vabaneda fossiilkütuste sõltuvusest?

Nõuannetest teemal „kuidas olukorda muuta“ ei ole puudust, kuid avalikkus on segaduses, kas need skeemid ka tegelikult parandavad midagi või on lihtsalt viigilehed. Inimesed on põhjusega kahtlustavad, kui firmad ütlevad meile, et nende „rohelise“ toote ostmisega oleme „oma osa täitnud“. Sama mures on nad riikliku energiastrateegia pärast. Kas „detsentraliseerimine“ ning „soojuse ja elektri koostootmine“ on näiteks piisavalt rohelised? Valitsus tahab, et me nii arvaksime. Kuid kas need tehnoloogiad tõesti vabastaksid Suurbritannia kliimamuutustega seotud kohustustest? Kas tuulepargid on „kõigest žestid, millega meie juhid tõestavad oma keskkonnahoidlikkust“? Kas tuumaenergia on hädavajalik?

Me vajame plaani, mis on tasakaalus, st kus taastuvenergiat toodetakse sama palju kui energiat tarbitakse. Hea uudis on, et sellise plaani saab tõesti koostada. Halb uudis aga, et selle rakendamine saab olema keeruline.

I osa – Arvud, mitte arvamused

Raamatu esimeses osas arutletakse selle üle, kas selline riik nagu Ühendkuningriik, mida on teatavasti rikkalikult õnnistatud tuule-, laine- ja loodete ressurssidega, saaks oma taastuvatest energiaallikatest ära elada. Me kuuleme tihti, et Suurbritannia taastuvad energiaallikad on „tohutud“. Kuid teadmisest, et energiaallikas on „tohutu,“ ei piisa. Meil on vaja teada, kuidas see suhestub ühe teise „tohutuga“ - nimelt meie tohutu tarbimisega. Selliste võrdluste tegemiseks on meil vaja numbreid, mitte arvamusi.

Kui kasutatakse numbreid, muudab nende suurus need tihtipeale hägusaks. Numbreid kasutatakse mulje avaldamiseks, sõnasõjas punktide võitmiseks, teavitamata jätmiseks. Minu eesmärk on seevastu tuua välja ausad faktidel põhinevad numbrid nii, et need oleks arusaadavad, võrreldavad ja meeldejäävad. Need numbrid on muudetud arusaadavaks sellega, et on väljendatud igapäevastes personaalsetes ühikutes. Energiat väljendatakse kilovatt-tundides () elaniku kohta, samades ühikutes, mida võib näha tavalisel elektriarvel; ja võimsust kilovatt-tundides päeva kohta (kWh/p), samuti ühe elaniku kohta. Joonisel 2 on näitena võrreldud mõningaid suurusi neis ühikutes. Punases tulbas (tarbimine) on näidatud, et kui sõita tavalise autoga päevas , kulutab see päevaga energiat. Paremal pool, rohelises tulbas (tootmine), on välja toodud mõned taastuvad energiaallikad: kui katta riigi territooriumist tuuleparkidega, toodaks see päevas elaniku kohta elektrienergiat.

Joonis 2: Paari energiat tarbiva tegevuse võrdlus Suurbritannia kolmest allikast pärit taastuvenergia kujuteldava tootlusega. Vasakul (punane tulp) on näha, et kui sõita päevas , kulub selleks (päevas) energiat , ja kui võtta igal aastal ette üks pikamaalend, kulub selleks päevas (aasta keskmine). Paremal (roheline tulp) on näha, et Suurbritannia tuulisemate alade katmine rannikutuuleparkidega toodaks päevas elaniku kohta energiat; iga lõunapoolse katuse katmine päikeseküttepaneelidega 13kWh/p elaniku kohta; ja Atlandi ookeani laineid püüdvad laineenergiamuundurid, mis katavad 500km pikkust rannikuala, toodaksid päevas elaniku kohta energiat.

Üks põhjus, miks selliseid personaalseid ühikuid kasutada, on see, et nii on palju lihtsam liikuda Ühendkuningriigi üle arutamisest teiste riikide ja regioonide juurde. Kujutame näiteks ette, et räägime jäätmepõletusest, ja saame teada, et Ühendkuningriigis toodab jäätmepõletus aastas energiat ning Taanis .  ( (üks teravatt-tund) on võrdne ühe miljardi kWh-ga.) Aitab see meil mõista, kas Taani põletab rohkem jäätmeid kui Ühendkuningriik? Ehkki teadmine, kui suur on iga riigi jäätmepõletuse kogutoodang, võib olla huvitav, kaldun mina arvama, et tavaliselt tahame teada, kui suur on toodang elaniku kohta. (Lihtsalt teadmiseks: Taanis on see elaniku kohta; Suurbritannias elaniku kohta. Seega põletavad taanlased umbes korda rohkem prügi kui britid.) Rääkides kõigest algusest peale ühe elaniku kohta, on tulemuseks paremini ülekantav raamat, millest ülemaailmsetes energiaaruteludes on loodetavasti kasu.

Kui lihtsad ja ausad numbrid on paigas, saame vastata järgmistele küsimustele:

  1. Kas sellisel riigil nagu Suurbritannia on võimalik hakkama saada oma taastuvenergia allikate najal?
  2. Kas n-ö arenenud tehnoloogiale üleminek laseb meil vabaneda süsihappegaasireostusest ilma, et peaksime muutma oma elustiili?

„Taastuvenergia – ilma udujututa“ esimeses osas illustreerivad arutlusi punane tarbimise tulp, kus on toodud välja mõne energiat kulutava tegevuse energiakulu; ja roheline taastuvenergia tulp, kus on kokku liidetud Suurbritannia potentsiaalsed taastuvenergia allikad.

Punaste tarbimistulpadega tegeledes lükkame ümber nii mõnegi müüdi. Näiteks tuuakse telefonilaadijate vooluvõrku jätmist tihtipeale esile kui näidet keskkonnavaenulikust teost ja inimesi, kes laadijad seinast välja tõmbavad, kiidetakse selle eest, et nad on „oma osa täitnud“. Tõde on aga selline, et tavaline mobiililaadija kulutab päevas kõigest energiat. Energiahulk, mis säästetakse telefonilaadija seinast väljatõmbamisega – –, on täpselt sama suur, kui üks auto suudab ära kulutada ühe sekundiga. Ma ei taha sellega öelda, et te ei peaks telefonilaadijaid seinast välja tõmbama, kuid ärge laske end lollitada mantrast „ka vähesest on abi“. Telefonilaadija maniakaalne vooluvõrgust eemaldamine on sama hea kui Titanicust teelusikaga vee välja kühveldamine. Minugipoolest tõmmake see välja, kuid saage siiski aru, kuivõrd tilluke žest see on.

Telefonilaadija üheks päevaks seinast väljatõmbamisega säästetava energiahulga kulutab autosõit ära ühe sekundigaAastas telefonilaadija seinast väljatõmbamisega säästetava energia hulk on sama, mis kulub ühele kuumale vannile. Telefonilaadija moodustab teie energia kogutarbimisest kõigest murdosa. Kui igaüks panustab vähehaaval, siis ka saavutame üsna vähe.

Veel üks meeldejääv arv on pikamaalendude panus inimese energeetilisse jalajälge. Kui te lendate kord aastas Kaplinna ja tagasi, kulutate selle reisiga sama palju energiat, kui kulub aasta läbi iga päev autoga sõitmisele.

Üsna märkimisväärse osa Suurbritannia energeetilisest jalajäljest moodustavad asjad. Sissetoodud tööstustoodangut ei loeta tavaliselt Suurbritannia energeetiliseks jalajäljeks, sest nende tootmiseks vajaliku energia kulutas ära teise riigi tööstus, kuid imporditava tööstustoodangu (nagu autod, masinad, kodumasinad, elektroonilised seadmed, raud, teras ja puistlast) energiakulu on vähemalt päevas elaniku kohta.

Tabel 1.1 Suurbritannia asjade vool (kg päevas elaniku kohta)

SISSE

 

VÄLJA

 

Fossiilkütused

16

Süsinikdioksiid ja muud KHG

30

Kivisüsi

4

Olmejäätmed

1,6

Nafta

4

Taaskasutatakse

0,27

Gaas

8

Põletatakse

0,13

Koguimport

12,5

Ladestatakse prügilasse

1,0

Imporditud toit

1,6

Ohtlikud jäätmed

0,2

Tehasetoodang

3,5

Äravisatud toit

0,3

Vesi

160

   

Raamatu esimeses pooles tehakse kaks selget järeldust.

Esiteks: selleks, et ükskõik millise taastuvenergiaasutuse panus oleks märkimisväärne ehk vähegi võrreldav meie praeguse tarbimisega, peaks see olema riigisuurune. Näiteks tuleks veerandi praeguse energiakulu katmiseks energiakultuuridega katta Suurbritanniast biomassiistandustega. Selleks, et katta meie praegusest energiakulust laineenergiaga, tuleks 500km Atlandi ookeani rannikut katta täielikult laineenergia jõujaamadega. Need, kes tahavad elada taastuvenergiast, kuid tahavad samas, et sellega seostuv taristu ei oleks suur ega pealetükkiv, petavad iseennast.

Taastuvenergiarajatised peavad olema riigisuurused, sest kõik taastuvenergiaallikad on nii hajusad. Tabelis on välja toodud mõningate taastuvenergiaallikate energiatootlikkus maa või vee pindalaühiku kohta.

Tabel 1.2:
Võimsus maismaa või veepinna pindala kohta
Tuul2,5W/m2
Tuul merel
Tõusud ja mõõnad
Vee voolamine tõusudel ja mõõnadel6W/m2
Päikesepaneelid520W/m2
Taimed
Vihmavesi (mägistes piirkondades)
Hüdroelekter
Geotermiline soojus0,017W/m2
Päikeseahjud0,1W/m2
Ookeani soojus5W/m2
Päikeseenergia koondamine (kõrbetes)1520W/m2

Teiseks. Euroopa keskmine energiatarbimine on inimese kohta. Nende riigisuuruste taastuvenergiaallikatega oleks võimalik see energiatarbimine katta, kui jätaksime kõrvale majanduslikud piirangud ja avaliku vastuseisu. Kaks suurimat panustajat oleksid päikesepaneelid, mis, kattes riigi pindalast või , toodaksid inimese kohta ; ja avamere tuulepargid, mis, kattes Walesist kaks korda suurema mereala, toodaksid inimese kohta keskmiselt järgmised .

Selline röögatu maapiirkondade paneelidega katmine ja briti merede täitmine tuulegeneraatoritega (mis on viis korda võimekamad kui kõik tänapäeva tuuleturbiinid kokku) võib küll füüsikaseaduste kohaselt võimalik olla, kuid kas avalikkus nõustuks selliste ekstreemsete ümberkorraldustega ja maksaks nende eest? Kui vastus on ei, oleme sunnitud tegema järelduse, et Suurbritannia taastuvenergiaallikad ei saa mitte kunagi meie praegust energiavajadust katma. Me vajame tarbimise radikaalset vähendamist või märkimisväärselt rohkem energiaallikaid – või mõlemat.

II osa – Energiaplaan, mis on tasakaalus

„Taastuvenergia – ilma udujututa“ teises osas arutletakse kuue strateegia üle, millega on võimalik ületada lõhe esimeses osas välja toodud energiatarbimise ja taastuvenergiaallikate tootlikkuse vahel, misjärel visandatakse Suurbritannia jaoks mõned tasakaalus energiaplaanid.

Esimesed kolm strateegiat lõhe ületamiseks vähendavad nõudlust.

  • Elanikkonna vähendamine; 
  • Elustiili muutus; 
  • Üleminek tõhusamale tehnoloogiale

Ülejäänud strateegiad lõhe ületamiseks suurendavad pakkumist.

  • Fossiilkütuste ja kivisöe keskkonnasäästlikuks kasutamiseks (ehk nn puhas kivisüsi) nimetatakse kivisöe põletamise jätkamist, kuid teistmoodi – süsinikdioksiidi sidumise ja ladustamisega. Millist „säästlikku“ energiat me võime kivisöest saada? 
  • Ka tuumaenergia on üks vastuoluline võimalus. Või on see kõigest ajutine lahendus? 
  • Kolmas viis süsihappegaasivaba energia saamiseks on elada teiste riikide taastuvenergiast: selliste riikide omast, mida on õnnistatud küllusliku päikesevalguse ja väikese asustustihedusega. Milline on Sahara kõrbe realistlik potentsiaal?
Joonis 5: Päikeseenergial töötav Stirlingi mootor. Need kaunid kooondajad toodavad energiat 14W/m2. Foto: Stirling Energy Systems. www.stirlingenergy.com

Diskussiooni teravamaks muutmiseks lihtsustab raamat Suurbritannia karikatuuriks, kus on esindatud ainult kolm tarbimiskategooriat: transport, soojus ja elekter.

Suurbritannia jaoks tuuakse välja viis energiaplaani, millest kõik vähendavad energiatarbimist transpordi ja soojustootmise elektriseerimise abil (soojuspumpade kasutamise abil). Elektrimootoriga sõidukitega kaasneb teine mugav aspekt: suurt elektritarbimist tekitab nende akude laadimine, mida saab kergesti sisse ja välja lülitada, mistõttu aitab nutikas akulaadimine tasakaalustada nõudlust pakkumisega tugevatele taastuvenergiaallikatele või tuumaenergiale tuginevas elektrivõrgus.

Joonis 6: Praegune tarbimine elaniku kohta „karikatuur-Suurbritannias 2008“ (kaks vasakpoolset tulpa) ja tuleviku tarbimisplaan koos kütuste võimaliku jaotusega (kaks parempoolset tulpa). See plaan eeldab elektritootmise suurendamist 18kWh/p pealt peale elaniku kohta.

Transpordi ja soojustootmise elektriseerimine nõuab muidugi elektritootmise märkimisväärset suurendamist. Viis plaani pakuvad selleks vajalikku elektrit, kasutades viit erinevat süsihappegaasivaba kombinatsiooni. Need kombinatsioonid esindavad erinevaid poliitilisi pilte, sealhulgas plaani G (green – roheline), mis ajab läbi ilma kivisöe keskkonnasäästliku kasutamise ja tuumaenergiata; plaani N (NIMBY e not in my backyard – mitte minu õuel), mis kasutab ulatuslikult teiste riikide taastuvenergiat; ja plaani E (economist – majandusteadlane), mis keskendub kõige ökonoomsematele süsinikdioksiidivabadele valikutele: maismaatuulepargid, tuumaenergia ning käputäis loodete laguune.

Joonis 7: Viis energiaplaani Suurbritanniale. Kõik need pakkumise vaatenurgast tehtud plaanid eeldavad, et nõudlust on suurel määral soojuse ja transpordi tõhustamise arvelt vähendatud.

Need plaanid täpsustavad, millisele vundamendile me oma väiksema süsihappegaasi heitkogusega energeetika tuleviku rajama peame.

Joonis 8: Andasol – Hispaanias asuv „“ päikeseenergiajaam. Päeval toodetud üleliigne soojusenergia salvestatakse kuni seitsmeks tunniks vedelsoolamahutitesse, tagades elektrivõrgu katkematu ja stabiilse varustatuse. Maa pindalaühiku tootlus saab olema 10W/m2. Foto: IEA SolarPACES.

Kui me ei toetu suurel määral ei tuumaenergiale ega kivisöe keskkonnasäästlikule kasutamisele, peame energiatasakaalu säilitamiseks ostma teiste riikide taastuvenergiat. Kõige paljulubavam laiaulatuslikult arendatav taastuvenergiaallikas on kõrbetes päikesekiirguse koondamine. Päikesekiirguse kooondamisel kasutatakse elektri tootmiseks erinevaid kombinatsioone liikuvatest peeglitest, vedelsoolast, aurust ja sisepõlemismootoritest.

Selleks, et anda parem pilt sellest, kuidas tasakaalus energiaplaanid meie igapäevast elu mõjutavad, on joonisel 9 näidatud kuuendat plaani järgiv Suurbritannia. Kuues plaan hõlmab kõikvõimalikke vähese süsihappegaasi heitkogusega allikaid ning asub enam-vähem esimese viie vahel. Seega kutsun seda plaaniks M (middle – keskmine).

Joonis 9: Plaan M. Tasakaalus plaan Šotimaale, Inglismaale ja Walesile. Hallikasrohelised ruudud on tuulepargid. Igaüks neist katab ala ja on kujutatud suhtelistes mõõtmetes. Punased jooned meres on laineenergiajaamad, mõõtmed on suhtelised. Helesinised välgunoole kujuga hulknurgad: päikeseenergiajaamad, millest igaüks katab ala, mõõtmed on suhtelised. Sinised teravate nurkadega hulknurgad meres: loodepargid. Sinised laigud meres (Blackpooli ja Washi lähedal): loodete laguunid. Helerohelised maa-alad: metsad ja lühikese raieringiga madalmetsad (suhtelistes mõõtmetes). Kollakasrohelised alad: biokütus (mõõtmed on suhtelised). Väikesed sinised kolmnurgad: jäätmepõletusjaamad (mõõtmed ei ole suhtelised). Suured pruunid nelinurgad: biomassi koospõletusega kivisütt keskkonnasäästlikult kasutavad energiajaamad, kus süsihappegaas seotakse ja talletatakse (mõõtmed ei ole suhtelised). Lillad täpid: tuumaelektrijaamad (mõõtmed ei ole suhtelised) keskmisega toodanguga 3,3GW kõigis 12 jaamas. Kollased kuusnurgad teisel pool väina: päikesekiirgust koondavad elektrijaamad kaugetes kõrbetes (mõõtmed on suhtelised, igaüks 335km2). Roosa looklev joon Prantsusmaal tähistab uusi HVDC elektriliine (2000km pikad), mis toovat kõrbetest Suurbritanniasse 40GW elektrit. Kollased tähed Šotimaal: uued pump-hüdroakumulatsioonijaamad. Punased tähed: olemasolevad pump-hüdroakumulatsioonijaamad. Sinised täpid: vee soojendamiseks kasutatavad päikesepaneelid kõigil katustel.
Joonis 10: Halb. BMW Hydrogen 7. Energiakulu: 254kWh kohta. Foto: BMW.

Minu eesmärk ei ole mitte valida võitjaid vaid esitada kõigi võimaluste kohta ausaid kvantitatiivseid fakte. Niisiis toon järgmisena välja mõned „pühad lehmad,“ mis ei paista kvantitatiivse luubi alla võetuna enam nii heast küljest, ja mõned, mis paistavad.

Halb: vesinikkütusega masinad on katastroof. Enamik vesinikautode prototüüpe kasutavad rohkem energiat kui need fossiilkütustel sõitvad masinad, mida nad asendavad. BMW Hydrogen 7 kulutab peale 254kWh energiat (samas kui keskmine fossiilkütusel sõitev briti auto kulutab sama maa peale ). Hea: seevastu elektriautode prototüübid kulutavad kümme korda vähem energiat: kohta või isegi kohta. Elektriautod on hübriididest palju paremad. Tänapäeva hübriidautosid, mis on parimal juhul fossiilkütusel töötavatest autodest paremad, peaks nägema kui põgusat kasulikku vahesammu teel elektriautodeni.

Halb: detsentraliseeritud soojuse ja elektri koostootmine on veel üks terendav viga. Jah, soojuse ja elektri koostootmine (st igasse hoonesse eraldiseisva elektrijaama panemine, mis toodab hoone soojas hoidmiseks lokaalselt elektrit ning soojust) võib küll olla veidi tõhusam viis fossiilkütuste kasutamiseks kui tavaline meetod (st tsentraliseeritud elektrijaamad ja lokaalsed kondensatsioonikatlad). See on siiski kõigest ligikaudu 7% tõhusam. Ja kasutab ikkagi fossiilkütust! Kas eesmärk ei ole mitte vabaneda fossiilkütustest? Õigupoolest on olemas palju parem viis lokaalselt soojust toota: soojuspump. Hea: soojuspumbad on tagurpidi külmkapid. Elektrijõul töötav soojuspump pumpab soojuse õuest tuppa, võttes selle õhust või maapinnast. Parimate, hiljuti Jaapanis välja töötatud soojuspumpade soojustegur on . See tähendab, et pump toodab elektrist sooja kas sooja õhu või kuuma vee näol. See on märksa tõhusam viis kvaliteetsest energiast soojuse saamiseks kui lihtsalt kvaliteetsetele kemikaalidele tule otsapanek, mille soojustegur on kõigest 0,9.

Halb: katustele paigaldatud mikroturbiinid on totaalne ressursside raiskamine. Nad ei tasu end kunagi ära. Hea: seevastu on katustele paigaldatavad päikese-veesoojendid ilmselge valik. Need tõesti töötavad. Isegi Suurbritannias, kus päikesepaistet on ainult , suudab tagasihoidlik  paneel soojendada pool keskmise pere veest.

Halb: telefonilaadija seinast väljatõmbamine on mannetu žest, sama hea kui Titanicust teelusikaga vee väljakühveldamine. Telefonilaadija väljatõmbamise levinud kaasamine nimekirjadesse kümnest asjast, mida sa saad ära teha, on halb, sest viib tähelepanu kõrvale tõhusamatest tegevustest, mida inimesed võiks ette võtta. Hea: termostaadi madalamaks keeramine on üks kõige tõhusamaid elektri kokkuhoiu viise, mis on tavainimesele kättesaadav – iga madalamaks keeratud kraad vähendab soojuskulusid ja soojusele kulub enamikus Suurbritannia hoonetes just kõige rohkem energiat. Joonisel 16 on minu maja andmed.

See raamat ei ole mõeldud kasutamiseks põhjaliku ülitäpsete arvudega allikana. Pigem on selle eesmärk näitlikustada, kuidas kasutada ligikaudseid numbreid konstruktiivses konsensuslikus vestluses. See raamat ei propageeri ühtki energiaplaani ega tehnoloogiat. Pigem on siin kirjas, mitu klotsi on Lego karbis ja kui suur on iga tükk, et lugeja saaks ise otsustada, kuidas töötada välja klappiv plaan.

Joonis 15: Hea. kuumaveepaneeli toodetud päikeseenergia (roheline) ja lisasoojusvajadus (sinine), et toota Viridian Solari katsemajas kuuma vett. (Fotol on näha maja, mille katusel on sama mudeli paneel.) Keskmiselt tootis paneel päikeseenergiat . Katse jäljendas keskmise Euroopa majapidamise soojaveekasutust, milleks on päevas liitrit kuuma vett (). vahe kogu toodetud soojuse (must joon, kõige ülemine) ja kasutatud sooja vee vahel (punane joon) tuleb soojuskaost. Violetne joon näitab päikeseenergiasüsteemi töös hoidmiseks kuluvat elektrit. Nende päikesepaneelide keskmine energiatoodang pindalaühiku kohta on 53W/m2
Joonis 16: Minu kodu gaasikulud aastatel 1993–2007. Iga joon näitab aasta kumulatiivset tarbimist kilovatt-tundides. Iga aasta lõpus olev number on tolle aasta keskmine tarbimine kilovatt-tundides päevas. Mõõdiku lugemise hetked on märgitud siniste täppidega. Tuleb välja, et mida tihedamini ma mõõdikut loen, seda vähem gaasi ma kasutan!

III osa – Tehnilised peatükid

Raamatu kolmas osa sukeldub energiatarbimise ja -tootmise füüsikalistesse alustesse. Kaheksa lisa näitavad algtõdede põhjal, kust esimese kahe osa numbrid on saadud. Neis lisades seletatakse näiteks, kuidas autosid on võimalik palju energiasäästlikumaks teha ja miks lennukeid ei ole ning kuidas arvutada tuuleparkide, loodete ja laineenergiajaamade tootlikkust põlve otsas. Kuigi suurem osa raamatust on mõeldud arusaamiseks kõigile, kes oskavad liita, korrutada ja jagada, on need tehnilised lisad suunatud lugejatele, kes tunnevad end mugavalt selliste valemitega nagu .

Joonis 17: Õhuvool tuulegeneraatoris. Generaator aeglustab õhuvoolu ja jaotab selle laiali.

IV osa – Kasulikud andmed

Raamatu viimasel kuueteistkümnel leheküljel on veel võrdlusandmeid ja muundustegureid, mis tulevad kasuks raamatu ideede rakendamisel teistes riikides ning teistes organisatsioonides kasutatud ühikutest ja ühikutesse teisendamisel.

02.12.2008

Lisateave

Raamat on tasuta kättesaadav internetis aadressil www.withouthotair.com. UIT Cambridge avaldab raamatu Suurbritannias 02.12.2008 ja Põhja-Ameerikas 01.04.2009.

David MacKay on Cambridge’i Ülikooli füüsikaosakonna loodusfilosoofia professor.

Numbrid, mitte hinnangud
Motivatsioon

Me elame ajal, mil emotsioonid ja tunded loevad rohkem kui tõde ja teaduse tundmises valitseb ignorantsus.

James Lovelock

David Goodstein, Out of Gas (2004).

Lugesin hiljuti kahte raamatut, üks kirjutatud füüsiku, teine majandusteadlase poolt. Raamatus Out of Gas kirjeldab Caltech'i (Kalifornia Tehnoloogiainstituut) füüsik David Goodstein peagi saabuvat energiakriisi, mille toob endaga kaasa naftaajastu lõpp. Ta ennustab, et kriis saabub peagi ja tabab meid mitte siis, kui viimane piisk naftat on maapõuest kätte saadud, vaid siis, kui tootmine ei kata enam nõudlust - võib-olla juba 2015. või 2025. aastal. Ja isegi kui me suudaksime vaid sõrmenipsuga oma energiatarbimise tuumaenergiale ümber lülitada, asendaksime Goodsteini arvates lihtsalt naftakriisi tuumkütuse kriisiga - ja seda juba umbes kahekümne aasta pärast, sest ka uraani varud ammenduksid.

Bjørn Lomborg’s The Skeptical Environmentalist (2001).

Oma raamatus The Skeptical Environmentalist maalib Bjørn Lomborg hoopis teistsuguse pildi: „Kõik on kõige paremas korras.” Enamgi veel: „Kõik liigub paremuse poole.” Ning „me ei liigu energiakriisi poole” ja „energiat on piisavalt.”

Kuidas on võimalik, et kaks tarka inimest jõuavad nii erinevate järeldusteni? Ma pidin sellest aru saama.

Briti uudistesse jõudis energia 2006. aastal. Järjest hoogu koguva diskussiooni süütasid uudised kliimamuutustest ja gaasi hinna kolmekordistumisest kuue aasta jooksul. Kuidas peaks oma energiavajaduse rahuldama Suurbritannia? Aga maailm?

Näiteks „tuul või tuumaenergia?” On raske ette kujutada teemat, mis tekitaks tarkade inimeste vahel suuremat vastandumist. Ühes tuumaenergia kasutamise laiendamist käsitlevas diskussioonis ütles endine keskkonnaminister Michael Meacher: „Kui tahame vähendada kasvuhoonegaaside emissioone 60% võrra... aastaks 2050, ei ole seda võimalik teha teisiti kui läbi taastuvenergia kasutamise.” Samas ütles endine riigiteenistuja Söör Bernard Ingham, võttes sõna tuumaenergia kasutamise laiendamise poolt, et: „Need, kes loodavad [energia] puudusest üle saada taastuvenergia abil, elavad unistuste maailmas ja on minu arvates inimkonna vaenlased.”

Gaia kättemaks: Miks maailm vastu puikleb ning kuidas saaksime inimkonna siiski päästa. James Lovelock (2006).

Lahkarvamusi esineb ka keskkonnakaitsjate liikumise sees. Kõik on nõus, et midagi on vaja kiiresti teha, aga mida? Jätkusuutliku Arengu Komisjoni (Sustainable Development Commission) esimees Jonathon Porritt kirjutab: „Tuumaenergia arendamise plaanidele ei ole täna õigustust ja ... ükski selline ettepanek ei ole kooskõlas [valitsuse] kestliku arengu strateegiaga" ja „Tuumavaba stateegia peab ja on võimeline olema rohkem kui piisav, et vähendada kasvuhoonegaaside emissioone, mille peame saavutama 2050. aastaks, ja andma juurdepääsu turvalistele energiaallikatele.” Seevastu James Lovelock kirjutab oma raamatus The Revenge of Gaia: „Kestliku arendusega alustamiseks on täna juba liiga hilja.” Tema arvates on tuumaenergia „ainus efektiivne ravi," mida saame täna oma haigele planeedile pakkuda. Rannikualade tuulepargid on aga vaid „žest, millega meie juhid saavad tõestada oma keskkonnateadlikkust."

See kuum debatt sõltub eelkõige numbritest. Kui palju energiat suudaks erinevad allikad toota, milline majanduslik ja sotsiaalne kulu neil on ning millised riskid nendega kaasnevad? Kuid tegelikke numbreid kasutatakse harva. Avalikes aruteludes öeldakse lihtsalt, et „tuumaenergia neelab raha“ või et „meil on hiiglaslik kogus laine- ja tuuleenergiat.“ Sellise keelekasutuse probleemiks on fakt, et meile ei piisa teadmisest, et miski on hiiglaslik: meil on vaja teada, milline on ühe „hiiglasliku“ teguri ning ühe teise „hiiglasliku“ teguri ehk siis meie suure energiatarbe suhe. Selle võrdluse tegemiseks on meil vaja numbreid mitte hinnanguid.

Aruteludes, kus numbreid tõepoolest kasutatakse, jääb nende tähendus tihti hiiglaslikkuse varju. Need numbrid on valitud vaid mõju avaldamise või argumendi ilustamise eesmärgil ning mitte informeerimiseks. „Los Angelese elanikud sõidavad iga päev 228,5 miljonit kilomeetrit – Maa ja Marsi vahelise teekonna.“ „Igal aastal hävitatakse miljonit hektarit troopilist vihmametsa.“ „Igal aastal lisandub maailmamerre 6,3 miljonit tonni prügi.“ „Ühendkuningriikides igal aastal maha maetava paberiprahiga saaks täita 103448 kahekorruselist bussi.“

Kui kõik energiakriisi lahendamiseks välja käidud ebaefektiivsed ideed omavahel otsapidi kokku panna, ulatuksid need Kuule ja tagasi...pakun mina välja.

Milline mõju on tähendusrikaste numbrite ja faktide puudusel? Kogu see lõputu hulk segaseid andmeid ja informatsiooni ajab meil pea segi. BBC jagab soovitusi, kuidas igaüks saaks anda oma panuse planeedi päästmiseks. Näiteks: „Lülitage oma telefonilaadija välja, kui te seda ei kasuta.“ Kui keegi julgeb vastu vaielda, et telefonilaadijad pole tegelikult meie peamised energiatarbijad, tuuakse välja mantra „iga pisike samm on samm õiges suunas.“ Iga pisike samm aitab? Palju realistlikum on mantra: kui igaüks panustab vaid veidi, on tulemuseks vaid väike muutus.

Ka ettevõtted panustavad sellesse igapäevasesse jamaajamisse, proovides meile selgeks teha kui imelised nad on või kuidas nad aitavad „meil oma panuse anda.“ Näiteks tähistatakse British Petroleum'i veebilehel süsinikdioksiidi emissioonide loodetavat vähenemist tänu BP laevade värvimiseks kasutatava värvi vahetamisele. Kas keegi üldse seda usub? Kõik peaksid ju aru saama, et meie ühiskonna süsinikdioksiidi emissioonide vähendamise seisukohast pole oluline, kuidas värvitakse laeva välimist külge – oluline on vaid see, mis toimub tankri sisemuses. BP tuli välja ka veebipõhise süsinikubalansi teenusega targetneutral.com, mis väidab, et nad „neutraliseerivad“ kõik teie süsinikuemissioonid ning et see on „planeedile tasuta“ - oma süsinikdioksiidi saaste saate nullida vaid naela eest aastas! Kuidas saab see tõsi olla? Kui kliimamuutuse probleemi parandamise tõeline kulu on tõesti naela inimese kohta, suudaks valitsus selle probleemi lahendada lihtsalt kantsleri taskus oleva lahtise raha abil!

Veelgi tüütumad on ettevõtted, kes kasutavad meie muret keskkonna pärast ära, pakkudes „veepõhiseid akusid,“ „biolagunevaid mobiiltelefone,“ „kaasaskantavaid kergesti monteeritavaid tuulegeneraatoreid“ ning muid mõttetuid vidinaid.

Ka kampaaniate väljamõtlejad proovivad meid eksitada. Inimesed, kes tahavad tuumaenergia asemel rõhutada taastuvenergiaallikate kasutamist, ütlevad näitaks, et „rannikualade tuuleenergia abil saaks toota energiat kõigi Ühendkuningriikide majapidamiste jaoks“ ning et „uued tuumajaamad ei aitaks meil kliimamuutuse vastu võidelda,“ sest uut tuumajaama vähendaksid emissioone vaid umbes võrra. See argument on ekslik, sest keset lauset muudetakse seda, millest jutt käib: energiat vajavate majapidamiste arv muutub emissioonide vähendamiseks. Tegelikkuses on nende suurepäraste tuulegeneraatorite poolt toodetav elektrienergia hulk täpselt sama suur mida saaks toota nende tuumajaama abil! „Kõigi Ühendkuningriikide majapidamiste energiaga varustamine“ moodustab vaid Ühendkuningriikide emissioonidest.

Joonis 1.1: See Greenpeace'i lendleht saabus minu postkasti 2006. aasta maikuus. Kas kuumalt armastatud tuulegeneraatorid suudaksid tõesti need vihatud jahutustornid asendada?

Võib-olla on meie kuningriigi kõige suuremaks jamaajajaks inimesed, kes peaksid justkui targemad olema – meediapublikatsoonid, kes seda jama tõe pähe müüvad: näiteks New Scientist oma artikliga vee jõul töötavast autost.

Ühiskonnas, kus inimesed numbreid õieti ei mõista, võivad ajalehed, kampaaniate tootjad, ettevõtted ning poliitikud justkui ükskõik mida teha.

Meil on vaja lihtsaid numbreid ning need numbrid peavad olema arusaadavad, võrreldavad ning meeldejäävad.

Õigete numbrite abil suudame kergemini vastata järgnevatele küsimustele:

  1. Kas Suurbritannia sarnane riik suudaks tõepoolest elada ära vaid omaenda taastuvenergiaallikatest?
  2. Kui igaüks meist keeraks oma termostaati ühe kraadi võrra välistemperatuurile lähemale, sõidaks väiksema autoga ning lülitaks mobiililaadijad väljaspool nende kasutamisaega välja saaksime energiakriisi tõepoolest vältida?
  3. Kas transpordis kasutatavate kütuste aktsiisi tuleks märkimisväärselt tõsta? Kas teede kiiruspiirangud tuleks poole võrra väiksemaks teha?
  4. Kas tuumajaamade asemel tuuleparke pooldavad inimesed on rahvavaenlased?
  5. Kui kliimamuutus on „suurem oht kui terrorism,“ kas siis valitsused peaksid kriminaliseerima „reisimise populariseerimise“ ning jõustama tarbimist reklaamivate tegevuste vastased seadused?
  6. Kas üleminek „järgmise põlvkonna tehnoloogiatele“ võimaldaks meil süsinikdioksiidi emissioone vähendada ilma, et peaksime selleks oma eluviisi muutma?
  7. Kas inimesi peaks julgustama sööma rohkem taimetoitu?
  8. Kas inimeste arv planeedil on ideaalsest kuus korda suurem?
Milleks energiapoliitikast rääkida?

Praeguste energiateemaliste arutelude aluseks on kolm erinevat teemat.

Joonis 1.2: Kas „meie“ fossiilkütused hakkavad otsa saama? Põhjamere toornafta kogutoodang ning hind barreli kohta 2006. aastal.

Esiteks: fossiilkütused on lõplik energiaallikas. Tundub võimalik, et odav kütus (mille jõul meie autod ja veokid sõidavad) ja odav gaas (millega kütame paljusid hooneid) saab juba meie eluajal otsa. Seega proovime leida alternatiivseid energiaallikaid. Tõepoolest: teades, et fossiilkütused on väärtuslikud ning kasulikud näiteks plastmassi ja muude põnevate asjade tootmisel, peaksime ehk tõepoolest neid veidi mõttekamalt kasutama ning mitte lihtsalt põletama.

Joonis 1.3: Ühendkuningriikide elektrijaamade sulgemise tõttu tekkiv energiapuudujääk vastavalt energiaettevõtte EdF andmetele. Sellel graafikul on näidatud tuumaelektriaamade ja kivisütt või naftat põletavate elektrijaamade energiavõimekus kilovatt-tundides inimese kohta päevas. See võimekus on energiaallika poolt maksimaalne toodetav võimsus.

Teiseks: meid huvitab energiatarne kindlustamine. Isegi juhul, kui fossiilkütused on tulevikus kusagil maailmanurgas veel saadaval, ei tahaks me neist sõltuda, sest nii muutuks meie majandus ebausaldusväärsete välismaalaste tujude tõttu haavatavaks. (Loodan, et saate aru, et viskasin siinkohal lihtsalt nalja.) Joonise 1.2 põhjal tundub tõesti, et „meie“ fossiilkütuste toodang on tõepoolest oma haripunkti juba saavutanud. Ühendkuningriikide kohal hõljub tõesti tume pilv, mida tuntakse ka „energiapuudujäägi probleemi“ nime all. Järgmise kümnendi jooksul suletakse suurel hulgal vanu kivisöe- ning tuumaenergiajaamasid (Joonis 1.3), mistõttu on võimalik, et mõnikord ületab energianõudlus energiatoodangu – seda juhul, kui adekvaatseid tagavaraplaane ei rakendata.

Kolmandaks: on vägagi usutav, et fossiilkütuste kasutamine muudab meie kliimat. Kliimamuutuse põhjustamises süüdistatakse mitmeid inimtegevusi, kuid neist suurimaks on kasvuhooneefekti suurenenud mõju läbi atmosfääri süsinikdioksiidi () sisalduse tõusu. Enamik süsinikdioksiidi emissioone pärinevad fossiilkütuste põletamisest. Ning peamine põhjus, miks me fossiilkütuseid põletame, on energia. Seega: et kliimamuutusega võidelda, peame energia saamiseks leidma uue viisi. Kliimaprobleem on tegelikult energiaprobleem.

Pole oluline, milline neist kolmest teemast sind kõige rohkem muretsema paneb: meil on vaja teada olulisi energia kohta käivaid numbreid ning efektiivseid poliitilisi otsuseid.

Esimesed kaks murekohta on fossiilkütuste kasutamise drastilise vähendamise seisukohalt sõna otseses mõttes isekad põhjused. Kolmas mure aga – kliimamuutus – on veidi altruistlikum põhjus: kliimamuutusega kaasnevaid tagajärgi peavad suuremas osas kannatama järgnevate sadade aastate tulevikupõlvkonnad ning mitte meie ise. Öeldakse näiteks: „Mis vahet sel on, kas mina midagi teen? Hiina on täiesti kontrolli alt väljas!“ Seetõttu arutlen ma järgnevalt veidi rohkem kliimamuutuse teemal, sest selle raamatu kirjutamise ajal leidsin ma mõningaid huvitavaid fakte, mis neile eetilistele küsimustele veidi rohkem valgust heidavad. Kui kliimamuutus sind üldse ei huvita, võid vabalt otse järgmise alapeatüki juurde edasi asuda.

Kliimamuutus kui motivaator

Kliimamuutuse kui motivaatori kirjeldamisel kasutatakse kolme tegurit: esiteks: inimeste poolne fossiilkütuste põletamine põhjustab atmosfääri süsinikdioksiidi sisalduse tõusu; teiseks: süsinikdioksiid on kasvuhoonegaas; kolmandaks: kasvuhooneefekti suurenemine tõstab keskmist globaalset temperatuuri (ning põhjustab ka muid asju).

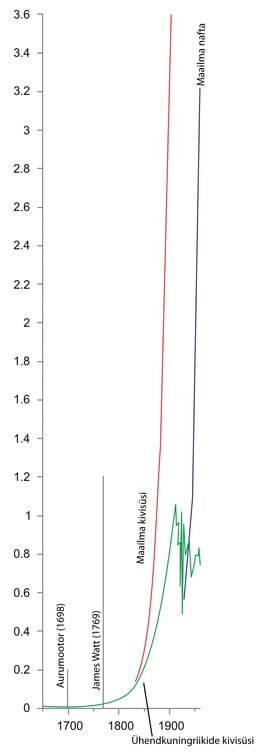
Joonis 1.4: Süsinikdioksiidi () konsentratsioonid (miljondikosa) viimase 1100 aasta jooksul, mõõdetuna nii puuritud jääs (aastani 1977) kui ka otseselt (Hawaiil, alates 1958). Mulle tundub, et aastate 1800 ning 2000 vahel justkui toimus midagi. Tõstsin esile aasta 1769, mil James Watt patenteeris oma aurumootori. (Esimene praktikas kasutatav aurumootor leiutati küll 70 aastat varem, aastal 1698, kuid Watt'i mootor oli palju efektiivsem.)  

Alustame faktist, mis ütleb, et süsinikdioksiidi konsentratsioon atmosfääris on tõusutrendis. Joonisel 1.4 on toodud õhu konsentratsioonid alatest aastast 1000 kuni praeguseni. Mõned „skeptikud“ väidavad, et konsentratsiooni kasv on loomulik nähtus. Kas „skeptik“ tähendab inimest, kes pole üldse neid andmeid vaadanudki? Kas teile ei tundu, et äkki juhtus aastate 1800 ning 2000 vahel midagi? Miskit, mida eelneva tuhande aasta jooksul loomulike nähtuste seas ei esinenud?

Joonis 1.5: Ühendkuningriikide ja maailma kivisöetoodangu ajalugu aastatel 1600-1910. Tootmismahud on näidatud ühikutes miljard tonni süsinikdioksiidi – tõepoolest hoomamatu ühik, kuid ärge muretsege, isikustame selle kohe.

Midagi tõepoolest juhtus – seda nimetatakse tööstuslikuks revolutsiooniks. Märkisin graafikule aasta 1769, mil James Watt patenteeris oma aurumootori. Kuigi esimene praktikas kasutatav aurumootor leiutati juba 1698. aastal, oli see just Watt'i palju efektiivsem aurumootor, mis tööstusrevolutsioonile suure tõuke andis. Üheks selle aurumootori peamiseks rakenduseks oli vee välja pumpamine kivisöekaevandustest. Joonisel 1.5 on näidatud, mis juhtus Briti kivisöetoodanguga pärast 1769. aastat. Sellel joonisel on ühikuna kasutatud kivisöe põletamisel vabaneva süsinikdioksiidi kogus miljardites tonnides. 1800. aastal kasutati kivisütt raua tootmisel, laevaehituses, hoonete kütmisel, rongide ja muude masinate tööshoidmisel ning muidugi ka nende pumpade käitamiseks, mis võimaldasid veel rohkema hulga kivisöe kaevandamist Inglismaa ja Walesi mägedest. Suurbritannia oli kivisöe osas rikas: tööstusrevolutsiooni algushetkel oli Suurbritannia all peidus sama palju kivisütt kui praegu on Saudi Araabia all peidus naftat.

Suurbritannia aastane kivisöetoodang kahekordistus vaid kolmekümne aasta jooksul, aastatel 1769-1800. Ning järgmise kolmekümne aasta jooksul (1830) oli see uuesti kahekordistunud. Järgmine tootmismahtude kahekordistumine toimus aga juba aastaga (1850) ning veel järgmine samuti vaid aasta jooksul (1870). Selle kivisöe abil muutis Suurbritannia kogu maakera roosaks. Inglismaale ning Walesi saabuvat rikkust näitas hästi ka elanikkonna ennenägematu kasv:

Rahvastiku kasv Inglismaal, Walesis ja maailmas.

Revolutsiooni üleilmastumise tõttu hakkasid ka teised riigid sarnaselt käituma. Joonisel 1.6 on näidatud Suurbritannia ning maailma kivisöetoodang samas skaalas, mis joonisel 1.5, kuid aastat hiljem. Suurbritannia kivisöetoodangu tipphetk saabus 1910. aastal, kuid maailma kivisöetoodang jätkas kahekordistumist iga järgmise aasta möödumisel. Kivisöetoodangu tootmise ajalugu on raske esitada vaid ühel graafikul. Et näidata samas skaalas, mis juhtus järgmise aasta jooksul, peaks see raamat olema ühe meetri kõrgune! Et see probleem kuidagi lahendada, võime muuta näiteks vertikaaltelgede skaalat:

Kivisöe tootmise kasv aastatel 1600-2000.

või siis võime vertikaaltelje ebaühtlasel moel kokku suruda nii, et samal graafikul on üheaegselt näha nii suured kui ka väiksemad väärtused. Sellise telje kokkusurumise heaks meetodiks on logaritmiline skaala, ning seda ma joonise 1.7 kahel alumisel graafikul kasutasingi. Logaritmilisel skaalal esitatakse kõiki kümnekordseid tõuse (ühest kümneni, kümnest sajani, sajast tuhandeni, jne) ühtlaste vahemaadena. Logaritmilises skaalas esitatakse suurus, mis kasvab aastas konstantse protsendi võrra (seda nimetatakse eksponentsiaalseks kasvuks), sirgjoonena. Logaritmilised skaalad on kasvutrendi uurimiseks suurepärased. Kui eelnevad joonised näitavad meile, et Suurbritannia ning maailma kivisöetoodang kasvas märgatavalt ning et nii meie kui ka maailma rahvastik kasvas märgatavalt, ei ole nende suuruste kasvu kiirus neil tavapärastel joonistel selge. Tänu logaritmilistele graafikutele saame neid kasvukiiruseid aga kergesti võrrelda. Kui uurime näiteks rahvastiku kasvu kujutava joone tõusu, siis näeme, et maailma rahvastik kasvas viimase aasta jooksul veidi kiiremini kui Inglismaa ja Walesi rahvastik 1800. aastal.

Joonis 1.6: Mis juhtus edasi. Suurbritannia ning maailma kivisöetoodangu ajalugu aastatel 1650 kuni 1960 samas skaalas nagu Joonis 1.5.

1769. ja 2006. aasta vahel kasvas maailma aastane kivisöetoodang korda. Kivisöe toodang kasvab ka praegu. Lisaks kaevandatakse ka teisi fossiilkütuseid – Joonisel 1.7 toodud keskmine joon kujutab näiteks naftatoodangut. Kuid kui rääkida vaid emissioonidest, on peamiseks teguriks jätkuvalt kivisüsi.

Fossiilkütuste põletamine on konsentratsiooni tõusu seisukohalt peamine põhjus. See on fakt, kuid oodake: kuulen kliimaaktivistidelt pidevalt mingeid kommentaare. Mida nad seletavad? Siin on Dominic Lawson, ajalehe Independent kolumnist:

„Fossiilkütuste põletamine lisab atmosfääri umbes seitse gigatonni süsinikdioksiidi aastas“ – see kõlab tõesti suure arvuna. „Kuid biosfäär ning ookeanid lisavad atmosfääri igal aastal vastavalt umbes 1900 ning 36000 gigatonni süsinikdioksiidi - ...see on üks põhjus, miks mõned meist kasvuhooneefekti inimtekkelise mõju rõhutamise suhtes skeptilised on. Inimtekkeliste -emissioonide vähendamine on megalomaania – inimeste olulisusega liialdamine. Poliitikud ei saa ilma muuta.“

Mul on skeptilisuse jaoks piisavalt aega ning tõepoolest pole kõik skeptikute arvamused täielik jama – kuid vastutustundetu ajakirjandus, mida Dominic Lawson esitab, vajab korralikku keretäit.

Esiteks tuleb ära märkida, et kõik kolm Lawsoni poolt esitatud numbrit (, 1900 ja 36000) on valed! Õiged numbrid oleks , 440 ja 330. Kuid jätame need numbrid praegu kõrvale ning keskendume Lawsoni peamisele punktile: inimtekkeliste emissioonide suhteline väiksus.

Jah – looduslikud -vood on tõepoolest suuremad kui meie poolt põhjustatud lisavoog, mille me 200 aasta eest fossiilkütuste kasutamise tõttu süsteemi lisasime. Kuid on väga ekslik esitada atmosfääri lisanduvaid suuri looduslikke koguseid ilma mainimata, et peaaegu samal hulgal liigub atmosfäärist süsinikdioksiidi ka biosfääri ning ookeanitesse tagasi. Asja tuum seisneb faktis, et need looduslikud vood atmosfäärist välja ning atmosfääri sisse on tuhandete aastate jooksul alati peaaegu tasakaalus olnud. Seega pole üldse oluline, et need looduslikud vood on inimtekkelistest emissioonidest palju suuremad. Looduslikud vood tasakaalustavad üksteist. Seega hoidsid need looduslikud vood, nii suured kui nad ka ei olnud, atmosfääri ja ookeani konsentratsiooni paari viimase tuhande aasta jooksul ühtlasena. Fossiilkütuste põletamine aga tekitab süsiniku lisavoo, mis on küll väike, kuid mida ei hoita tasakaalus. Toon näiteks lihtsa analoogi lennujaama saabuvate lendude passikontrolli abil. Igas tunnis saabub passikontrolli tuhat reisijat ning kontrollalas töötab täpselt nii palju tolliametnikke, et suudetakse kontrollida tuhat passi tunnis. Järjekord on keskmise suurusega, kuid kuna saabuvate reisijate arv on teeninduskiirusega tasakaalus, ei kasva järjekord pikemaks. Kujutagem nüüd ette, et udu tõttu suunatakse mingi hulk lende väiksemast lennujaamast siia ümber. See lisavoog tähendab saabuvate reisijate terminali jaoks viitekümmet lisareisijat tunnis – see tundub meie esialgse reisijaga võrreldes väikse arvuna. Esialgu ametnike hulka ei suurendata ning kontrollitakse jätkuvalt tuhat passi tunnis. Mis juhtub? Aeglaselt järjekord pikeneb. Fossiilkütuste põletamine suurendab vaieldamatult atmosfääri ning ookeani konsentratsiooni. Ükski kliimateadlane ei vaidle sellele faktile vastu. Kui asi puudutab süsinikdioksiidi konsentratsiooni, on inimene oluliseks teguriks.

Joonis 1.7: Ülaltoodud graafikul on näidatud süsinikdioksiidi () konsentratsioon (osakest miljoni kohta) viimase 1100 aasta jooksul – samad andmed, mille esitasime Joonisel 1.4.  
Siin on James Watt'i portree ning tema 1769. aasta aurumootor.

Keskmisel joonisel on (logaritmilises skaalas) toodud Ühendkuningriikide kivisöetoodangu ajalugu, Saudi naftatoodang, maailma kivisöetoodang, maailma naftatoodang ning (üleval paremas nurgas) kõigi kasvuhoonegaaside kogus aastal 2000. Kõik tootmismahud on väljendatud neile vastavate emissioonide ühikuna.

Alumisel graafikul on (logaritmilises skaalas) näidatud mõned tööstusrevolutsiooni tagajärjed: Inglismaa ning hiljem kogu maailma rahvaarvu järsk suurenemine; Suurbritannia malmitoodangu hämmastav kasv (tuhandetes tonnides aasta kohta) ning Briti laevade tonnaaži kasv (tuhandetes tonnides).

Eelmistel lehekülgedel toodud tavaliste joonistega võrreldes võimaldab logaritmiline skaala meil esitada nii Inglismaa kui kogu maailma rahvaarvu ühel graafikul ning uurida mõlema joone omapärasi lähemalt.

Hea küll. Fossiilkütuste põletamine suurendab tunduvalt konsentratsiooni atmosfääris. Kuid mis tähtsust sel on? „Süsinik on loodus!“ meenutavad naftamagnaadid meile, „Süsinik on elu!“ Kui süsinikdioksiidil poleks negatiivset mõju, ei tähendaks süsinikuemissioonid tõepoolest midagi. Kahjuks on süsinikdioksiidi näol tegu aga kasvuhoonegaasiga - mitte küll kõige hullemaga neist, kuid siiski olulisega. Selle lisandumisel atmosfääri käitub see samamoodi kui iga teine kasvuhoonegaas: see neelab Maalt kiirguvat infrapunakiirgust (soojust) ning juhib selle suvalises suunas tagasi. See atmosfäärilise soojusliikluse suvalise tagasisuunamise mõju takistab planeedi jahtumist – just nagu tekk. Seega on süsinikdioksiidil soojendav mõju. See fakt ei põhine mitte globaalsete temperatuuride ajaloolistel andmetel vaid molekuli lihtsatel füüsikalistel omadustel. Kasvuhoonegaasid käituvad tekina ning on selle teki üks kiht.

Seega – kui inimkonnal õnnestub konsentratsiooni kahe- või kolmekordistada (ning paistab, et niimoodi jätkates me selleni ka tõepoolest jõuame), mis siis saab? Selle koha peal on suur hulk ebakindlust. Kliimateadus on kompleksne. Kliima on üks keeruline, muutlik elukas, ning raske on täpselt ennustada kui suure soojenemise kahekordistumine endaga kaasa tooks. Parimate kliimamudelite konsensuse kohaselt võib ennustada, et kahekordistumisel oleks ligikaudu sama mõju mis Päikese intensiivsuse suurenemisel võrra. See aga tõstaks keskmist globaalset temperatuuri umbes 3C võrra. Seda nimetaks iga ajaloolane „halvaks asjaks.“ Ma ei hakka kõiki tõenäolisi drastilisi mõjusid siinkohal üles loetlema – olen kindel, et oled neid juba kuulnud. See nimekiri algab väitega „Gröönimaa jääkiht sulaks aeglaselt ning paarisaja aasta jooksul tõuseks merevee tase umbes meetri võrra.“ Suur osa neist tagajärgedest mõjutaks vaid tulevasi põlvkondi. Selliseid temperatuure pole Maal nähtud viimase aasta jooksul ning on mõeldav, et nende mõju meie ökosüsteemidele on nii suur, et mitmed taimed lõpetaksid Maal kasvamise ning mitmeid teenuseid poleks enam võimalik kasutada.

Kliima modelleerimine on keeruline ning täis erinevaid võimalikke lahendusi. Kuid ebakindlus selle kohta, kuidas kliima täpselt lisa-kasvuhoonegaaside mõjule reageerib, ei tähenda, et me ei peaks selle osas midagi ette võtma. Kui sa sõidaksid halva nähtavusega kiirel mootorrattal kaljuäärel ilma hea maakaardita, ei õigustaks kaardi olemasolu puudumine ju sama hullumeelse kiirusega jätkamist!

Kes siis peaks pidurile vajutama? Kes peaks meie süsinikdioksiidi emissioonid ära koristama? Kes vastutab kliimamuutuse eest? See on muidugi vaid eetiline küsimus ning mitte teaduslik, kuid iga eetiline diskussioon peab põhinema faktidel. Vaatleme nüüd lähemalt kasvuhoonegaaside emissioonidega seotud fakte. Kuid esmalt selgitan veidi nende mõõtmiseks kasutatavaid ühikuid. Kasvuhoonegaaside all peetakse silmas süsinikdioksiidi, metaani ning dilämmastikoksiidi; kõigi nende gaaside omadused on erinevad, kuid kõigi nende emissioone väljendatakse ühikutes „süsinikdioksiidi-ekvivalentkogus,“ milles „ekvivalent“ tähendab, et selle soojendav mõju 100-aastase perioodi jooksul on sama. Üks tonn süsinikdioksiidi ekvivalenti lühendatakse kujule „1tCO2e,“ ning üks miljard tonni (tuhat miljonit tonni) kujule „1GtCO2e“ (üks gigatonn). Selles raamatus tähendab tonn kilogrammi SI-ühikutes. Ma ei hakka paralleelselt inglise mõõtesüsteemi tonni kasutama, sest see erineb SI tonnist vähem kui võrra.

Aastal 2000 oli kogu maailma kasvuhoonegaaside emissioonide hulk ligikaudu 34 miljardit tonni ekvivalenti aastas. See on ettekujuteldamatu number. Kuid saame selle muuta veidi mõistlikumaks ning isiklikumaks kui jagame selle maailma elanike arvu ehk miljardiga. Saame tulemuseks kasvuhoonegaaside emissioonide hulga inimese kohta ehk umbes tonni e aastas. Seega saame maailma emissioonide hulka esitada sellise ristküliku abil, mille laius on rahvaarv ( miljardit) ning mille kõrgus on emissioonide hulk elaniku kohta.

Emissioon ristkülikuna, mille laius on rahvaarv (6 miljardit) ning mille kõrgus on emissioonide hulk elaniku kohta.

Tõsi – mitte kõik elanikud pole võrdsed – mitte igaüks ei tekita tonni e aastas. Esitame 2000. aasta emissioonid lahtiseletatutena, et näidata, kuidas see 34 miljardi tonnine ristkülik jaotub maailma eri osade vahel:

Emissioonid jaotatuna maailma eri osade vahel.

See joonis, mis on eelmisega samas skaalas, jaotab maailma kaheksaks piirkonnaks. Iga ristküliku pindala kujutab selles piirkonnas atmosfääri paisatud kasvuhoonegaaside hulka. Ristküliku laius vastab selle piirkonna rahvaarvule ning selle kõrgus piirkonna ühe elaniku keskmisele reostustasemele.

2000. aastal oli keskmise Euroopa elaniku kasvuhoonegaaside emissioonide hulk maailma keskmisest kas korda suurem ning Põhja-Ameerika vastav näitaja maailma keskmisest neli korda suurem.

Võime neid lahtreid veelgi väiksemaks jagada, näidates piirkondade asemel riike. Siinkohal muutub asi eriti huvitvaks:

Emissioonid jaotatuna riikide vahel.

Suurima ühe elaniku kohta käiva emissioonide hulgaga riigid on Austraalia, USA ja Kanada. Neile järgnevad Euroopa riigid, Jaapan ning Lõuna-Aafrika. Euroopa riikide seas on Ühendkuningriigid täiesti keskmised. Kuid milline on siis olukord Hiinaga – selle paha, „kontrolli alt väljas“ riigiga? Jah, Hiina ristküliku pindala on ligikaudu sama, mis Ameerika Ühendriikidel, kuid tõsiasi on, et emissioonide hulk elaniku kohta on allpool maailma keskmist. India emissioonide hulk elaniku kohta on vähem kui pool maailma keskmisest. Lisaks tasub silmas pidada, et suur osa Hiina ja India tööstuslikest emissioonidest pärineb rikastele riikidele mõeldud asjade tootmisest.

Seega, kui otsustame, et kasvuhoonegaaside emissioonide osas tuleb „midagi ette võtta,“ siis kellele langeb see vastutus? Nagu juba ütlesin, siis on see küsimus eetiline. Kuid raske on kujutada ette eetilist süsteemi, kus eitatakse, et vastutus peaks langema eelkõige selle graafiku vasakule poolele jäävatele riikidele: neile, kelle emissioonid on maailma keskmisest kaks, kolm või isegi neli korda suuremad. Need on riigid, kes saavad seda endale lubada. Riigid nagu näiteks Suurbritannia ja USA.

Kliimamõju ajalooline vastutus

Kui me eeldame, et inimtegevus on kliimale negatiivset mõju avaldanud, ning et keegi peab selle probleemi lahendama, siis kes selle eest maksab? Tihti öeldakse, et „saastaja peaks maksma.“ Eelmistelt joonistelt võisime välja lugeda, kes need saastajad siis hetkel on. Kuid tegelikkuses ei loe mitte emissioonide tekitamise praegune kiirus vaid pika ajaperioodi kumulatiivne kogusaaste. Suur osa atmosfääri paisatud süsinikdioksiidist (ümbes üks kolmandik) jääb sinna vähemalt järgmiseks 50ks või 100ks aastaks pidama. Kui me nõustume eetilise mõttega, mille kohaselt saastaja peaks vastutama, siis peaksime küsima, milline on iga riigi ajalooline emissioonide jalajälg. Järgmisel joonisel on toodud iga riigi koguemissioonid väljendatuna keskmise saastamiskiirusena perioodil 1880-2004.

Emissioonid jaotatuna riikide vahel, inimese kohta.

Palju õnne, Suurbritannia! Ühendkuningriigid on poodiumikohal! Me võime küll praegu pidada end keskmiseks Euroopa riigiks, kuid ühe elaniku kohta käivat ajaloolist saastekiirust kujutaval graafikul oleme me USA järel teised.

Joonis 1.8: Globaalsete emissioonide kaks võimalikku stsenaariumi vastavalt Baeri ja Mastrandrea tulemustele. Ühikuteks tonni elaniku kohta aastas; rahvaarvuks miljardit. Mõlema stsenaariumi puhul usutakse, et meil on veel väike võimalus hoida ära temperatuuri tõusu rohkem kui 2C võrra.

Hea küll, jätame eetika kõrvale. Mida tuleks teha teadlaste arvates, et vältida olukorda, kus Maa temperatuur tõuseb 2C võrra (-kraadine tõus tähendab teadlaste ennustuste kohaselt suurel hulgal ebameeldivaid tagajärgi)? Konsensus on selge. Meil tuleb lõpetada fossiilkütuste sõltuvus ning seda tuleb teha kiiresti. Mõned riigid, seehulgas Suurbritannia, on lubanud oma kasvuhoonegaaside hulka 2050ndaks aastaks 60% võrra vähendada, kuid siinkohal tuleb rõhutada, et isegi nii radikaalne, kui seda on -protsendiline vähendamine, sellest siiski ei piisa. Kui kogu maailma emissioonide hulk väheneks 60% võrra ühtlase kiirusega aastaks 2050, tõuseks planeedi keskmine temperatuur teadlaste sõnul suure tõenäosusega ikkagi rohkem kui 2C võrra. Joonisel 1.8 on näidatud, mida peaksime tegelikult tegema. Sellel graafikul on toodud Public Policy Research instituudi raportis avaldatud kaks võimalikku emissioonide vähendamise ohutut stsenaariumit – nende autoriteks on Baer ja Mastrandrea (2006). Alumine joon eeldab, et emissioonide vähendamine algab aastal 2007 ning et emissioonide vähenemise kiirus on umbes aastas. Ülemine joon eeldab veidi hilisemat algust ning emissioonide vähenemise kiirust aastas. Arvatakse, et mõlema stsenaariumi abil on võimalik globaalseid temperatuure hoida allpool seda kriitilist 2C tõusu (võrreldes tööstusrevolutsiooni-eelsete temperatuuridega). Alumise stsenaariumi puhul peetakse edu tõenäosuseks 926% ning ülemise puhul 1643%. Need võimalikud ohutud emissioonide vähendamise trajektoorid hõlmavad endas muide palju järsemaid emissioonide hulga muutuseid kui ükskõik millised Kliimamuutuse Paneeli (Panel on Climate Change, IPCC) või Sterni ülevaate (2007) stsenaariumid.

Need võib-olla ohutud trajektoorid tähendavad, et globaalne emissioonide hulk peaks aastaks 2050 langema 70% või 85% võrra. Mida tähendaks see sellisele riigile nagu Suurbritannia? Kui me usume „vähendamise ja koondumise“ ideed, mille kohaselt kõikide riikide emissioonide hulk elaniku kohta on tulevikus võrdne, tuleks Suurbritannial oma emissioone 85% võrra vähendada: meil tuleks oma praegusest saastehulgast, milleks on tonni e elaniku kohta aastas, jõuda 2050ndaks aastaks saastetasemeni tonn aastas elaniku kohta. See on nii järsk muutus, et minu arvates on kergeimaks viisiks lihtsalt mõelda: lõpp fossiilkütustele.

Joonis 1.9: Maailma kasvuhoonegaaside emissioonid (2000) põhjuste ja gaaside kaupa. „Energia“ sisaldab endas elektrijaamasid, tööstuslikke protsesse, transporti, fossiilkütuste põletamist ning hoonete energiakasutust. „Maakasutus, biomassi põletamine“ tähendab muutusi maakasutuses, metsade hävitamist ning mittetaastuva biomassi, näiteks turba, põletamist. „Prügi“ all peetakse silmas prügi põletamist ning töötlemist. Kastikeste suurused kujutavad iga allika potentsiaalset soojendavat mõju 100-aastase perioodi jooksul. Allikas: Emission Database for Global Atmospheric Research.

Kliimamuutuste motivatsioonide kohta tuleks veel mainida, et kuigi erinevad inimtegevused põhjustavad kasvuhoonegaaside emissioone, on kaugelt suurimaks reostajaks energiasektor. Mõned inimesed õigustavad oma tegevusetust, öeldes, et „Röhitsevate lehmade poolt toodetav metaan põhjustab rohkem soojenemist kui lendamine.“ Jah, põllumajanduslikud kõrvalsaadused põhjustasid aastal 2000 kaheksandiku kasvuhoonegaaside emissioonidest. Kuid energiasektor panustas sellesse lausa kolmandiku (Joonis 1.9). Kliimamuutuse probleem on peamiselt energiaprobleem.

Hoiatused lugejale

Hea küll, aitab kliimamuutusest. Ma eeldan, et meil on motivatsioon lõpetada fossiilkütuste kasutamine. Ükskõik, milline on sinu motivatsioon, on selle raamatu eesmärgiks aidata sul leida need numbrid ning arvutused, tänu millele saaksid sa erinevaid poliitilisi otsuseid paremini hinnata ning mõista, millised lahendused ka tegelikkuses töötaksid. Ma ei väida, et selles raamatus toodud arvutused ja numbrid on midagi uut – näiteks Goodsteini, Lomborgi ja Lovelocki raamatud, millest ma juba rääkisin, on huvitavaid numbreid ja kiireid rehkendusi täis. Lisaks kubiseb terve internet igasugustest kasulikest allikatest (vaata peatükkide lõpus toodud märkmeid).

Joonis 1.10: Prinditud PRIVATE EYE/Peter Dredge (www.private-eye.co.uk) lahkel loal.

Minu raamatu eesmärgiks on muuta need numbrid lihtsateks ning meeldejäävateks; näidata, kuidas ka sina ise neid numbreid leida saad ning muuta meie olukord nii selgeks, et iga isemõtlev lugeja suudaks sellest järeldusi teha. Ma ei taha sulle lihtsalt omaenda järeldusi ette sööta. Veendumused on tugevamad, kui need tulevad inimeselt endalt ning mitte koolipingist. Mõistmine on loominguline protsess. Loodan, et kui oled selle raamatu läbi lugenud, oled sa enesekindlam oma oskuses ise lahendusi leida.

Siinkohal sooviksin rõhutada, et selles raamatus tehtavad arvutused on meelega ebatäpsed. Lihtsustamine aitab meil asju paremini mõista. Esiteks: tänu numbrite ümardamisele jäävad need meile paremini meelde. Teiseks: ümmargused numbrid võimaldavad meil teha kiireid arvutusi. Selles raamatus on näiteks Ühendkuningriikide rahvaarvuks võetud miljonit ning maailma rahvaarvuks miljardit. Loomulikult saaksin ma üles leida ka palju täpsemad arvud, kuid see täpsus muudaks minu mõttekäigu väga aeglaseks. Kui me näiteks leiame, et maailma kasvuhoonegaaside emissioonide hulk aastal 2000 oli 34 miljardit tonni e, siis mõistame kohe – ilma kalkulaatorita – et keskmine emissioonide hulk elaniku kohta aastas jääb kusagile ja tonni e vahele. See ligikaudne vastus pole täpne, kuid on piisav, et sel teemal huvitavaid arutelusid pidada. Kui saame näiteks teada, et üks kontinentidevaheline edasi-tagasi lennureis tekitab iga reisija kohta ligikaudu tonni süsinikdioksiidi, aitab keskmise elaniku emissioonide hulga (-koma-midagi tonni aastas) teadmine meil mõista, et vaid üks selline lennureis moodustab rohkem kui kolmandiku ühe keskmise inimese aastasest saastehulgast.

Mulle meeldib oma arvutuste aluseks võtta igapäevateadmised ning mitte kasutada ebamäärast riiklikku statistikat. Kui ma soovin näiteks hinnata Cambridge'i keskmist tuulekiirust, siis küsin: „Kas minu rattasõidukiirus on suurem kui tuulekiirus?“ Vastus on jah. Seega saan järeldada, et tuulekiirus Cambridge'is on vaid harva suurem kui minu keskmine väntamiskiirus 20km/h. Kontrollin neid igapäevaseid hinnanguid teiste inimeste arvutuste ning ametliku statistika abil. (Need on toodud peatükkide lõpus olevates märkmetes.) Selle raamatu eesmärk pole teile esitada terve hulk ülitäpseid numbreid. Tahan lihtsalt näidata kuidas kasutada ligikaudseid numbreid konstruktiivsetes aruteludes.

Neis arvutustes kasutan ma peamiselt Ühendkuningriike ning mõnikord ka Euroopat, Ameerikat või kogu maailma, kuid sul peaks olema üsna kerge neid arvutusi ükskõik millise sind huvitava riigi või piirkonna jaoks korrata.

Tahan selle peatüki lõpetada veel mõne hoiatusega. Lisaks arvutustes kasutatavate numbrite ümardamisele heidame me selles raamatus kõrvale ka igasugused detailid, mida kõik need vaesed investorid, juhid ja majandusteadlased peavad arvesse võtma. Uue taastuvenergiatehnoloogia kasutusse võtmisel võib juba -protsendiline kulude kasv tähendada edu asemel läbikukkumist, mistõttu tuleb äri kontekstis arvesse võtta kõiki pisiasju. Kuid selle raamatu radari jaoks on tühine. Selles raamatus räägime teguritest ja . Juttu tuleb taastuvenergia füüsikalistest piiridest ning mitte praegusest majanduslikust realistlikkusest. Kuigi majanduslik olukord on pidevas muutumises, ei kao fundamentaalsed piirangud kuhugi. Meil tuleb neid piiranguid mõista.

Energiapoliitika teemalised debatid on tihtipeale segadusseajavad ja emotsionaalsed, sest faktid ja eetilised väited pannakse kõik ühte patta kokku.

Faktide all pean silmas selliseid väiteid nagu „globaalne fossiilkütuste põletamine paiskab atmosfääri 34 miljardit tonni e aastas“ ning „kui konsentratsioon kahekordistub, tõuseb keskmine temperatuur järgmise aasta jooksul 1,55,8C võrra“ ja „-kraadine temperatuuritõus põhjustaks Gröönima jääkatte sulamise aastaga, mis omakorda tähendaks mereveetaseme tõusu meetri võrra.“

Faktidel põhinevad väited võivad olla kas õiged või valed – kumb on kumb, on raske otsustada; see on teaduslik küsimus. Minu poolt äsja näitena esitatud väited on samuti kas õiged või valed. Kuid me ei tea, kas need on kõik õiged. Mõnede kohta võime leida hinnangu, et need on „väga tõenäolised.“ Tõsiasi, et faktide õigsuse hindamine on väga keeruline, on viinud teadlastevaheliste vaidlusteni. Kuid piisava hulga teaduslike katsete ning arutelude abil on võimalik enamusi faktilisi väiteid siiski kontrollida – või siis vähemasti veenduda, et need on väga tõenäolised.

Eetiliste argumentide näideteks võib tuua sellised laused nagu „on vale kasutada globaalseid resursse viisil, mis põhjustavad järgnevatele põlvkondadele suuri kulutusi,“ „saastamine ei tohiks olla tasuta,“ „ konsentratsiooni kahekordistumise ärahoidmise nimel tuleks midagi ette võtta,“ „poliitikud peaksid emissioonide hulka piirama“ ja „viimase sajandi suurimate emissioonidega riikidel lasub kohustus kliimamuutuse vastase võitluse ohjad enda kätte võtta“ ning „lubatavate emissioonide hulk tuleks maailma rahvastiku vahel ühtlaselt ära jagada.“ Sellised väited ei ole lihtsalt kas õiged või valed. See, kas me nendega nõustume või mitte, sõltub meie eetilistest veendumustest ning väärtustest. Eetilised väited ei sobi alati üksteisega kokku. Näiteks kuulutas Tony Blair'i valitsus välja radikaalse emissioonide poliitika: „Ühendkuningriigid peavad oma emissioone aastaks 2050 60% võrra vähendama.“ Samas julgustas tol ajal võimul olnud valitsuse kantsler Gordon Brown naftariike oma toodangut tõstma.

Joonis 1.11: Prinditud PRIVATE EYE/Paul Lowe (www.private-eye.co.uk) lahkel loal.

See raamat põhineb faktidel ning mitte eetikal. Ma tahan, et faktid oleksid üheti mõistetavad, et inimesed saaksid eetiliste küsimuste osas mõistlikke arutelusid pidada. Tahan, et kõik mõistaksid, kuidas faktid piiravad meie võimalikke valikuid. Hea teadlasena proovin alati eetilistest küsimustest eemale hoida, kuid mõnikord lipsab ka minul mõni sõna suust – andestage mulle.

Küsimus, kas on aus, et Euroopa ja Põhja-Ameerika tarbivad enamuse energiast, on eetiline. Minu eesmärgiks on meelde tuletada fakti, et me ei saa teha mõlemat korraga ja ikkagi võitjateks jääda. Tahan võimaldada sul läbi näha mõttetuid ja ebaefektiivseid lahendusi ning aidata leida selline energialahendus, mis sinu isiklike väärtustega kooskõlas oleks.

Meil on vaja plaani, mis ka tegelikkuses töötaks!

Märkusi ja edasine lugemine

Iga peatüki lõpus kirjeldan tekstis toodud ideede kohta käivaid detaile, andmete allikaid ning tsitaate. Lisaks toon välja mõned viited lisainformatsiooni saamiseks.

„... ei ole seda võimalik teha teisiti kui läbi taastuvenergia kasutamise;” „Need, kes loodavad [energia] puudusest üle saada taastuvenergia abil elavad unistuste maailmas ja on minu arvates inimkonna vaenlased.” Tsitaadid pärinevad BBC Raadio 4 saatest Any Questions?“, 27. jaanuar 2006. Michael Meacher oli Ühendkuningriikide keskkonnaminister aastatel 1997 – 2003. Söör Bernard Ingham oli peaminister Margaret Thatcheri nõustaja ning Valitsuse Informatsiooniteenuste juht. Ta on Tuumaenergia Toetajate ühenduse sekretär.

Jonathon Porritt (Märts 2006). Kas tuumaenergia on õige vastus? Peatükk 3. Nõuanne ministritele. www.sd-commission.org.uk

„Tuumaenergia neelab raha,“ „Meil on suur hulk lainete ja tuuleenergiat.“ Ann Leslie, ajakirjanik. BBC Raadio 4 saates „Any Questions?“, 10. veebruar 2006.

Los Angelese elanikud sõidavad ... Maalt Marsile. The Earthworks Group, 1989.

targetneutral.com võtab „neutraliseerimise“ tasuna vaid naela iga tonni kohta. (Palju madalam hind kui ühelgi teisel „nullimisteenusel,“ mida ma näinud olen.) Sellise hinna korral saaks iga Suurbritannia elanik oma tonni „neutraliseerida“ vaid 44 naela eest aastas! Tõestus selle kohta, et BP „neutraliseerimisskeemid“ tegelikkuses ei tööta, pärineb tõsiasjast, et nende projektid pole Gold Standard'i (www.cdmgoldstandard.org) poolt heaks kiidetud (Michael Schlup, isiklik vestlus). Mitmed tegelikkuses mittetöötavad „süsiniku nullimise“ projektid tõi päevavalgele Financial Times'i ajakirjanik Fiona Harvey [2jhve6].

Inimesed, kes tahavad tuumaenergia asemel rõhutada taastuvenergiaallikate kasutamist, ütlevad näitaks, et „rannikualade tuuleenergia abil saaks toota energiat kõigi Ühendkuningriikide majapidamiste jaoks.“ 2007. aasta lõpus teatas Briti valitsus, et nad kiidavad heaks „kõikide Ühendkuningriikide majapidamiste“ jaoks tarvis mineva energia tootmiseks vajaliku hulga tuulegeneraatorite ehitamise. Friends of the Earth nimelise taastuvenergia ühenduse kampaaniajuht Nick Rau ütles, et neil on selle teate üle väga hea meel. „Selle tööstussektori potentsiaalne energiatoodang on hiiglaslik,“ ütles ta. [25e59w].Greenpeace'i direktori John Sauven'i sõnul oli tegu tuuleenergia revolutsiooniga (Guardian [5o7mxk]). „Leiboristidel tuleb lõpetada see tuumaenergiale keskendumine – selle abil langeks emissioonide hulk vaid võrra ning sedagi vaid kunagi kauges tulevikus.“ Nick Rau ütles: „Meil on hea meel, et valitsus näeb rannikualade tuuleenergias potentsiaali – selle abil saaks 2020ndaks aastaks toota kogu Ühendkuningriikide energiast.“ Paar nädalat hiljem teatas valitsus, et kiidetakse heaks uute tuumaelektrijaamade ehitamine. „See otsus uute tuumaelektrijaamade ehitamist lubada ei aita meil kliimamuutuse vastu võidelda,“ hoiatas Friends of Earth [5c4olc].

Tegelikkuses toodaksid need kaks tehnoloogiat – rannikualade tuulepargid ning tuumaenergia – mõlemad täpselt samal hulgal elektrit aastas. Kogu lubatud rannikualade tuuleparkide võimsus toodaks keskmiselt ehk inimese kohta päevas. Kõigi pensionile minevate tuumaelektrijaamade asendamine toodaks ehk samuti inimese kohta päevas. Kuid silmagi pilgutamata väidavad tuumaenergia vastased, et tuumaenergia „meid ei aita“ ning et „tuuleenergia varustaks kõik Ühendkuningriikide kodud energiaga.“ Fakt on see, et „kõigi Ühendkuningriikide kodude elektriga varustamine“ ning „emissioonide vähendamine vaid võrra“ on üks ja sama asi.

„vee jõul töötav auto“ New Scientist, 29. juuli 2006, lk 35. See artikkel, pealkirjaga „Vee jõul liikuv auto aastaks 2009,“ algas nõnda:

„Unustage alkoholil või taimeõlil töötavad autod. Juba lähitulevikus võib teie auto sõita lihtsalt vee abil. See oleks tõeline nullemissioon-sõiduk.“

„Kuigi vesi ei paista esmapilgul just kõige mõistlikuma energiaallikana, on sel üks suur eelis: selles leidub lõpmatus koguses vesinikku – elementi, mida peetakse roheliseks tulevikukütuseks.“

Teadustöö, mida New Scientist kirjeldas, ei olnud iseenesest rumal – selles uurimuses kirjeldati booronkütusel töötavat autot, mille keemilise reaktsiooni esimeseks sammuks oli booroni ja vee vaheline reaktsioon. Miks pidas New Scientist vajalikuks muuta see lugu millekski, milles kütuseks nimetati vett? Vesi pole kütus. Pole kunagi olnud ning ei saa seda ka kunagi olema. See on juba põletatud! Termodünaamika esimese seaduse kohaselt ei saa mittemillestki tekitada midagi (energiat) – energiat saab vaid ühest tüübist teiseks muundada. Igas mootoris tarbitav energia on pärit kusagilt mujalt. Fox News sai hakkama veelgi absurdsema looga [2fztd3].

„Kliimamuutus on maailmale palju suurem oht kui terrorism.“ Söör David King, Ühendkuningriikide valitsuse teadusalane nõustaja. Jaanuar 2004. [26e8z]

„reisimise populariseerimine“ - viide ülistamise karistussättele Ühendkuningriikide 2006. aasta 23. aprillil jõustunud terrorismiseaduses. [ykhayj]

Joonis 1.2. Joonisel on näidatud toornafta toodang, mis hõlmab enda all veeldatud süsivesinikke, maagaasi tehaste vedelikke ja teisi vedelikke ning töötlusprotsesside tulemusi. Allikad: EIA ja BP maailma energia statistikaandmed.

Esimene praktikas töötav aurumootor leiutati aastal 1968. Tegelikkuses kirjeldas aurumootorit juba Aleksandria Hero, kuid kuna järgneva aasta jooksul seda kasutusse ei võetud, nimetan ma Savery 1698. aasta leiutist esimeseks praktikas töötavaks aurumootoriks.

Joonised 1.4 ja 1.7. Süsinikdioksiidi kontsentratsioonide graafik. Andmed on kogutud järgnevatest allikatest: Keeling ja Whorf (2005) (mõõtmised aastatel 1958–2004); Neftel et al. (1994) (1734–1983); Etheridge et al. (1998) (1000–1978); Siegenthaler et al. (2005) (950–1888); Indermuhle et al. (1999) (alates 11000 kuni 450 enne praegust). Seda graafikut ei tohiks muide segi ajada nö „hokikaika graafikuga,“ millel on näidatud globaalsete temperatuuride ajalugu. Täehelepanelikud lugejad kindlasti märkasid, et minu poolt esitatud kliimamuutuse argument ei maini ajaloolisi temperatuure.

Joonised 1.5-1.7: Kivisöetoodang. Andmed: Jevons (1866), Malanima (2006), Hollandi Keskkonnahinnangu Agentuur (2006), Majandusuuringute Riiklik Büroo (2001), Hatcher (1993), Flinn ja Stoker (1984), Church et al. (1986), Supple (1987), Ashworth ja Pegg (1986). Jevons oli „Naftatoodangu tipptootmise“ autor. 1865. aastal hindas ta Suurbritannia kergesti kättesaadavaid kivisöeresursse, uuris tarbimise eksponentsiaalse kasvu ajalugu ning ennustas eksponentsiaalse kasvu lõppu ning ka seda, et ühel hetkel Suurbritannia enam maailma tööstust ei juhi. „Me ei saa oma praegust tarbimiskiiruse kasvu pikalt hoida... peame selle progressi eest maksma hakkama umbes aasta pärast... järeldus on vältimatu: meie praegune majanduslik kasv ei ole lõputu.“ Jevonsil oli õigus. Järgneva sajandi jooksul saavutas Briti söetoodang tõepoolest oma haripunkti ning toimus kaks maailmasõda.

Dominic Lawson, ajalehe Independent kolumnist. Minu tsitaat on kohandatud Dominc Lawsoni artiklist, mis ilmus 2007. aasta 8. juunil.

See tsitaat pole päris täpne: ma kohandasin tema sõnu veidi lühemaks kuid jätsin hoolikalt tema vead parandamata. Kõik tema poolt mainitud kolm numbrit on valed. Selgitan, milles ta eksis. Esiteks kasutab ta sõna „süsinikdioksiid“ kuid esitab numbri, mis käib süsiniku kohta: fossiilkütuste põletamine paiskab atmosfääri 26 gigatonni aastas (mitte gigatonni). Üpriski tavaline komistuskivi. Teiseks väidab ta, et ookeanid lisavad atmosfääri 36000 gigatonni süsinikku aastas. See on palju suurem viga: 36000 gigatonni on ookeanis peituva süsiniku koguhulk! Aastas lisandub ookeanist atmosfääri palju vähem – süsinikutsükli standarddiagrammide põhjal umbes gigatonni süsinikku aastas (ehk 330GtCO2/aastas) [l6y5g]. (Usun, et see 90GtC/aastas oleks hinnanguline voog olukorras, kus atmosfääri sisaldus muutuks järsku nulliks.) Ka biosfäärist atmosfääri liikuv 1900 gigatonnine voog on vale. Standarddiagrammide kohaselt on õige number umbes gigatonni aastas (440GtCO2/aastas).

Süsinikdioksiidi molekul.

Süsinikuaatomi ja molekuli kaalude suhe on 12/44, sest süsiniku aatom kaalub ühikut ning kaks hapniku aatomit kaaluvad mõlemad . 12+16+16=44.

Seetõttu on kontsentratsiooni mõõdetud kasv täiesti ootuspärane kui eeldame, et inimtekkelised süsiniku emissioonid jäävad atmosfääri pidama. Aastatel 1715-2004 vabanes atmosfääri 1160GtCO2 – seda tänu fossiilkütuste põletamisele ja tsemenditehastele (Markland et al., 2007). Kui kogu see oleks jäänud atmosfääri pidama, oleks kontsentratsioon tõusnud väärtuseni osakest miljoni kohta (280lt 440le). Tegelik tõus on aga ligikaudu miljondikosakest (275lt le). Seega on umbkaudu 60% meie emissioonidest praegu atmosfääri pidama jäänud.

Süsinikdioksiidil on soojendav mõju. Sellel teemal peetavad liiga emotsionaalsed debatid on üpriski väsitavad, kas pole? „Teadus on nüüd ühel meelel.“ „Ei ole!“ „On küll!“ Arvan, et siinkohal saan ma kõige kasulikum olla suunates lugejat uurima Charney et al. (1979) lühikest raportit. Selle raporti kokkuvõte on väga oluline, sest see koostati Riikliku Teaduste Akadeemia (USA-s moodustatud ühendus, mis on võrdne Ühendkuningriikide Kungingliku Seltsiga) tellimusel ning selle autorid valiti nende ekspertiisi põhjal, pidades silmas ka „sobival hulgal tasakaalu.“ Need teadlased tulid kokku Riikliku Teadusnõukogu Kliimauurimuste Ümarlaua raames ning nende ülesandeks oli hinnata inimtegevuse poolt põhjustatud süsinikdioksiidi emissioonide tagajärjena toimuvate kliimamuutuste võimalike tulevikustsenaariumite teaduslikke aluseid. Täpsemalt paluti neil „teha kindlaks peamised arusaamad, millel see küsimus põhineb, hinnata kvantitatiivselt meie arusaama nende tegurite ja protsesside adekvaatsusest ning ebamäärasusest ning esitada poliitikute jaoks arusaadavalt, kokkuvõtvalt ning objektiivselt süsinikdioksiidi/kliima probleem nii, nagu seda praegu mõistetakse.“

Raport ise on vaid lehekülge pikk ning selle saab tasuta alla laadida [5qfkaw] – soovitan seda soojalt. Selles selgitatakse, millised teaduslikud arusaamad olid juba 1979. aastal üheselt mõistetavad ning mis oli veel segane.

Toon järgnevalt ära olulisimad punktid, mis ma sellest raportist välja valisin. Esiteks tähendaks konsentratsiooni kahekordistumine troposfääri, ookeanite ja maapinna soojenemist pindalaühiku kohta käiva võimsusega ligikaudu 4W/m2 (olukorras, kus kõik muud atmosfääri omadused on muutumatud). Seda soojuslikku mõju võib võrrelda atmosfääri, ookeanite ja maapinna poolt neelatava energia keskmise võimsusega, milleks on 238W/m2. Seega oleks konsentratsiooni kahekordistumisel samasugune soojendav mõju kui Päikese intensiivsuse suurenemisel 4/238=1,7% võrra. Teiseks on sellel poolt põhjustatud soojenemisel raskesti ennustatavad tagajärjed, sest atmosfääri-ookeani süsteem on uskumatult keeruline. Autorid ennustasid, et globaalne pinnatemperatuur tõuseb 2C kuni 3,5C võrra, kusjuures see tõus oleks suurim just suurematel laiuskraadidel. Kokkuvõtvalt kirjutasid autorid: „me proovisime, kuid ei suutnud teha kindlaks mitte ühtegi varem märkamata jäänud või alahinnatud füüsikalist mõju, mille abil praegu ennustatavat atmosfääri konsentratsiooni kahekordistumise poolt põhjustatavat globaalset soojenemist märkimisväärses koguses vähendada või ümber pöörata saaks.“ Nad hoiatasid, et tänu ookeanile, mis on „globaalse kliimasüsteemi käimapanev jõud,“ on täiesti võimalik, et see soojenemine saab toimuma nii aeglaselt, et selle mõju on järgmiste kümnendite jooksul keeruline tähele panna. Siiski „saab see soojenemine lõpuks toimuma ning sellega kaasnevad regionaalsed kliimamuutused...võivad olla märkimisväärsed.“

Kliimauurimuste Ümarlaua esimees, Verner E. Suomi, võttis järeldused kokku üpriski kuulsaks saanud lause abil: „Kui süsinikdioksiidi sisaldus tõusuteel jätkab, ei ole selle uurimusgrupi teadlastel mingit põhjust kahelda, et tulemuseks on kliima muutumine, ning me ei kahtle ka selles, et need muutused saavad olema märkimisväärsed.“

Ma ei hakka kõiki kliimamuutuse tõenäolisi drastilisi mõjusid siinkohal loetlema – olen kindel, et oled neid juba kuulnud. Kui mitte, vt [2z2xg7].

Maailma kasvuhoonegaaside emissioonide jaotumine piirkonniti ja riigiti. Allikas: Climate Analysis Indicators Tool (CAIT), Versioon 4.0. (Washington, DC: World Resources Institute, 2007). Esimesed kolm graafikut näitavad kõigi peamiste kasvuhoonegaaside (, , , PFC, HFC, SF6) riiklikku koguhulka, millest on välja arvatud maakasutusega seotud muutuste ning metsandusega seonduvad emissioonid. Joonisel on näidatud vaid emissioonide koguhulk.

Palju õnne, Suurbritannia! Ühendkuningriigid on poodiumikohal! Me võime küll praegu pidada end keskmiseks Euroopa riigiks, kuid elaniku kohta käivat ajaloolist saastekiirust kujutaval graafikul oleme me USA järel teised. Vabandan siinkohal Luksemburgi ees, kelle koguemissioonid elaniku kohta on ajalooliselt suuremad nii USA kui Ühendkuningriikide tulemustest – mulle tundus, et võitjate poodiumil peaks olema vaid riigid, millel on nii suur hulk elanikke kui ka emissioone. Numbrites on ajalooliselt suurimateks saastajateks USA (322GtCO2), Vene Föderatsioon (90 90GtCO2), Hiina (89GtCO2), Saksamaa (78GtCO2), Ühendkuningriigid (62GtCO2), Jaapan (43GtCO2), Prantsusmaa (30GtCO2), India (25GtCO2) ja Kanada (24GtCO2). Elaniku kohta käivate emissioonide põhjal on õige järjestus aga: Luksemburg, USA, Ühendkuningriigid, Tšehhi, Belgia, Saksamaa, Eesti, Katar ja Kanada.

Mõned riigid, seehulgas Suurbritannia, on lubanud oma kasvuhoonegaaside hulka 2050ndaks aastaks 60% võrra vähendada. Tõepoolest, selle raamatu kirjutamise ajal teatas Briti valitsus lisaks, et soovib 1990ndate saastetasemega võrreldes oma emissioone lausa 80% võrra vähendada.

Joonis 1.8. Alumise stsenaariumi korral on tõenäosus, et temperatuur tõuseb üle 2C, 926%; alates aastast 2007. on koguemissioonide hulk 309GtC; konsentratsiooni tippväärtus on 410 osakest miljoni kohta ning e konsentratsiooni tippväärtus 421 osakest miljoni kohta. Aastaks 2100 langeb konsentratsioon tagasi väärtuseni 355 osakest miljoni kohta. Ülemise stsenaariumi korral on tõenäosus, et temperatuur tõuseb üle 2C, hinnanguliselt 1643%; alates aastast 2007. on koguemissioonide hulk 415 GtC; konsentratsiooni tippväärtus on 425 miljondikosa ning e konsentratsiooni tippväärtus 435 miljondikosa. Aastaks 2100 langeb konsentratsioon tagasi väärtuseni 380 miljondikosa. Vt ka hdr.undp.org/en/reports/global/hdr2007-2008/.

Lisaks kubiseb terve internet igasugustest kasulikest allikatest. Soovitan näiteks: BP koostatud Maailma Energia Statistiline Ülevaade [yyxq2m], Jätkusuutliku Arengu Komisjon www.sd-commission.org.uk, Taani Tuuleenergiatööstuse Assotsiatsioon www.windpower.org, Tuumaenergiat Pooldavad Keskkonnaaktivistid www.ecolo.org, Wind Energy Department, Risø Ülikool www.risoe.dk/vea, DEFRA www.defra.gov.uk/environment/statistics, eelkõige raamat „Ohtliku kliimamuutuse vältimine“ [dzcqq], Pembina Instituut www.pembina.org/publications.asp ja DTI (nüüd BERR) www.dti.gov.uk/publications/.

faktid ja eetilised väited... Eetilisi väiteid tuntakse ka normatiivsete väidete ehk väärtuslike hinnangute nime all. Fakte teatakse ka kui positiivseid väiteid. Eetilised väited sisaldavad tavaliselt selliseid tegusõnu nagu „peaks“ ja „peab“ või omadussõnu nagu „aus,“ „õige“ ja „vale.“ Kasulik lugemine: Dessler ja Parson (2006).

Gordon Brown. 2005. aasta 10. septembril ütles Gordon Brown, et kütuse kõrge hind kujutab Euroopa majandusele ning globaalsele kasvule märkimisväärset riski ning soovitas OPEC'il naftatoodangut suurendada. Samas ütles ta kuus kuud hiljem, et „meil on vaja rohkem tootmist, puurimist, investeeringuid – suuremat toetust naftatööstusele“ (22. aprill 2006, [y98ys5]). Selle Brownile suunatud kriitika leevendamiseks soovin ma kiita ühte tema viimase aja algatust ehk elektrisõidukite ning laetavate hübriidsõidukite populariseerimist. Nagu hiljem näete, on selle raamatu üheks järelduseks, et transpordisektori märkimisväärne elektrifitseerimine on fossiilkütustest loobumise eemärgil väga hea plaan.

Bilanss

Loodust ei saa lollitada
Richard Feynman

Tarbimine ja tootmine

Räägime energia tarbimisest ja energia tootmisest. Tänasel päeval tuleb enamus arenenud maailmast kasutatavast energiast fossiilkütustest; see ei ole kestlik. Arutelu selle üle, kui kaua me saame fossiilkütuste abil edasi elada, on küll huvitav, aga see ei ole selle raamatu teema. Me tahaksime elada ilma fossiilkütusteta.

Me joonistame kaks tulpa. Vasakpoolses, punases tulbas, me liidame kokku kogu energia tarbimise. Parempoolses, rohelises tulbas, me liidame kokku taastuvenergia tootmise. Me ehitame neid kahte tulpa üles järk-järgult, liites ühikuid pärast seda, kui oleme need läbi arutanud.

Selles raamatus me küsime, kas „taastuvenergial põhinev elu on mõeldav?" Nii et me liidame kokku kõik põhimõtteliselt mõeldavad taastuvenergia allikad ja paneme nad parempoolsesse, rohelisse tulpa.

Vasakpoolses, punases tulbas me hindame „tüüpilise keskklassi inimese" tarbimist. Julgustan teid liitma kokku omaenda tarbimist, et saada ka omaenda vasakpoolne tulp. Hiljem me leiame ka tänase keskmise eurooplase ja aasialase energiatarbimise.  

Kui me hindame oma küttele, transpordile, tootmisele jne kuluvat energiat, siis ei ole meie ülesanne lihtsalt leida oma bilansi vasakpoolsesse tulpa minev number. Püüame ka aru saada, millest see number sõltub ja kui reaalne on seda muuta.

Parempoolses, rohelises tulbas, me liidame kokku taastuvenergia tootmise hinnangud Ühendkuningriikide kohta. Nii saame vastata küsimusele „kas on mõeldav, et Ühendkuningriigid saaksid elada vaid taastuvenergia allikatest?"

Oluline oleks küsida, kas vasakpoolsesse tulpa minevad taastuvenergia allikad on ka majanduslikult teostatavad. Aga me jätame selle kõrvale - majanduslik teostatavus segab inimestel aeg-ajalt suurt pilti nägemast. Näiteks küsivad „Kas tuuleenergia on odavam kui tuumaenergia?" ja unustavad küsida „Kui palju tuuleenergiat on üleüldse saadaval?" või „Kui palju uraani on veel järel?"

Kui oleme kõik kokku liitnud, võib tulemus välja näha umbes niisugune:

Tarbimine on väiksem kui tootmine

Kui me leiame, et tarbimine on palju väiksem, kui põhimõtteliselt võimalik taastuvenergia tootmine, siis me võime öelda „Tore, võib-olla me saame taastuvenergiaga hakkama; vaatame, millised on alternatiivsete taastuvenergiaallikate majanduslikud, sotsiaalsed ja keskkonnamõjud ja millised neist vääriks uuringuid ja arendustööd; kui me teeme head tööd, siis võib-olla meil ei olegi energiakriisi".

Aga me võime saada ka sellise tulemuse:

Kogutarbimine on suurem kui tootmine

See on palju trööstitum pilt.

See pilt ütleb: „Ei ole vahet, mida taastuvenergia majanduse jaoks tähendab: meil lihtsalt ei ole piisavalt taastuvenergiat meie tänase elustiili tagamiseks; suured muutused on tulekul."

Energia ja võimsus

Enamus energia tarbimist puudutavaid diskussioone on segased kõikvõimalike erinevate energiat ja võimsust mõõtvate ühikute kasutamise tõttu, alustades „tonni õli ekvivalendist" ja lõpetades „teravatt-tundide" () ja „eksadžaulidega" (). Ainult spetsialistid mõistavad, mida „naftabarrel" või „miljon " inimkeeli tähendab. Selles raamatus paneme me kõik numbrid ühte isikustatud ühikusse, millega igaüks saab suhestuda.

Energia ühikuks valime kilovatt-tunni ().  See ilmub ka „ühe tükina" meie elektriarvel ja maksab kodukasutajale umbes senti (p Ühendkuningriikides 2008.a). Me näeme, et enamus individuaalsetest päevastest valikutest tähendavad energia hulki, mis on väljendatavad väikese arvu kilovatt-tundide kaudu.

Joonis 2.1 Tuleb teha vahet energia ja võimsuse vahel. Kõigi joonisel kujutatud 60 W elektripirnide võimsuseks on 60 W; neil ei ole 60 W „energiat". Elektripirn kasutab sisselülitatult 60 W elektrilist võimsust; ja kiirgab 60W võimsust valguse ja soojusena (peamiselt soojusena).

Kui me räägime võimsusest (kiirus, millega me kasutame või toodame energiat), siis kasutame ühikuna kilovatt-tundi päevas (kWh/p). Vahetevahel kasutame ka vatte () ja kilovatte (), nagu selgitatakse allpool. Kilovatt-tundi päevas on hea ühele inimesele kohandatav ühik: enamik meie isiklikest energia kugistamistest neelavad seda kiirusega, mis on väljendatav väikese hulga kilovatt-tundidena päevas. Näiteks terveks päevaks põlema jäetud elektripirn kasutab ühe kilovatt-tunni energiat päevas. Mõned energiafirmad pakuvad graafikuid, kus energia tarbimine on näidatud kilovatt-tundides päevas. Ma kasutan ühtesid ja samasid ühikuid igasuguse, mitte ainult elektrienergia tarbimise võimsuse kohta. Bensiini tarbimine, gaasi tarbimine, söe tarbimine: ma mõõdan kõike seda kilovatt-tundides päeva kohta. Ja teeme ühe asja selgeks: mõne inimese jaoks käib sõna „võimsus" kokku vaid elektrienergia kasutamisega. Aga see raamat tegeleb kõigi energia vormide kasutamisega, sestap kasutame sõna „võimsus" kõigi nende kohta.

Üks kilovatt-tund päeva kohta on ka ligikaudu see võimsus, mida suudab pakkuda üks inimtööline. Kilovatt-tundide arv päeva kohta on seega ka inimeste arv, mida on vaja sellise keskmise võimsuse saavutamiseks. Tavakõnes me kasutame termineid energia ja võimsus segiläbi, aga selles raamatus me peame järgima nende rangelt teaduslikku definitsiooni. Võimsus on energia kasutamise kiirus.

ruumala me mõõdame liitrites voolukiirust me mõõdame liitrites minuti kohta
energiat me mõõdame võimsust me mõõdame päeva kohta

Võib-olla on hea energia ja võimsuse selgitamise viis võrrelda seda vee ja vee vooluga. Kui te tahate vett juua, siis on teile oluline vee ruumala - näiteks üks liiter (kui teil on suur janu). Kui te panete kraanist vee jooksma, siis te tekitate vee voolu - ühe liitri minutis, kui kraanist vesi vaevu niriseb; kümme liitrit minutis, kui vool on tugevam. Te saate ühesuguse ruumala (ühe liitri) vett kätte kätte kas lastes veel vaevu nirisevast kraanist voolata ühe minuti või kümnendiku minutiga, kui kasutate seda teist kraani. Mingi aja jooksul kätte saadud vee ruumala saame, kui korrutame voolu kiiruse ajaga:

Me ütleme, et voolukiirus näitab, kui kiiresti mingi ruumala kätte saadakse. Kui me teame mingi konkreetse ajaga kätte saadud ruumala, siis saab voolukiiruse arvutada, kui jagame selle ruumala ajaga:

See ongi seos energia ja võimsuse vahel. Energia on nagu vee ruumala; võimsus on nagu vee voolukiirus. Näiteks kui röster tööle panna, hakkab see tarbima energiat kiirusega üks kilovatt. See jätkab tarbimist, kuni see välja lülitatakse. Teisiti, röster (kui see on pidevalt sisse lülitatud) tarbib ühe kilovatt-tunni energiat tunnis; ja see tarbib kilovatt-tundi energiat päevas. Mida kauem on röster sisse lülitatud, seda rohkem energiat see tarbib. Te saate mingi tegevusega tarbitud energia arvutada, kui korrutate võimsuse ajaga:

Rahvusvaheline energiaühik on džaul, aga kahjuks on see liiga väike, et siin kasutada. Üks kilovatt-tund vastab 3,6 miljonile džaulile.

Võimsus on nii kasulik ja tähtis mõiste, et sellel on midagi, mida voolukiirusel ei ole: oma spetsiaalne mõõtühik. Kui me räägime voolukiirusest, siis me mõõdame seda „liitrites minuti kohta", „gallonites tunni" või „kuupmeetrites sekundi kohta". Nende ühikute nimed annavad selgelt mõista, et voolukiirus on "ruumala ajaühiku kohta". Kui võimsus on üks džaul sekundi kohta, siis seda nimetatakse vatiks. džauli sekundis kutsutakse kilovatiks. Teeme endale terminoloogia selgeks: röster kasutab ühte kilovatti. See ei kasuta „ühte kilovatti sekundi kohta." Sõnapaar „sekundi kohta” on kilovati definitsioonis sees: üks kilovatt tähendabki „üks kilovatt sekundi kohta". Samamoodi me ütleme, et „tuumaelektrijaam toodab ühe gigavati." Muide, üks gigavatt on üks miljard vatti või miljon kilovatti või kilovatti. Seega on üks gigavatt miljon röstrit. Ja „” ning „” sõnast „gigawatt” kirjutatakse suurtähtedega ainult siis, kui me kirjutame nad lühendiks „GW."

Palun ärge kunagi öelge „üks kilovatt sekundi kohta", „üks kilovatt tunni kohta" või „üks kilovatt päeva kohta." See, et inimesed väga tahavad rösterist rääkides öelda „millegi kohta", on üks põhjuseid, miks ma otsustasin kasutada võimsuse ühikuna „kilovatt-tundi päeva kohta." Palun vabandust, et seda on kohmakas kirjutada ja välja öelda.

Veel viimane asi, mille peame selgeks tegema: kui ma ütlen „keegi kasutab gigavatt-tunni energiat," siis ma lihtsalt ütlen, kui palju energiat ta kasutas, mitte seda, kui kiiresti ta seda energiat kasutas. Gigavatt-tunnist rääkimine ei tähenda, et see energia oleks kasutatud ühe tunni jooksul. Te võite ühe gigavatt-tunni energiat kasutada ära ühe tunni jooksul, kui lülitate korraga sisse miljon röstrit või kui lülitate sisse rösterit tunniks.

Nagu öeldud, enamasti ma kasutan võimsuse ühikuna kWh/p inimese kohta. Üks põhjus, miks mulle sellised personaalsed ühikud meeldivad, on see, et nende kasutamine teeb lihtsaks siin Suurbritannia kohta öeldut teistele riikidele või regioonidele laiendada. Oletagem näiteks, et me arutleme jäätmete põletamise üle ja saame teada, et Suurbritannias annab jäätmete põletamine energiat aastas ja et Taani jäätmete põletamine annab aastas. Kas see annab aluse öelda, et Taani põletab „rohkem" jäätmeid, kui Suurbritannia?

Ehkki jäätmetest riigis toodetav koguvõimsus võib olla huvitav number, on minu arvates ühe inimese kohta põletatavate jäätmete hulk see, mida me tavaliselt teada tahame. (Ametlikult siis: Taani, inimese kohta; Suurbritannia, inimese kohta. Seega põletatavad taanlased jäätmeid korda rohkem kui britid). Trükiruumi kokku hoidmiseks lühendan ma vahel „inimese kohta" kui „/i". Rääkides algusest peale kõigest inimese kohta, saame me paremini adapteeritava raamatu, millest on loodetavasti taastuvenergeetika käsitlemisel kasu kogu maailmas.

TeX parse error: Missing close brace (üks teravatt-tund) on võrdne miljardi -ga.

Valik täpsustusi
Energia ja entroopia

Kas energia ei ole siis jääv suurus? Me räägime energia „kasutamisest," aga kas üks loodusseaduseid ei ütle mitte, et energia ei teki ega kao? 

Jah, ma ei olnud täpne. Tegelikult on see raamat entroopiast ja see on veidi keerulisem mõiste, mida seletada. Kui me „kasutame ära" ühe kilodžauli energiat, siis tegelikult me võtame ühe kilodžauli madala entroopiaga energiat (näiteks elektrienergia) ja muundame selle teiseks, palju kõrgema entroopiaga energia vormiks (näiteks kuum õhk või vesi). Kui me oleme energia „ära kasutanud", siis tegelikult on see jätkuvalt alles; aga üldiselt me ei saa seda ikka uuesti ja uuesti kasutada, sest vaid madala entroopiaga energia on meile kasulik. Mõnikord on tähistustes erineva sordi energiad üksteisest eristatud: üks on üks kilovatt-tund elektrienergiat - kõrgeima sordi energiat. Üks on üks kilovatt-tund soojusenergiat - näiteks energia kümnes liitris keevas vees. Kõrge temperatuuriga kehades olev energia on paremat sorti (madalama entroopiaga) kui toasoojas olevate kehade energia. Kolmas energia sort on keemiline energia. Keemiline energia on samasugune kõrgemat sorti energia nagu elekter.

Entroopia asemel energiast rääkimine on mugav, ehkki üsna ebatäpne, ja me teeme seda suuremas osas sellest raamatust. Aeg-ajalt me peame olema täpsemad; näiteks kui räägime külmikutest, jõujaamadest, soojuspumpadest ja geoterminilisest energiast.

Erinevate energialiikide võrdlemisest

Kas me mitte ei võrdle õunu ja apelsine? Kas on õige võrrelda erinevaid energia vorme, nagu näiteks bensiiniautodesse tangitavat keemilist energiat ja tuuleenergiat?

Tarbitud ja kõikvõimalikku toodetavat energiat võrreldes ma ei väida, et kõik energia vormid on ühetaolised ja vahetatavad.  Tuulegeneraatoritega toodetud elektrienergia on bensiinimootorile kasutu; ja bensiin on kasutu, kui tahame energiat oma televiisori jaoks. Põhimõtteliselt saab energiat muundada ühest liigist teiseks, ehkki sellise muundamisega kaasnevad energiakaod. Fossiilkütustel töötavad jõujaamad näiteks neelavad keemiliste energiat ja toodavad elektrienergiat (kasutegur on ca 40%). Alumiiniumitehas neelab elektrienergiat ja toodab kõrge keemilise energiaga toodet - alumiiniumi (kasutegur ca ). 

Mõnes energia tootmist ja tarbimist kirjeldavas kokkuvõttes on kõik eri liiki energiad teisendatud samadesse ühikutesse, tuues sisse spetsiaalsed kordajad. Näiteks elektrienergia, mis toodetakse hüdroenergiast, on sellises arvestuses väärt korda rohkem kui elektrienergia, mis toodetakse naftast. Selline elektri efektiivse energia tõstmine on õigustatav, kui ütleme, et „ elektrienergiat on võrdne naftaga, sest kui me paneme just niipalju naftat tavalise jõujaama käitamiseks, siis me saame sellest kätte 40%, mis on elektrienergiat.” Sellest raamatus me reeglina konverteerime erinevat liiki energiad üks ühele. See ei ole alati nii, et naftat tähendab elektrienergiat; see on lihtsalt kujutletav vahetuskurss maailmas, kus naftat kasutakse elektri tootmiseks. Tõepoolest, keemilise energia elektrienergiaks muundamine toimub just sellise vahetuskursiga. Aga mõnikord muundatakse elektrienergiat ka keemiliseks energiaks. Alternatiivses maailmas (mis võib-olla ei olegi väga kaugel), kus meil on piisavalt elektrienergiat ja vähe naftat, võime me vedelkütuste tootmiseks kasutada elektrit; selles maailmas me kindlasti ei kasutaks samasugust vahetuskurssi – iga bensiini maksaks siis umbes elektrienergiat! Ma arvan, et ajatum ja teaduslikum viis energia kokku lugemiseks on hoida keemilist energiat võrdsena elektrienergiaga. Selline valik tähendab ka, et mõned minu summad võivad olla teistsugused kui teistel inimestel (näiteks BP Statistical Review of World Energy hindab elektrienergiat võrdseks naftaga; aga valitsuse Digest of UK Energy Statistics kasutab üks-ühele teisendamist, nagu ka mina). Ma rõhutan veel kord, et see valik ei tähenda, et ma arvaksin, nagu saaks neid energiaid otse üksteiseks muundada. Keemilise energia elektrienergiaks muundamine raiskab alati energiat, nagu ka elektrienergia muundamine keemiliseks energiaks.

Füüsika võrrandid

Selles raamatus me ei tegele ainult numbritega, mis kirjeldavad meie tänasat energiatarbimist ja võimalikku taastuvenergia tootmist. Me tahame ka selgeks teha, millest need numbrid sõltuvad. See on väga oluline, kui tahame valida mõistlikke poliitikaid nende muutmiseks. Vaid energiatarbimise taga oleva füüsika tundmine lubab meil anda hinnanguid sellistele väidetele nagu „autod raiskavad 99 % oma tarbitavast energiast; me võiksime disainida autosid, mis kulutavad 100 korda vähem energiat." Kas see väide on tõene? Vastuse selgitamiseks kasutan ma selliseid valemeid nagu

Samas ma saan aru, et paljudele lugejatele on sellised valemid kui võõrkeel. Sestap annan lubaduse: ma hoian kogu selle võõrkeelse värgi tehnilistes peatükkides raamatu lõpus. Iga inimene, kes on keskkoolis matemaatikat, füüsikat ja keemiat õppinud, võiks neid peatükke uurida. Raamatu põhitekst on kavandatud selliselt, et see oleks arusaadav igaühele, kes oskab liita, lahutada, korrutada ja jagada. Eriti on see suunatud meie kallitele valitud ja valimata esindajatele, parlamendiliikmetele.

Viimane asi enne alustamist: ma ei tea energiast kõike. Mul ei ole kõiki vastuseid ja minu poolt pakutavad numbrid on avatud kontrollile ja korrigeerimisele. (Ma lausa ootan parandusi ja publitseerin need raamatu veebilehel.) Olen lõpuni kindel vaid selles, et taastuvenergia küsimuse vastused sisaldavad numbreid; ükskõik milline tervemõistuslik taastuvenergeetikat käsitlev diskussioon vajab numbreid. Selles raamatus on nad olemas ja see raamat näitab, kuidas neid kasutada. Ma loodan, et see meeldib teile!

Märkused ja edasine lugemine

Liide „sekundi kohta" on kilovati definitsiooni sisse ehitatud. Teine näide ühikust, milles „aja kohta" on sisse ehitatud, on sõlm - „meie laeva kiirus on kümme sõlme!" (sõlm on üks meremiil tunnis); herts - “ ma kuulen -hertsist suminat” (üks herts on üks periood sekundis); amper - „kaitse põleb läbi, kui vool on suurem kui amprit” (mitte kulonit sekundis). Palun, ära kunagi ütle „üks kilovatt sekundis." Sellele reeglile on mõned harvad erandid. Kui me räägime võimsuse nõudluse kasvust, siis me võime öelda „Briti elektrivõimsuse nõudlus kasvab kiirusega üks gigavatt aasta kohta.” Peatükis Kõikumised ja salvestamine, milles me arutleme tuule võimsuse fluktuatsioonide üle, ma ütlen  „ühel hommikul langes Iiri tuulikute võimsus kiirusega tunni kohta.” Palun olge hoolikad! Vaid üks liigne sõna võib viia eksiarvamusteni: näiteks teie kodune elektrimõõdik mõõdab elektrienergiat kilovatt-tundides (), mitte kilovatt-tundides tunni kohta. Tegin ka tabeli, mille abil te saate tõlkida peamiseid võimsuse ühikuid päeva kohta ja inimese kohta.

Autod
Joonis. 3.1: Autod. Punane BMW, mis näib planeedilt Dorkon pärit kosmoselaeva kõrval kääbusena.

Meie esimeses tarbimist puudutavas peatükis uurime me modernse tsivilisatsiooni ikooni: autot, milles sõidab üks inimene. Kui palju energiat tarbib üks tavaline autoomanik? See on lihtne aritmeetika, kui teame vahetuskurssi:

Ütleme, et ühes päevas sõidetav vahemaa on ( miili).

Kütuse ühiku kohta sõidetud vahemaa, või auto kütusekulu, saame meil tavaliselt autoreklaamides pakutavatest numbritest selle kohta, kui palju kulutab auto kütust kohta. Võtame selleks numbriks miili Briti galloni kohta ( liitrit kohta):

(Sümbol tähendab „on ligikaudu võrdne”.)

Joonis 3.2: Tahate teada, kui palju energiat on autokütuses? Uurige või või margariini pakendit. Nende kalorsus on 3000kJ 100g kohta, mis teeb umbes 8kWh kg kohta.

Kuidas jääb ühiku kütuse energiasisaldusega (nimetatakse ka kütteväärtuseks või energiatiheduseks)? Teeme asja enda jaoks põnevamaks ja hindame seda suurust kaudselt. Autokütus (ükskõik, kas diisel või bensiin) on süsivesinik ja süsivesinikud on juhtumisi ka meie hommikusöögilaual, kusjuures nende kütteväärtus on mugavalt pakendilt loetav: see on umbes kohta (vt joonis). Kuna me väljendasime kütusekulu miilides kütuse ruumala ühiku kohta, siis peame ka kütteväärtuse kirja panema kui energia ruumala kohta. Et teisendada kütuse „ kohta” (energia massiühiku kohta) energiaks ühikruumala kohta, peame teadma kütuse tihedust. Milline on või tihedus? Kuna või napilt ujub vees, nagu ka kütuse laigud, siis võime öelda, et selle tihedus peab olema veidi väiksem vee tihedusest (so liitri kohta). Kui võtame tiheduseks liitri kohta, siis saame kütteväärtuseks:

Selle asemel, et lõputult ebakorrektset väärtust kasutada, võtame siitpeale kasutusele õige väärtuse, milleks on liitri kohta.

Joonis. 3.3: Autode peatüki järeldus: tüüpiline autoomanik kasutab umbes energiat päevas.

Palju õnne! Me oleme saanud oma esimese hinnangu tarbimisele. Ma panin selle hinnangu joonise vasakusse tulpa. Punase kasti kõrgus märgib päeva ja inimese kohta.

See on hinnang tüüpilise autojuhi kohta, kes juhib tänapäevast tavalist autot. Allpool me hindame kõigi Briti inimeste keskmist tarbimist, kus arvestame ka seda, et kõik inimesed ei kasuta autosid. Raamatu teises osas hindame ka seda, milline võiks olla tarbimine siis, kui kasutaksime teisi tehnoloogiaid, näiteks elektriautosid.

Miks sõidab auto miili galloni kohta? Kuhu see energia läheb? Kas on võimalik toota autosid, mis läbivad 3300 miili galloni kohta? Autode energiatarbe vähendamiseks peame teadma füüsikat, mis kirjeldab autode energiatarbimist. Nendele küsimustele vastatakse tehnilises peatükis Autod II, kust leiate ka piltidesse pandud autode energiatarbimise teooria. Soovitan teil tehnilisi peatükke lugeda juhul, kui valemid nagu ei põhjusta teile meditsiinilisi probleeme.

Peatüki Autod järeldused: tüüpiline autojuht kasutab energiat päevas. Järgmisena peame me alustama taastuvenergia tulbaga, et meil oleks võimalik seda hinnangut millegagi võrrelda.

Küsimused

Kui palju energiat kulub autokütuse tootmiseks?

Hea küsimus. Kui me hindame mingisugusele tegevusele kuluvat energiat, siis me tavaliselt valime sellele tegevusele üsna kindlad piirid. Selline valik teeb hinnangute andmise kergemaks, aga ma nõustun, et hea oleks hinnata tegevuste täielikku energiatarvet. On hinnatud, et iga ühiku autokütuse valmistamiseks kulub 1,4 ühikut naftat ja teisi esmaseid kütuseid (Treloar et al., 2004).

Kui palju energiat kulub autode tootmiseks?

Ka see küsimus jääb sellest konkreetsest rehkendusest välja. Me räägime autode tootmisest alapeatükis Asjad.

Märkused ja lisamaterjalid

Joonis 3.4: Briti inimeste harjumused liikumisel tööle ja töölt koju, 2001. aasta rahvaloenduse andmetel. 

Ütleme, et ühes päevas sõidetav vahemaa on . See vastab ( miilile) aastas. Umbes pool Briti elanikkonnast sõidab autoga tööle. Autosõidu kogukilometraaž ÜK-s on miljardit reisija-km aastas, mis vastab „keskmise Briti inimese päevas sõidetavale vahemaale" päevas. Allikas: Department for Transport [5647rh]. Nagu ma ütlesin, ma hindan „tüüpilise keskmiselt jõuka inimese" tarbimist - tarbimist, mille poole paljud inimesed pürgivad. Mõned inimesed ei sõida peaaegu üldse autoga. Selles peatükis tahan ma hinnata sellise inimese energiatarbimist, kes on valinud autoga sõitmise, mitte ei depersonaliseeri vastust rääkides ÜK keskmisest, mis segab kokku autoga sõitjad ja autoga mittesõitjad. Kui ma ütlesin „keskmine auto energiatarbimine ÜK-s on inimese kohta,” siis ma võin kihla vedada, et mõned inimesed saavad asjast valesti aru ja arvavad: „Ma kasutan autot, järelikult ma tarbin .”

Kui võtame tiheduseks liitri kohta.Bensiini tihedus on . Diislikütuse tihedus on [nmn4l].

... õige väärtuse, milleks on liitri kohta. ORNL [2hcgdh] pakub selliseid kütteväärtuseid: diiselkütus: ; lennukikütus:  ; bensiin:  . Kui otsite andmeid kütteväärtuse kohta, siis leiate „kogukütteväärtuse" ja „netokütteväärtuse” (samuti high heat value ja low heat value). Mootorikütustel erinevad need vaid 6%, nii et ei ole väga kriitiline neid eristada, aga ma seletan sellegipoolest. Kogukütteväärtus on tegelik keemiline energia, mis vabaneb kütuse põlemisel. Üks põlemise saaduseid on vesi ja enamikus mootorites ja jõujaamades läheb osa energiat selle vee aurustamiseks. Netokütteväärtus mõõdab, kui palju energiat jääb järele, kui oletame, et vee aurustamisele kuluv energia on läinud.

Kui me küsime „kui palju energiat ma oma elustiiliga tarbin," siis on õige kasutada kogukütteväärtust. Netokütteväärtusest on huvitatud jõujaamade insenerid, et otsustada, millist kütust millises jõujaamas põletada. Selles raamatus me üritame läbivalt kasutada kogukütteväärtust.

Auto summuti ots

Viimane märkus läheb pedantidele, kes ütlevad, et „või ei ole süsivesik": OK, või ei ole puhas süsivesik, aga me saame heas lähenduses öelda, et või peamine komponent on pikk süsivesikute ahel, nagu ka bensiinil. Selle tõestuseks on asjaolu, et see lähendus tõi meid õigele vastusele lähemale kui . Tere tulemast geriljafüüsikasse.

Tuul
Tuulik püüab tuult

ÜK-l on parimad tuuleenergia varud Euroopas

Sustainable Development Commission

Tuulefarmid hävitavad maastiku ilma igasuguse eesmärgita.

James Lovelock

Kui palju tuuleenergiat on mõeldav toota?

Maapealse tuule potentsiaali Ühendkuningriikides on võimalik hinnata korrutades tuulepargi keskmise võimsuse pinnaühiku kohta inimese kohta tuleva pindalaga ÜK-s:

kohad

Tuule võimsuse hindamist pinnaühiku kohta ÜK-s selgitatakse peatükis Tuul II. Kui tuule tüüpiline kiirus on 6m/s ( miili tunnis või 22 km/h), siis on tuulepargi võimsus ühikpindala kohta umbes .

6 m/s on arvatavasti üle hinnatud paljude Briti piirkondade jaoks. Näiteks järgnev joonis näitab päevaseid keskmiseid tuulekiirusi Cambridge's 2006. aastal. Päevane keskmine ulatub 6m/s ainult umbes päeval aastas – vaata joonise juures olevat histogrammi. Kuid mõndades kohtades on tuule kiirus suurem kui 6m/s – näiteks Cairngormi tipp Šotimaal (joonis).

Joonis 4.1 Keskmine tuulekiirus Cambridge'is 2006. aastal. Punane joon tähistab päevaseid keskmiseid, sinine joon pooltunni keskmiseid.
Joonis 4.2 Keskmine tuulekiirus Craingormi tipus 2006. aasta kuue kuu jooksul.

Liites siia Briti elanikkonna tiheduse inimest ruutkilomeetri kohta ehk 4000 ruutmeetrit inimese kohta, saame, et tuule võimsus annab

kui terve maa oleks täidetud tuulegeneraatoritega ja eeldades, et on õige number. Teisendades selle meie eelistatuimaks võimsuse ühikuks, saame inimese kohta.

Oleme realistid. Kui suure osa maast oleksime me tegelikult nõus tuulegeneraatoritega katma? Võib-olla ? Siit saame järeldada: kui me kataksime tuuliseima oma maast tuulegeneraatoritega (mis annavad ), suudaksime genereerida inimese kohta, mis on umbes pool sellest, mis keskmisel fossiilkütustel sõitval autol päevas 50 km läbimiseks kulub.

Joonis 4.3 Peatüki Tuul järeldus: maksimaalne mõeldav energiatootmine Ühendkuningriikide maismaa tuulefarmides on päevas inimese kohta.

Briti avamere tuule varu võib olla „üüratu," aga ilmselt ei ole see nii üüratu kui meie tarbimine. Me tuleme avamere tuule juurde tagasi hiljem.

Peaksin ilmselt rõhutama, kui heldeid eeldusi ma teen. Võrrelgem Briti tuuleenergia varu täna maailmas olemasoleva tuuleelektri tootmisvõimsusega: ÜK-le inimese kohta andvate tuulikute võimsus oleks korda suurem kui Taani tuuleenergia tootmisvõimsus, 7 korda suurem kõigi Saksamaa tuulefarmide võimsusest ja kaks korda suurem kõigi maailma tuulegeneraatorite võimsusest.

Tabel 2.2 Faktid, mille võiks meelde jätta: tuulepargid.
Võimsus pindalaühiku kohta
Tuulepark (tuule kiirus 6m/s)

Palun ärge saage minust valesti aru. Kas ma ütlen, et tuuleparke ei tasu ehitada? Üldsegi mitte. Tahan lihtsalt edasi anda kasulikku fakti, et kui tahame tuuleparkidega tõepoolest midagi ära teha, peavad tuulepargid katma väga suure maa-ala.

Tabel 2.3 Faktid, mida tasub mäletada: inimasustuse tihedus.
Inimasustuse tihedus ÜK-s
ruutkilomeetri kohta ⇔  inimese kohta

See järeldus – et maapealsete tuuleparkide panus, olles küll „üüratu," on meie tarbimisest palju väiksem – on tähtis, nii et parem kontrollime võtmesuurust: tuuleparkide võimsust ühikpindala kohta () reaalsete tuuleparkide andmetega ÜK-s.

Glasgow lähedal asuvas Whitelee tuulepargis on -l 140 tuulegeneraatorit koguvõimsusega . See teeb maksimumvõimsuseks . Keskmine toodetud võimsus on väiksem, sest tuulegeneraatorid ei tööta kogu aeg maksimaalse võimsusega. Keskmise võimsuse ja maksimumvõimsuse suhet nimetatakse „koormusteguriks" ja selle konkreetne väärtus sõltub kohast ning kasutatavatest seadmetest; tüüpiliselt on see heasse kohta ehitatud moodsate tuulegeneraatorite korral . Kui eeldame, et Whitelee koormustegur on , siis on toodetud keskmine võimsus pinnaühiku kohta – täpselt selline nagu me eeldasime.

Joonis 4.6 Keskmine tuulekiiruse histogramm Cambridge'is: päevased keskmised on vasakul (punane), pooltunni keskmised paremal (sinine).

Küsimused

Ehitatakse järjest suuremaid tuulegeneraatoreid. Kas suuremate tuulegeneraatorite kasutamine muudab selle peatüki lõppjäreldust?

Seda seletab peatükk Tuul II. Suuremad tuulegeneraatorid annavad suuremate mahtude pealt majanduslikku kokkuhoidu, kuid need ei suurenda eriti võimsust pindalaühiku kohta, sest neid tuleb üksteisest kaugemale paigutada. Kaks korda kõrgem tuulepark annab umbes rohkem võimsust.

Tuule tugevus muutub kogu aeg. See ju teeb tuule kasutamise keeruliseks?

Võib-olla. Me tuleme selle küsimuse juurde tagasi peatükis Kõikumised ja salvestamine. Seal me räägime tuule muutlikkusest ja vaatleme mitut võimalikku lahendust sellele probleemile, kaasaarvatud energia salvestamine ja nõudluse juhtimine.

Märkused ja edasine lugemine 

Joonis 4.1 ja joonis 4.6. Andmed tuule kohta Cambridge'is: Digital Technology Group, Computer Laboratory, Cambridge [vxhhj]. Nende ilmajaam asub Gates'i maja katusel, umbes 10m kõrgusel. Tuulekiirus kõrgusel on harilikult umbes suurem. Andmed Cairngormi kohta (joonis 4.2): Heriot–Watt'i Ülikooli Füüsikaosakond [tdvml].

UK-le inimese kohta andvate tuulikute võimsus oleks korda suurem, kui Taani tuuleenergia tootmisvõimsus. Kui eeldame koormustegurit, nõuab keskmine võimsus inimese kohta 150GW võimsuse installeerimist. 2006.a. lõpus oli Taanis installeeritud võimsus 3,1GW; Saksamaal . Kogu maailmas installeeritud võimsus oli (wwindea.org). Märkuse korras olgu öeldud, et 2006. aastal oli Taani tuuleparkide koormustegur ja inimese kohta toodetav keskmine võimsus oli .

Lennukid
Boeing 747-400

Kujutagem ette, et me teeme lennukiga ühe kontinentide vahelise lennu aastas. Kui palju energiat selleks kulub?

Boeing 747-400 võtab peale 240000 liitrit kütust ja 416 reisijat ning lendab nii umbes 8800 miili (14200km). Me juba teame, et kütuse kütteväärtus on liitri kohta. (Saime selle teada peatükis Autod.) Seega on ühe sellise reisi energiakulu kõigi reisijate vahel võrdselt jaotatuna

Kui te teete ühe sellise reisi aastas, siis vastav energia tarbimine päeva kohta on

14200km on veidi kaugemal, kui Londonist Kaplinna (10000km) ja Londonist Los Angelesse (9000km), nii et me oleme tüüpilise kontinentide vahelise reisi pikkust veidi ülehinnanud; aga me oleme ka üle hinnanud lennukite täitumust ning energiakulu reisija kohta on suurem, kui lennuk ei ole täis. Kui skaleerime lennu 10000km/14200km võrra, saades nii Kaplinnale vastava reisi pikkuse, ja siis uuesti 100/80 võrra üles, arvestades lennukite 80% täituvust, saame tulemuseks 29kWh inimese kohta. Meeldejätmise lihtsustamiseks ümmardame selle päeva peale.

Toome tulemuse arusaadavuse huvides ühe võrdluse. Selline lend üks kord aastas kulutab energiat pisut rohkem, kui hoiaksime kogu aasta tundi ööpäevas töös küttekeha.

Joonis 5.1 Kui me teeme ühe kontinentidevahelise lennureisi aastas.

Täpselt nagu peatükk Autod, milles me hindasime autode energiatarbimist, on varustatud peatükiga Autod II, kus me näitame, kuhu see energia läheb, on ka selle peatüki lisana olemas tehniline peatükk Lennukid II, kus me näitame, kuhu läheb energia lennukites. Peatükk Lennukid II lubab meil vastata sellistele küsimustele nagu „kas lendamine võtaks oluliselt vähem energiat, kui kasutaksime aeglasemaid lennukeid?" Vastus on ei: erinevalt ratastega sõidukitest, mis võivad aeglaselt sõites efektiivsemad olla, on lennukid juba täna peaaegu nii energiatõhusad kui see üldse võimalik on. Lennukid kulutavad paratamatult energiat kahel põhjusel: nad peavad suruma õhku allapoole, et õhus püsida, ja nad vajavad energiat õhutakistuse ületamiseks. Ükski disainiuuendus ei saa lennukeid radikaalselt tõhusamaks teha. tõhusamaks? Jah, võib-olla. Kaks korda tõhusamaks? Ma sööksin ära oma kübara.

Küsimused

Kas turbopropellerlennukid ei ole palju energiatõhusamad?

Joonis 5.2 Bombardier Q400 NextGen. www.q400.com.

Ei ole. „Roheline” Bombardier Q400 NextGen, „tehnoloogiliselt kõige arenenum turbopropellerlennuk maailmas,” kasutab tootja andmetel [www.q400.com] 3,81 liitrit kütust reisija-km kohta (reisilennu kiirusel 667km/h), mis teeb energiakuluks 38kWh reisija-km kohta. Täis 747 energiakulu on 42kWh reisija-km kohta. Seega on mõlemad need lennukid kaks korda energiatõhusamad, kui ühe sõitjaga auto. (Räägin siin keskmisest Euroopa autost, nagu selgitatud peatükis Autod.)

Tabel 2.4 Reisijateveo tõhusus, väljendatuna kulutatud energiana 100 reisija-km kohta.
Energiakulu vahemaa kohta ( reisija-km kohta)
Auto ( reisijat)
Ryanair’i lennukid 2007.a,37
Bombardier Q400, täis38
747, täis42
747, 80% täituvus53
Ryanair’i lennukid 2000.a.73
Auto ( reisija)

Kas lendamine on kuidagi eriti suur kliimamuutuste põhjustaja?

Jah, eksperdid arvavad just nii, ehkki selles küsimuses on veidi ebaselgust [3fbufz]. Lendamine tekitab lisaks -le veel ka teisi kasvuhoonegaase, nagu näiteks vett ja osooni, samuti kaudselt kasvuhooneefekti põhjustavaid gaase nagu näiteks lämmastikoksiidi. Kui tahta hinnata oma süsinik-jalajälge -ekvivalent-tonnides, siis peaksime võtma reaalse  emissiooni ja korrutama selle kahe või kolmega. Selle raamatu joonised ei sisalda sellist tegurit, sest siin me keskendume energiabilansile. 

Parim, mida keskkonnakaitsjatega teha saaks, oleks nad maha lasta.

Michael O’Leary, Ryanair'i tegevjuht [3asmgy]

Märkused ja edasine lugemine

Boeing 747-400 – andmed pärinevad [9ehws].

Lennukites ei ole kõik kohad täis. Lennukompaniid on on uhked 80% täituvuse korral. Easyjet'i lennukid on keskmiselt 85% täitunud. (Allikas: The London Paper, teisipäev, 16. jaanuar 2007.) 80% täidetud 747 tarbib umbes 53kWh reisija-km kohta.

Joonis 5.4 Ryanair Boeing 737-800. Foto: Adrian Pingstone.

Kuidas on lühilendudega? 2007.a. pakkus Ryanair, „Euroopa kõige rohelisem lennukompanii,” transporti hinnaga 37kWh reisija-km kohta[3exmgv]. See tähendab seda, et Euroopas lennates kulutaksime umbes sama palju energiat kui paneksime kõik reisijad autodega sõitma, kaks igasse autosse. (Idee teiste lennukompaniide kütusekulu kohta võib saada sellest, et enne oma keskkonnasõbralikku investeeringut 2000.a. kulutas Ryanair üle 73kWh 100 reisija-km kohta.) Londonist Rooma on 1430km; Londonist Malagasse on 1735km. Seega kõige rohelisema lennukompanii edasi-tagasi lend Rooma kulutab 1050kWh energiat, edasi-tagasi lend  Malagasse kulutab 1270kWh. Kui satute Roomasse ja Malagasse üks kord aastas, on teie keskmine energiatarve kõige rohelisemat lennukompaniid kasutades 6,3kWh/p, vähem rohelistega arvatavasti üle .

Joonis 5.5 Kaks lühilendu kõige rohelisemal lühilennuliinil: . Lende hõbedase sagedase lendaja staatuse saamiseks: .

Kuidas on sagedaste lendajatega? Kontinentide vahelise sagedase lendaja kaardi saamiseks peate lendama umbes 25000 miili aastas. See on umbes 60kWh päevas, kui arvestame, et lennukite täituvus on 80%.

Veel mõned numbrid Valitsustevahelisest kliimamuutuste paneelist [yrnmum]: täis 747-400 energiatarbimine madala istmete tiheduse korral (262 istet) lennul on reisija-km kohta. Suure istmete tiheduse korral (568 istet) on selle lennuki energiatarbimine 4000km lennul reisija-km kohta. Lühilendu tegeva Tupolev-154 energiatarbimine 2235km lennul, kui 70% selle 164 istmest on hõivatud, on reisija-km kohta.

Ükski disainiuuendus ei saa lennukeid radikaalselt tõhusamaks teha. Tegelikult püüab Advisory Council for Aerospace Research in Europe (ACARE) saavutada kütusekulu vähendamist reisija-km kohta 2020. aastaks (võrreldes 2000.a. tasemega), kus 1520% paranemine loodetakse saavutada mootori tõhususe tõstmisega. 2006. aastaks on Rolls Royce saavutanud poole sellest mootoritele püstitatud eesmärgist [36w5gz]. Dennis Bushnell, NASA Langley Uurimiskeskuse juhtivteadur, näib nõustuvat minu üldise hinnanguga energiatõhususe parandamise perspektiividele lennunduses. „Lennukitööstus on lõpuni välja arenenud. Seal ei ole enam palju võita, välja arvatud väikesed paranemised, protsent siit ja sealt pika aja jooksul.” (New Scientist, 24 February 2007.)

Radikaalselt ümber kujundatud Silent Aircraft [silentaircraft.org/sax40], kui see lõpuks valmis ehitatakse, on ennustuste kohaselt 16% efektiivsem, kui traditsiooniliselt disainitud lennuk (Nickol, 2008).

Kui ACARE sihid saavutatakse, siis tõenäoliselt läbi suurema täituvuse ja parema lennujuhtimise.

Päike

Me võrdleme oma energiatarbimist taastuvenergia kujutletaldava tootlusega. Eelmises kolmes peatükis nägime, et ainuüksi autodega sõitmine ja lennukitega lendamine kulutab rohkem energiat kui on tõenäoline toota tuulegeneraatoritega Ühendkuningriikide rannikualadel. Kas päikeseenergia suudab meie arvestuses tootmise uuesti tarbimisest suuremaks muuta?

Pilvitu taevaga on keskpäeval maale langeva päikesekiirguse võimsus ruutmeetri kohta. See on päikese poole suunatud pinna, mitte maapinna ruutmeetri kohta. Suurbritannias maapinna kohta saadava võimsuse saamiseks peame sisse viima mitmeid parandusi. Me peame arvestama nurgaga päikese ja maapinna vahel, mis vähendab keskpäeval päikesekiirguse intensiivsust umbes 60% võrreldes selle väärtusega ekvaatoril (vt joonis 6.1). Me kaotame võimsust ka sellepärast, et kogu aeg ei ole keskpäev. Septembri või märtsi päeval on päikesekiirguse keskmine intensiivsus võrreldes keskpäevase intensiivsusega umbes 32%. Ja viimaks kaotame võimsust ka pilvede tõttu. Tüüpiliselt paistab Suurbritannias päike vaid 34% päevast.

Nende faktorite mõju ja ka aastaaegade vaheldumise tulemusena on lõunasse suunatud katusel Britannias keskmine päikesekiirguse võimsus ruutmeetri kohta umbes  ja maapinnal umbes .  

Seda toorenergiat võib kasulikuks energiaks muundada neljal viisil:

  1. Päikesekiirgusest saadav soojusenergia: kui kasutame päiksekiirgust ehitiste või vee soojendamiseks.
  2. Päikesekiirgusest saadav elekter: kui toodame elektrienergiat.
  3. Biomass: kui kasutame puid, baktereid, vetikaid, teravilja, sojaubasid või õliseemneid kütuse, kemikaalide või ehitusmaterjalide tootmiseks.
  4. Toit: sama mis biomass, välja arvatud see, et me vohmime taimin inimestesse või teistesse loomadesse.

(Järgevates peatükkides me käsitleme veel mõnda päikeseenergia kasutamise teholoogiat, mis on sobilikud kasutamiseks kõrbetes.)

Hindame järgnevalt ligikaudselt maksimaalse mõeldava võimsuse, mida sellistel viisidel on võimalik saada. Me ei käsitle majanduslikke kulusid ja energiat, mis kulub jõujaamade tootmiseks ja töös hoidmiseks.

Päikesekiirgusest saadav soojusenergia

Kõige lihtsam päikeseenergiat kasutav tehnoloogia on sooja vett tootev paneel. Kujutame ette, et me katame selliste paneelidega kõik lõuna poole suunatud katused – see on umbes inimese kohta – ja teeme eelduse, et need paneelid muundavad päikesekiirguse keskmise intensiivsuse soojaks veeks kasuteguriga   (joonis 6.3).

Joonis 6.3: vett soojendava päikesepaneeli toodetud energia (roheline graafik) ja lisaenergia vajadus sooja vee tootmiseks (sinine graafik) ühes Viridian Solar testmajas. (Fotol on maja, mille katusel on sama tüüpi päikesepaneel.) Keskmiselt toodeti päikeseenergiat . Eksperimendis simuleeriti keskmise Euroopa pere sooja vee tarbimist – liitrit kuuma () vett päevas. erinevus toodetud soojuse (ülemine must joon) ja kasutatud sooja vee (punane joon) vahel on põhjustatud soojuskadudest. Magenta joon näitab elektrienergiat, mis on vajalik selle süsteemi käitamiseks. Selliste päikesepaneelide keskmine võimsus pindalaühiku kohta on .
Joonis 6.4: Päikesekiirgusest toodetud soojusenergia: päiksepaneele annab (keskmiselt) umbes soojusenergiat inimese kohta.

Ma värvisin selle kasti joonisel 6.4 valgeks, sest toodetav energia on madala kvaliteediga – soe vesi ei ole nii väärtuslik (grade) kui näiteks tuulegeneraatorite poolt toodetud elektrienergia. Soojust ei saa üle kanda elektrivõrku. Kui te seda ära ei kasuta, on see raisatud. Me peame arvestama sellega, et suur osa kogutud energiast ei ole õiges kohas. Enamus inimesi elab linnades ja seal on ühe inimese kohta vähem katusepinda kui kogu riigis keskmiselt. Enamgi veel: seda energiat toodetakse läbi aasta erinevas mahus.

Päikeseelemendid 

Päikeseelemendid (täpsemalt fotogalvaanilised elemendid) muundavad päikesevalgust elektriks. Tüüpilise päikeseelemendi kasutegur on umbes ; kallimatel . (Fundamentaalsed füüsika seadused piiravad fotogalvaaniliste elementide kasutegurit, see ei saa tõusta üle 60% juhul, kui kasutatakse ideaalseid kiirgust koondavaid peegleid või läätsesid, ja ilma kiirguse koondamiseta. Oleks väga märkimisväärne, kui masstootmisesse jõuaksid seadmed, mille kasutegur oleks suurem kui .) Keskmine võimsus, mida annab Suurbritannias katuse lõunapoolsele küljele paigaldatud paneel, on 

Joonis 6.5 esitab andmed, mis seda numbrit toetavad. Andkem igale inimesele kalleid (-kasuteguriga) päikesepaneele ja katkem kõik lõunasse vaatavad katused. Selliselt saaksime

Joonis 6.5: Päikeseelemendid: Cambridgeshire'is asuva paneeli 2006. aasta andmed. Paneeli maksimaalne võimsus on umbes . Aasta keskmine on päevas. See on keskmiselt paneeli ruutmeetri kohta.

Kuna lõunasse suunatud katuste pindala on inimese kohta, siis ei ole seal korraga ruumi nii päikeseelementidele kui ka sooja vett tootvatele päikesepaneelidele. Seega peame nende kahe vahel valiku langetama. Aga ma ikkagi liidan mõlemad need panused meie tootmise tulbale kokku. Tänasel päeval on päikeseelementide paigaldamine umbes neli korda kallim kui päikesepaneelide paigaldamine, samas annavad need poole vähem energiat, kuigi, jah, see energia on kõrgemat sorti (elekter). Nii et ma soovitan peredele esimese asjana kaaluda investeeringut soojust tootvatesse päikesepaneelidesse. Kõige nutikam lahendus päikeseküllastes riikides on ehitada kombineeritud süsteem, mis toodab nii elektrit kui ka soojust. Sellise lähenemise võttis esimesena kasutusele Heliodynamics, kes vähendas oma süsteemide hinda ümbritsedes väikesed kvaliteetsed gallium-arseniidi päikeseelemendid aeglaselt liikuvate tasapeeglitega. Peeglid fokusseerivad päikesevalguse päikeseelementidele, mis toodavad nii elektrit kui ka soojust; vee soojendamiseks pumbatakse seda mööda päikeseelementide tagakülgi.

Meie senise jutu kokkuvõte: lõunasse suunatud katuste päikeseelementidega katmine võimb anda üsna suure osa meie keskmisest personaalsest elektritarbest, aga katused ei ole piisavalt suured, et katta arvestatavat osa meie koguenergiatarbimisest. Et päikesepatareidega rohkem saavutada, peaksime tulema maa peale. Joonisel 6.6 kujutatud päikeserüütlid näitavad siin teed.

Aeg fantaasiateks: päikesefarmid

Kui toimub tehnoloogiline läbimurre ja päikeseelementide hind lubab neid paigaldada kõikjale maastikule, milline oleks siis maksimaalne mõeldav tootmine? Kui me kataksime kogu ÜK territooriumist -efektiivsusega päikesepatareidega, siis saaksime

Muide, ma eeldasin vaid -kasuteguriga päikesepatareisid, sest minu ettekujutuses suudetakse neid nii suurtes kogustes toota vaid juhul, kui need on väga odavad ja kõigepealt muutuvad odavamaks madala kasuteguriga päikesepaneelid. Selliste päikesefarmide võimsustihedus (võimsus ühikpindala kohta) oleks

See on kaks korda suurem kui Bavaaria päikesefarmis (joonis 6.7).

Joonis 6.8: Maa pindala Ühendkuningriikides inimese kohta.

Kas selline päikesefarmide üleujutus saab eksisteerida peatükis Tuul kirjeldatud tuulegeneraatorite armeega samaaegselt? Jah, ei ole probleemi: tuulegeneraatorite vari on väike ja maapinnal asuvate päikesefarmide mõju tuulegeneraatoritele võime arvestamata jätta, see on väga väike. Kas see plaan on väga ebaharilik? Ühendkuningriikide iga inimese kohta päevas elektrienergia tootmiseks oleks vaja korda rohkem päikeseelemente kui täna maailmas olemas on. Kas seda arvestades ma ikkagi peaksin päikeseelemendid oma taastuvenergia tootmise tulpa lisama? Olen kahevahel. Selle raamatu alguses ma ütlesin, et tahan uurida, mida ütleb füüsika taastuvenergia tootmise piiride kohta juhul, kui eeldame, et raha ei ole probleemiks. Sellisel eeldusel ma peaksin mõttega edasi minema, industrialiseerima maapiirkonnad ja lisama päikesefarmid tulpa. Samas ma tahaksin anda inimestele ettekujutuse sellest, mida peaks tegema alates tänasest 2050. aastani. Ja täna oleks päikesefarmidest saadav elektrienergia neli korda kallim kui on elektrienergia turuväärtus. Nii et ma tunnen end veidi vastutustundetuna, kui lisan selle joonisel 6.9 taastuvenergia tootmise tulpa – Ühendkuningriikide palistamine päikesefarmidega ei tundu enam mõistlikuna väga paljudest aspektidest lähtudes. Kui me tõesti tahaksime midagi sellist teha, võiksime pigem need päikesefarmid paigutada kusagile kaks korda päikeselisemasse riiki ja saata osa toodetud energiast koju mööda elektriliine. Me arutame seda ideed peatükis Elu teiste riikide taastuvenergia arvel.

Joonis 6.9: Päikesepaneelid: ehitistele paigaldatud lõunasse suunatud kasuteguriga päikesepaneelid annavad elektrienergiat umbes päevas. Kui kataksime riigist -kasuteguriga päikesepaneelidega ( päikesepaneele inimese kohta) annaksid need inimese kohta.

Müütarusaamad

Päikesepaneelid tootmine kulutab rohkem energiat kui sellega on võimalik toota.

Vale. Katusele installeeritud elektrivõrku ühendatud -aastase elueaga päikesepaneeli energeetiline kasumlikkus (energy yield ratio) (süsteemi eluajal toodetud energia suhe energiasse, mida on vaja selle tootmiseks) Kesk-Põhja-Euroopas (Richards ja Watt, 2007); ja rohkem kui päikeselistemas kohtades, näiteks Austraalias. (Energeetiline kasumlikkus üle ühe tähendab, et energia seisukohast lähtudes on tegemist Hea Asjaga.) -aastase elueaga tuulegeneraatorite energeetiline kasumlikkus on .

Kas ei ole nii, et päikeseelemendite kasutegur tehnoloogia arenedes järjest suureneb?

Ma olen kindel, et päikesepaneelid muutuvad järjest odavamaks; Olen ka kindel, et päikesepaneelide tootmisel kulutatakse järjest vähem energiat, mis teeb need energeetiliselt kasumlikumaks. Aga siin peatükis välja toodud hinnangud ei ole piiratud päikeseelementide hinnaga, samuti mitte nende tootmisele kuluva energiaga. Selles peatükis vaatlesime maksimaalset mõeldavat energiatootmise võimsust. kasuteguriga päikesepaneelid on üsna lähedal teoreetilisele piirile (vaata selle peatüki lõpumärkusi). Oleksin väga üllatunud, kui neid hinnanguid tuleb kunagi märkimisväärselt ülespoole korrigeerida.

Biomass

Teate, ühel hetkel võime me olla energiaäris kasvatades õues muru! Ja me kogume seda ning muundame energiaks. See võib juhtuda üsna pea..

George W. Bush, Veebruar 2006

Kõik bioenergia lahendused näevad esimese asjana ette millegi rohelise kasvatamist, pärast mida selle rohelise asjaga tehakse veel midagi. Kui palju on võimalik selle rohelise asjaga energiat koguda? Päikesest energiat saavatest bioloogilistest süsteemidest energia kätte saamiseks on neli peamist võimalust:

  1. Me võime kasvata taimi ja põletada neid jõujaamades, mis toodavad elektrit või soojust või siis mõlemat. Me kutsume seda protsessi söe asendamiseks (coal substitution).
  2. Me võime kasvatada spetsiaalseid selleks sobivaid taimi (õliseemne raps, suhkruroog või näiteks mais), teha neist piiritust või biodiislit ning kasutada neid siis autodes, rongides lennukites ja teistes kohtades, kus sellised kemikaalid on kasutatavad. Me võime ka aretada geneetiliselt muundatud baktereid, tsüanobaktereid või vetikaid, mis toodavad otseselt vesinikku, etanooli või butanooli, isegi elektrit. Me nimetame kõiki selliseid lähenemisi „nafta asendamiseks".
  3. Me võime võtta teistest põllumajandusharudest kõrvalsaaduseid ja põletada neid jõujaamades. Kõrvalsaadusteks võivad olla igasugused asjad alates õlgedest (Weetabixi kõrvalsaadus) kuni kanasitani (McNuggets'i kõrvalsaadus). Selliste kõrvalsaaduste põletamine on jällegi söe asendamine, aga siin kasutatakse tavalisi, mitte spetsiaalseid kõrge energiasisaldusega taimi. Põllumajanduses tekkivaid kõrvalsaadusi põletavad jõujaamad ei anna nii palju energiat põllumaa pinnaühiku kohta kui optimeeritult biomassi tootvad põllumaad. Eeliseks on siinkohal aga see, et me ei monopoliseeri maad. Prügimägedest saadava metaani põletamine on sarnane energia saamise viis. Aga see on taastuvenergia vaid juhul, kui ladestatava prügi või jäätmete allikas on taastuv. (Enamus prügilate metaanist pärineb raisatud toidust; Suurbritannia inimesed viskavad ära umbes toitu inimese kohta päevas.) Kodumajapidamises tekkivate jäätmete tuhastamine on päikeseenergiast tekkivast biomassist energia saamiseks vahetum võimalus.
  4. Me võime kasvatada taimi ja toita nendega inimesi või teisi energiat vajavaid loomi.

Kõikide nende protsesside esimeseks sammuks on mõne keemilise aine, näiteks süsivesiku, molekul rohelises taimes. Järelikult me võime ükskõik millisest neist protsessidest saadavat võimsust hinnata selle järgi kui palju võimsust neisse molekulidesse pääseb. Kõigis järgnevates traktoreid, loomi, keemiatehaseid, jäätmejaamasid ja jõujaamu sisaldavates sammudes saab energia vaid kaduda. Seega on esimeses sammus sisalduv võimsus maksimaalne, mida on võimalik saada suvalisest taimi kasutavast energiatootmise lahendusest.

Hinnakem selle esimese sammu võimsust. (Peatükis Päike II me läheme detailsemaks ja uurime iga protsessi maksimaalset panust.) Keskmine kogutav päikesekiirguse võimsus Suurbritannias on . Euroopa kõige suurema kasuteguriga taim muundab päikeseenergia süsivesikuteks kasuteguriga, millest järeldub, et me võiksime taimedelt saada ; aga nende kasutegur langeb suurematel valguse intensiivsustel ja parim, mis Euroopas biomassi tootmisel saadakse, on lähemal väärtusele . Oletame, et katame maapinnast rohelise kraamiga. See annaks bioenergiat tootvat maad inimese kohta. See on sama palju kui on täna Suurbritannias maad põllumajanduses. Seega on maksimaalne saavutatav võimsus, kui ignoreerime täiendavaid kulutusi kasvatamisele, kogumisele ja töötlemisele.

Vau. See ei ole just liiga palju, kui arvestada suurema numbri saamiseks tehtud hullumeelselt suuremeelseid eeldusi. Kui tahaksime saada biomassist biokütust, oleksid kõik järgnevad sammud selles ahelas paratamatult ebaefektiivsed, alates rohelusest ja lõpetades süüteküünlaga. Ma arvan, et oleks optimistlik loota, et kaod selles tootmisahelas oleksid väikemad kui . Isegi kuiva puidu põletamisel heas katlas kaob soojusest korstnasse. Nii et tegelik biomassist saadav potentsiaalne võimsus ei saa olla suurem kui inimese kohta. Ja ärge unustage, et tahaksime kasutada veidi rohelust ka toidu tootmiseks ja oma pudulojustele.

Kas geneetiliselt muundatud taimed suudaksid päikeseenergiat efektiivsemalt keemiliseks energiaks muundada? See oleks mõeldav. Aga ma ei ole leidnud veel ühtegi teadusartiklit, mis ennustaks, et taimed suudaksid Euroopas toota rohkem kui  .

Ma panen rohelisse tulpa inimese kohta rõhutades, et minu arvates on see väärtus üle hinnatud – ma arvan, et tegelik biomassist saadav maksimaalne võimsus on põlluharimises ja töötlemisel tekkivate kadude pärast väiksem.

Arvan, et oleme jõudnud selge järelduseni: biokütuste abil ei ole võimalik energia tootmist ja tarbimist klappima saada – vähemasti mitte sellistes  riikides nagu Suurbritannia - ja mitte kogu transpordis kasutatavate kütuse jaoks. Isegi kui jätame kõrvale biokütuste suurima puuduse – need võistlevad toidu tootmisega ja lisakulutused põlluharimisele ja töötlemisele enamasti nullivad kogu saadava energia (joonis 6.14) – annavad taimedest toodetud biokütused Suurbritanniaga sarnastes Euroopa riikides nii vähe energiat, et sellest on vaevalt mõtet rääkidagi.

Joonis 6.12: Biomass, kuhu on arvatud sisse kõik biokütuse vormid, jäätmed, tuhastamine ja toit: inimese kohta.

Märkused ja edasine lugemine

Joonis 6.15: Sanyo HIP-210NKHE1 moodulite poolt toodetud energia valguse intensiivsuse funktsioonina (, eeldades, et väljundpinge on ). Allikas: andmetabel, www.sanyo-solar.eu.

Me peame arvestama nurgaga päikese ja maapinna vahel... Cambridge'i pikkuskraad ; keskpäevane päikesevalguse intensiivsus korrutatakse . Selle kordaja täpne väärtus sõltub aastaajast ja on vahemikus ja .

Tüüpiliselt paistab Suurbritannias päike vaid 34% päevast. Mägismaal on 1100 tundi päikesepaistet aastas – päikeselisus. Parimates Šotimaa paikades on see number 1400 tundi aastas – 32%. Cambridge: tundi aastas – 34%. Inglismaa lõunarannik (Suurbritannia kõige päikeselisem osa): 1700 tundi aasta kohta – 39%. [2rqloc] Andmed Cambridge'i kohta [2szckw]. Vaata ka joonis 6.16.

Joonis 6.16: Keskmine päikesekiirguse võimsus, mis langeb horisontaalsele pinnale erinevates kohtades Euroopas, Põhja-Ameerikas ja Aafrikas.

... keskmine päikesekiirguse võimsus ruutmeetri kohta lõunasse suunatud katusel Britannias umbes  ja maapinnal umbes . Allikas: NASA “Surface meteorology and Solar Energy” [5hrxls]. Olete üllatunud, et lõunasse suunatud viilkatuse ja lamekatuse vahel on siin nii väike vahe? Mina olin. Erinevus on tõepoolest ainult [6z9epq].

... umbes inimese kohta. Ma hindasin inimese kohta lõunasse suunatud katuse pindala selle järgi, kui suur pindala on iga inimese kohta kaetud ehitistega (Inglismaal on see number – vaata tabel I.6). Lõunasse suunatud katuste osa saamiseks korrutame seda -ga ja suurendame tulemust katuse kalde arvestamiseks 40% võrra. See annab inimese kohta. Päikesepaneele müüakse tavaliselt ebapraktiliste ristkülikukujuliste tükkidena, nii et osa katusest jääb paistma; seega päikesepatareisid.

Tüüpilise päikeseelemendi kasutegur ... Käib ringi müüt, et päikesepaneelide võimsus on pilvise ja päikesepaistelise ilmaga peaaegu ühesugune. See ei ole tõsi. Heleda kuid aga pilvise ilmaga päikeseelemendid ja taimed küll toodavad energiat, kuid palju vähem: kui päike läheb pilve taha, väheneb päikeseelementide energiatootmine umbes kümme korda (sest neile langeva päikesekiirguse intensiivsus väheneb kümme korda). Joonis 6.15 näitab, et päikeseelemendi võimsus on peaaegu täpselt proportsionaalne päikesekiirguse intensiivsusega – vähemalt juhul, kui paneelide temperatuur on . Tegelikult on asi pisut keerulisem ja päikeseelemendi võimsus sõltub ka temperatuurist – kuuma paneeli võimsus on väiksem (tüüpiliselt väheneb võimsus kraadi kohta) – aga kui uurite reaalsete päikesepatareide andmeid, näiteks aadressil www.solarwarrior.com, võite leida kinnituse põhilisele: väljundvõimsus on pilvisel päeval palju väiksem kui päikeselisel päeval. See teema on segaseks aetud mõningate päikesepaneelide reklaamijate poolt, kes arutlevad, kuidas „efektiivsus" muutub vastavalt päikesevalgusele. Nad ütlevad, et „päikesepaneelid on pilvise ilma korral efektiivsemad;” see võib isegi tõsi olla, aga kasutegurit ei maksa segi ajada saadud võimsusega.

Joonis 6.18: Täna turul pakutavate päikeseelementide kasutegurid. Selles raamatus me eeldame, et katusele paigutatud päikeseelementide kasutegur on ja et maapinnale paigutatud päikeseelementide kasutegur on . Kohtades, kus maapinnale langeva päikesekiirguse keskmine võimsustihedus on , annavad kasuteguriga päikesepaneelid .

Tüüpiliste päikesepatareide kasutegur on umbes , kallimatel . Vaata joonis 6.18. Allikad: Turkenburg (2000), Sunpower www.sunpowercorp.com, Sanyo www.sanyo-solar.eu, Suntech.

Oleks väga märkimisväärne, kui masstootimisesse jõuaksid seadmed, mille kasutegur oleks suurem kui . See tsitaat pärineb Hopfield ja Gollub artiklist (1978), milles kirjutati päikesepaneelidest ilma valgust koondavate peeglite ja läätsedeta. Teoreetiline piir ilma koondajateta „ühe siirdega" päikesepaneelidele (Shockley–Queisser piir) ütleb, et selliste päikesepaneelidega saab elektrienergiaks muundada kõige rohkem päikeseenergiast (Shockley ja Queisser, 1961). (Selle piirangu peamine põhjus seisneb selles, et tavalistel päikeseelementide materjalil (pooljuhid) on omadus, mida nimetatakse keelutsooni laiuseks, ja mis määrab footonite jaoks sellise energia, mida materjal kõige efektiivsemalt elektrienergiaks muundab. Päikesevalguses on väga erinevate energiatega footoneid; footoneid, mille energia on väiksem kui keelutsooni laius, ei kasutata üldse; footoneid, mille energia on keelutsooni laiusest suurem, küll neelatakse, aga see osa nende energiast, mis ületab keelutsooni laiust, läheb kaotsi.)

Joonis 6.17: Osa Shockley ja Queisser’s selgitusest selle kohta, miks lihtsate päikesepaneelide kasutegur ei saa olla suurem kui . Vasakul: keskpäevase päikesevalguse spektert. Vertikaalne telg näitab võimsustihedust eV kohta konkreetses spektri vahemikus. Spektri nähtav piirkond on tähistatud värvitud taustaga. Paremal: ühe 1,1 eV laiuse keelutsooniga päikesepaneeli poolt kinni püütud valgus on tähistatud punasega. Keelutsooni laiusest väiksema energiaga footonid lähevad kaotsi. Osa keelutsooni laiusest suurema energiaga footonite energiast läheb samuti kaotsi; näiteks iga 2,2 eV footoni energiast läheb kaotsi pool. Lisanduvad veel kaod, mille põhjuseks on päikesepaneelis laengute rekombineerumisel tekkiv kiirgus. 

Koondajad (läätsed või peeglid) vähendavad fotoelemendi hinda (vati kohta) ja tõstavad nende kasutegurit. Shockley–Queisser piir kondajatega päikesepaneelidele on . Ainus võimalus Shockley–Queisser piiri ületamiseks on ehitada udupeeneid fotoelemente, mis jagavad valguse erinevate lainepikkustega osadeks ja töötlevad iga sellist osa selleks sobiva keelutsooni laiusega päikeseelemendis. Selliseid päikeseelemente nimetatakse mitme keelutsooniga päikeseelementideks. Hiljuti anti teada, et mitme keelutsooniga päikeseelementidega on saavutatud umbes 40% kasutegur. [2tl7t6], www.spectrolab.com. 2007. a juulis raporteeris Delaware'i Ülikool 0-kordse kooondamise juures kasutegurit [6hobq2], [2lsx6t]. 2008.a. augustis raporteeris NREL -kordse kooondamise juures kasutegurit [62ccou]. Veidral kombel nimetatakse mõlemaid neid tulemusi efektiivsuse maailmarekorditeks. Milliseid mitme keelutsooniga seadmeid täna turult leiab? Uni-solar müüb õhukest (thin-film) kolme keelutsooniga (maksimum) päikesepaneelid. See tähendab, et päikesepaiste korral on efektiivsus vaid .

Joonis 6.5: PV andmed. Andmed ja foto: Jonathan Kimmitt.

Heliodynamics –www.hdsolar.com. Vt joonis 6.19.

Sarnaseid süsteeme teeb Arontis: www.arontis.se.

Päikesefarm Muhlhausenis, Bavaarias. Oodatakse, et see hektaril laiuv päikesefarm hakkab andma ( päevas). New York’i Stillwell avenüü metroojaama katusekuplisse on integreeritud amorfne räni thin-film päikeseelement, mis annab (Fies et al., 2007). 140 aakril laiuv Nellise päikesefarm valmis 2007.a detsembris ja peaks andma aastas. See on [5hzs5y]. Serpa päikesejõujaamas (Serpa Solar Power Plant Portugal, „maailma kõige võimsamas päikesefarmis” [39z5m5] [2uk8q8]) on 60 hektarit ( ehk ) päikest jälgivaid paneele, millest loodetakse aastas, st keskmiselt . See teeb pindalaühiku kohta .

Et saada Suurbritannias inimese kohta, oleks meil vaja korda nii palju päikeseelemente, kui neid on kokku kogu maailmas. Et saada Suurbritannias oleks meil vaja keskmist võimsust , mis nõuab maksimaalset võimsust . 2007.a lõpus oli kogu maailmas installeeritud päikeseelementide maksimaalne võimsus ; igal aastal lisandub umbes aastas ...

... Ühendkuningriikide palistamine päikesefarmidega ei tundu enam mõistlikuna väga paljudest aspektidest lähtudes. Peamine põhjus, miks mulle tundub, et selline palistamine ei tundu mõistlik, on see, et brittidele meeldib kasutada oma maad põllupidamiseks ja puhkuseks, mitte päikesepaneelide kasvatamiseks. Teiseks põhjuseks võib olla hind. See raamat ei räägi majandusest, kuid annan siin mõned numbrid. Kui vaadata Bavaaria päikesefarmi hinnalipikut, siis tootmiseks inimese kohta tuleb maksta €91000  inimese kohta; kui see jõujaam töötaks aastat ilma lisakulutusteta, oleks elektri hind €0,25 kWh kohta. Edasine lugemine: David Carlson, BP solar [2ahecp].

Suurbritannia inimesed viskavad ära umbes toitu inimese kohta päevas. Allikas: Ventour (2008).

Joonis 6.10. USA-s annab ilma lämmastikväetisteta kasvatatud siidpööris kuivatatud massi umbes 24 t/ha/a. Suurbritannias on see number . Kuiva siidpöörise kogukütteväärtus on , nii et Suurbritannia toodang vastab võimsustihedusele . Allikas: Heaton et al. (2004) ja [6kqq77]. Selline toodang on saavutatav ainult pärast kolme aastat segamatut kasvatamist.

Euroopa kõige suurema kasuteguriga taim muundab päikeseenergia süsivesikuteks -kasuteguriga, millest järeldub, et me võiksime taimedelt saada . Madalatel valguse intensiivsustel annavad parimad Suurbritannia taimed hästi väetatud põldudel (Monteith, 1977) efektiivsuseks , kuid kõrgematel valguse intensiivsustel nende kasutegur langeb. Turkenburg (2000) ja Schiermeier et al. (2008) andmetel on päikeseenergia biomassi energiaks muundamise kasutegur vähem kui .

Joonis 6.19: Soojust ja elektrit koos tootev paneel firmalt Heliodynamics. pindalaga reflektor (see on veidi suurem, kui kahekordse bussi külg) annab kuni soojust ja elektrit. Päikeselistes riikides suudab üks selline seade anda umbes soojust ja elektrit. Selline võimsus vastab keskmisele soojusenergia voole ja elektrienergia voole (seadme ruutmeetri kohta); need vood on sarnased tavaliste päikesepaneelide ja päikeseelementideha, kuid Heliodynamicsi valgust koondav disain on odavam, sest enamus paneelist on lihtsalt klaasplaat. Võrdluseks: keskmise Euroopa inimese energiatarbimine on .

Annan siin mõned allikad, mis toetavad mu hinnangut taimedelt saadava energia kohta. The Royal Commission on Environmental Pollution hindab Suurbritannias potentsiaalselt energiataimedelt saadavaks võimsuseks (Royal Commission on Environmental Pollution, 2004). Kuningliku Seltsi biokütuste dokumendi (Royal Society working group on biofuels, 2008) tipus asub siidpööris, mis annab umbes keemilist võimsust.

UNDP poolt välja antud Maailma Energiahinnangus (World Energy Assessment) kirjutab Rogner (2000): „Oletades efektiivsusega elektrienergiaks muundamist ja kuivatatud massi tonni hektari kohta aastas, vajaksime taimekasvatust, et saada ühe megavati installeeritud võimsuse ekvivalent, mis töötab tundi aastas.” See annab pinnaühiku kohta . ( tähendab vatti elektrivõimsust.)

Energy for Sustainable Development Ltd (2003) hinnangul on energiavõsast võimalik saada ühes aastas tonni kuiva puitu hektari kohta, mis vastab energiatihedusele . (Kuiva puidu kütteväärtus on kilogrammi kohta.)

Archer ja Barber (2004) andmetel on terve lehe otsene kasutegur kuni , aga tänapäevaste energiataimede pikaajaline energia salvestamise efektiivsus on . Archer ja Barber hinnangul on geneetilise modifitseerimisega võimalik taimede energia salvestamise efektiivsust suurendada. See kehtib eriti C4 kategooria taimede kohta, millel on looduslikult välja arenenud efektiivsemad fotosünteesi rajad. C4 kategooria taimi leiab peamiselt troopikas ja need kasvavad hästi kõrgete temperatuuride juures; need ei kasva madalamal temperatuuril kui . C4 taimed on näiteks suhkruroog, mais, sorgo, sõrmhirss ja vitshirss. Zhu et al. (2008) arvutavad, et päikeseenergia biomassiks muundamise efektiivsuse teoreetiline piir on C3 fotosünteesis ja tänasel 380 ppm kontsentratsioonil atmosfääris. Nad väidavad, et kõrgeim saavutatud päikeseenergia muundamise efektiivsus C3 ja C4 taimedel on vastavalt ja ; ja Boyer (1982) andmetel on põhiliste taimede keskmine energiamuundamise efektiivsus Ameerika Ühendriikides 3 või 4 korda madalam kui rekordtase (st umbes efektiivsus). Üks põhjuseid, miks taimed seda maksimaalset efektiivsust ei saavuta, on see, et need ei suuda ära kasutada kogu neile langeva ereda päikesevalguse energiat. Mõlemad need artiklid (Zhu et al., 2008; Boyer, 1982) arutlevad efektiivsemate taimede geneetilise aretamise väljavaateid.

Joonis 6.11. Sellel joonisel esitatud numbrid pärinevad järgmistes teadustöödest: Rogner (2000) (puidu, rapsi, suhkruroo ja troopiliste taimede koguenergia toodang); Bayer Crop Science (2003) (raps biodiisliks); Francis et al. (2005) ja Asselbergs et al. (2006) (jatropha); Mabee et al. (2006) (suhkruroog, Brasiilia); Schmer et al. (2008) (vitshirss, väiksemõõdulised rohumaad USA-s); Shapouri et al. (1995) (vili etanooliks); Royal Commission on Environmental Pollution (2004); Kuningliku Seltsi biokütuste töörühm (2008); Energy for Sustainable Development Ltd (2003); Archer ja Barber (2004); Boyer (1982); Monteith (1977).

Isegi kuiva puidu põletamisel heas katlas kaob soojusest korstnasse.  Allikad: Kuningliku Seltsi biokütuste töörühm (2008); Royal Commission on Environmental Pollution (2004).

Soojendamine ja jahutamine
Soojendamine ja jahutamine
Joonis 7.1: Terve hunnik uusi majasid.

Selles peatükis uurime kui suur võimsus kulub meie ümbruskonna temperatuuri kontrollimiseks  - kodus ja tööl - ja meie toidu, joogi, pesu ja mustade nõude soojendamiseks ja jahutamiseks.

Koduse vee soojendamine

Arvatavasti on kodudes suurimateks veetarbijateks vannid, duššid ning nõude ja riiete pesemine, sõltuvalt teie elustiilist. Hindame kõigepealt energiat, mis kulub ühe vannitäie kuuma vee soojendamiseks.

Joonis 7.2: Vanni vesi.

Vannivee ruumala on liitrit. Ütleme, et vannivee temperatuur on  ja majja tuleva vee temperatuur on . Vee soojendamiseks kulutavat energiat mõõdab vee soojusmahtuvus, mis on  liitri ja  kohta. Nii et vannivee soojendamiseks  võrra kulub

Seega on vaja vanni võtmiseks kulutada . Võrdluseks: dušši all käimisele ( liitrit) kulub umbes .

Potid ja pliidid

Joonis 7.3: Soojendava ja jahutava seadme võimsus.

Suurbritannia on tsiviliseeritud riik ja selle kodudesse jõuab -voldine elektrivarustus. Nii saame me mitu liitrit vett kannus vaid mõne minutiga keema ajada. Selliste kannude võimsus on . Miks ? Aga sellepärast, et see on maksimaalne võimsus, mis on võimalik saada -voldise pingega maksimalse lubatud voolu ehk  ampri juures. Riikides, kus on -voldine elektrivarustus, võtab kannu tee keema ajamine kaks korda rohkem aega.

Kui majapidamises on kann sisse lülitatud  minutiks päevas, annab see keskmiseks energiatarbeks  päevas. (Järgnevas paaris näites arvestan kahe inimesega, kui ütlen „majapidamise kohta".)

Ühe väikese elektripliidi plaadi võimsus on samasugune kui rösteril: . Suure võimsusega plaadid annavad . Kui te kasutate kahte elektripliidi plaati täisvõimsusel pool tundi päevas, vastab sellele  päevas.

Mikrolaineahjude võimsus on tavaliselt kirjutatud selle esiküljel: minu oma kohta on näiteks kirjas , kuid tegelikult tarbib see umbes . Kui te kasutate mikrolaineahju  minutit päevas, siis annab see  päevas.

Tüüpiline ahi neelab rohkem: umbes , kui see on täis. Kui te kasutate ahju üks tund päevas ja pool sellest ajast täisvõimsusel, siis annab see  päevas.

Kuumad riided ja kuumad nõud

Nii pesumasin, nõudepesumasin kui ka pesukuivati kasutavad täisvõimsusel töötades umbes .

Joonis 7.5: Kodus ja tööl kasutatavale kuumale veele kuluv võimsus – sisaldab vanne, dušši all käimist, riiete pesemist, ahjusid, veekeetjaid, mikrolaineahjusid ja nõudepesumasinaid – on umbes päevas inimese kohta. Värvisin selle kasti heledaks, sest siin saaksime kasutada madala klassiga soojusenergiat.

Pesumasin kasutab umbes  liitrit vett pesukorra kohta, selleks kulub umbes  energiat, kui temperatuur on seatud  . Kui me kasutame pesukuivati asemel pesukuivatuskappi, on vee aurustamiseks ikkagi vaja energiat  –  asemel ligikaudu  ühe pesukorra kohta.

Võttes kokku kõik need sooja vett puudutavad hinnangud tundub mulle, et üsna lihtne on ära kasutada umbes  päevas inimese kohta.

Kuum õhk kodus ja tööl

Joonis 7.6: Suur elektriradiaator: .

Aga millele kulub rohkem võimsust, kas vee ja toidu soojendamisele või hoonetes radiaatoritega õhu soojendamisele? 

Soojale õhule kuluva kuluva energia hindamiseks võime ette kujutada, et hooneid soojendatakse elektriradiaatoritega, kuna nende võimsused on meile harjumuspärasemad. Väikese elektriradiaatori võimsus on (24kWh ööpäevas). Talvel võite te vajada ühte sellist inimese kohta. Suvel ei ühtegi. Seega võime hinnanguliselt öelda, et keskmine inimene vajab sooja õhu tootmiseks  päevas. Aga enamus inimesi tarbivad rohkem kui need vajavad, hoides soojana samaaegselt mitut ruumi (näiteks kööki, elutuba, koridori ja vannituba). Seega peaksime usutava numbri saamiseks korrutama selle numbri kahega: 24kWh inimese kohta päevas.

Joonis 7.7: Kuum õhk kokku – nii kodus kui töö juures – umbes inimese kohta päevas.

Selle peatüki lisapeatükk Kütmine II sisaldab rohkem infot selle kohta, kuhu soojus ehitistes läheb: see mudel lubab ennustada kokkuhoidu, mille saame termostaati külmemaks reguleerides, vanu aknaid kahekordselt paigaldades jne.

Välisõhu soojendamine ja teised luksused

Järjest kasvab trend kasutada infrapunasoojendeid välisõhu kütmiseks. Tüüpilise infrapunasoojendi võimsus on 15kW. Nii et kui te kasutate iga päev ühte sellist mõne tunni jooksul, kulutate te lisaks päevas.

Tagasihoidlikum luksus on elektritekk. Kahekohalise voodi elektriteki võimsus on 140W; selle üheks tunniks sisse lülitamine kulutab 0,14kWh.

Jahutamine

Külmik ja külmuti

Lisaks vee ja õhu soojendamisele kontrollime me ka oma muidu soojadesse ruumidesse pressitud külmade kappide temperatuuri. Minu joonisel 7.3 kujutatud külmutiga külmkapp kasutab keskmiselt 18W – see teeb umbes .

Õhukonditsioneer

Õhu konditsioneerimist loetakse hädavajalikuks kõigis riikides, kus temperatuur tõuseb üle  ja selline temperatuuri kontrollimine võib olla väga energiakulukas. Kuid raamatu selles osas räägime me Suurbritannia energiatarbimisest, kus õhutemperatuurid ei nõua õhu jahutamist (joonis 7.8).

Joonis 7.8: Päevased (punane joon) ja öised (sinine joon) õhutemperatuurid Cambridge'is 2006.a.
Joonis 7.9: Jahutamine kokku – koos külmkapi (külmik/külmuti) ja mõningase suvise õhu konditsioneerimisega – .

Ökonoomne viis õhu konditsioneerimiseks on kasutada õhk-õhk soojuspumpa. Ühele ruumile arvestatud aknale paigaldatav konditsioneeri kasutab  elektrienegiat ja annab (läbi soojusvaheti) 2,6kW jahutust. Et hinnata, kui palju energiat võidakse Ühendkuningriikides selleks kasutada, eeldasin, et inimesed kasutavad sellist õhu konditsioneerimist tundi päevas  päeval aastas. Sellistel päevadel kasutab konditsioneer  elektrienergiat. Keskmine tarbimine terve aasta kohta on siis .

Selles peatükis kasutan jahutamisele kuluva energia hinnangut  inimese kohta, kuhu on sisse arvatud õhu konditsioneerimine ja kodune külmkapp. Me jahutame toitu ka selle teekonnal põllult ostukorvi. Sellele kuluvat energiat hindan ma hiljem, peatükis „Asjad".

Soojendamine ja jahutamine kokku

Meie ligikaudne hinnang selle kohta, kui palju üks inimene võiks soojendamisele ja jahutamisele kasutada energiat, on  inimese kohta ja see sisaldab kodu, töökohta ja toidu valmistamist ( soojale veele,  soojale õhule ja  jahutamisele).

Tõestus sellele, et niisugune hinnang on enam-vähem õige ja on pigem alla hinnatud, tuleneb mu oma kodusest gaasi kasutamisest, mille keskmine üle  aasta on   päevas (joonis 7.10). Varem ma arvasin, et olen üsna säästlik tarbija, kuid tegelikult ma oma energiatarvet ei jälginud. Peatükis Nutikam kütmine räägin ma, kui palju energiat ma suutsin säästa, kui hakkasin oma energia tarbimist jälgima.

Joonis 7.10: Minu kodune kumulatiivne gaasitarbve kilovatt-tundides aastatel 1993 – 2005. Iga aasta graafiku kohal on number, mis näitab keskmist energia tarbimist päevas.

Kuna soojendamine on meie tarbimise tulbas suur komponent, siis võrdleme oma hinnanguid kontrolliks statistikaga. Üle riigi oli kodune keskmine energiakulu küttele, veele ja toidu valmistamisele 2000. aastal  päevas inimese kohta ja teenuste sektoris kulutati küttele, jahutamisele, toitlustamisele ja soojale veele . Töökoha küttele kuluva energia hinnanguks võtame Cambridge'i Ülikooli 2006-2007 gaasitarbimine:  töötaja kohta.

Liites need kolm numbrit kokku saame teise arvamuse meie riigis soojusele kuluvale energiale:  inimese kohta, eeldades, et Cambridge'i Ülikool on tavaline töökeskkond. Tore, see on kindlustunnet sisendavalt lähedal meie esialgsele hinnangule .

Joonis 7.11: Kütmine ja jahutamine – umbes 37 ühikut päevas inimese kohta. Ma ei varjutanud seda kasti, kuna see esindab energiat, mida on võimalik saada madala klassi soojusenergiast.

Märkused ja edasine lugemine 

Tüüpiline ahi neelab rohkem: umbes . Loomulikult eksisteerib ahjude võimsuste vahemik. Paljude ahjude keskmine võimsus on  või . Tippklassi ahjud võivad kasutada ka tervelt 6kW6kW6kW. Näiteks Whirlpool AGB 487/WP 4 Hotplate Electric Oven Range omab  ahju ja nelja  pliidiplaati.

www.kcmltd.com/electric oven ranges.shtml

www.1stforkitchens.co.uk/kitchenovens.html

Pesu kuivatamiseks on vaja ligikaudu  ühe pesukorra kohta. Ma arvutasin selle välja oma pesu kaaludes: üks masinatäis pesu kaalub kuivana , pärast pesu minu Bosch pesumasinas  rohkem (isegi pärast head Saksa tsentrifuugimist). Vee aurustumissoojus  juures on umbes . Keskmise väärtuse saamiseks eeldasin, et üks inimene peseb ühe masinatäie pesu iga kolme päeva järel ja et see neelab aasta külmal poolel väärtuslikku toasooja. (Suvel on kuivatuskapi kasutamine samaväärne pisukese õhu konditsioneerimisega, sest vee aurustamine jahutab toas õhku.)

Üle riigi oli kodune keskmine energiakulu  päevas inimese kohta; teenuste sektoris kulutati . Allikas: Dept. of Trade and Industry (2002a).

Cambridge'i ülikoolis oli 2006-2007 gaasi tarbimine  töötaja kohta. Gaasi ja kütteõli tarbimine Cambridge'i Ülikoolis (v.a. kolledžihooned) oli 2006–2007.a. . Ümardasin ülikooli kohaks, kus töötab inimest ( töölist ja  kraadiõppurit). Muuseas, selle elektritarbimine oli . Allikas: University utilities report.

Hüdroelekter
Joonis 8.1: Nant-y-Moch tamm, mis on osa Walesis asuvast hüdroelektritaristust. Foto: Dave Newbould, www.origins-photography.co.uk.

Hüdroelektri tootmiseks on vaja kõrgusi ja vihma. Hinnakem vihma koguenergiat kuni selle langemiseni meretasemeni.

Jagagem Suurbritannia kaheks: madalamad ja kuivemad osad, mida ma nimetan madalmaadeks" ning kõrgemad ja niiskemad osad, mida ma nimetan kõrgmaadeks". Valin nende kahe piirkonna esindajateks Bedfordi ja Kinlochewe.

Võtame kõigepealt ette madalmaad. Vihma gravitatsioonijõust põhjustatud võimsuse hindamiseks korrutame sademete hulga Bedfordis ( aastas) vee tiheduse (), gravitatsioonikiirenduse () ja madalmaade tüüpilise kõrgusega merepinna suhtes (umbes ). Ühikpindala kohta tuleb võimsuseks . See on võimsus sellise maapinna ühiku kohta, kus see vihm sajab.

Kui korrutame selle numbri inimese kohta antud ruutmeetrite arvuga (, eeldades, et madalmaad on ühtlaselt jaotatud kõigi miljoni briti vahel), saame keskmiseks ühe inimese kohta tulevaks võimsuseks päevas. See on absoluutne võimalik hüdroelektri võimsuse maksimum, mis eeldab, et kõik jõed ehitatakse tamme täis ja iga veetilk kasutatakse perfektselt ära. Reaalsuses me ehitame tammi vaid juhul, kui see võimaldab vee langemist arvestatavalt kõrguselt ja tammi ees vett koguv pindala on väiksem kui terve riik. Suurem osa veest aurustub enne, kui jõuab turbiini lähedusse ja ükski hüdroelektriline süsteem ei kasuta ära kogu vee potentsiaalset energiat. Jõuame seega madalmaade hüdroenergia suhtes kindlale järeldusele. Inimestele võib meeldida ehitada väikeseid jõeäärseid hüdroelektrilisi süsteeme, kuid madalmaades ei saa sellised süsteemid anda rohkem, kui päevas inimese kohta.

Joonis 8.3: Hüdroelekter

Vaatame nüüd kõrgmaid. Kinlochewe on vihmasem koht: seal sajab sademeid aastas, neli korda rohkem kui Bedfordis. Kõrguste vahed on samuti suuremad – suured alad asuvad kõrgemal kui merepinnast. Nii et mägistes piirkondades võime arvestada 12 korda suurema võimsusega ruutmeetri kohta. Algne võimsus ühikpindala kohta on umbes . Kui kõrgmaad jagavad suuremeelselt oma hüdroelektrit ülejäänud Suurbritanniaga (mis teeks inimese kohta), saaksime võimsuse ülemiseks piiriks umbes päevas inimese kohta. Sarnaselt madalmaadega oleme siin saanud ülemise piiri, mis kehtiks vaid siis, kui aurustumine oleks keelatud ning iga tilk oleks perfektselt ära kasutatud.

Milline võiks olla meie hinnang mõistlikule, praktikas saavutatavale võimsusele? Olgu selleks esialgsest võimsusest – päevas ja ümmardagem seda üles, et arvestada ka madalmaade toodangut: päevas.

Tegelik hüdroelektri tootmise võimsus Ühendkuningriikides on täna inimese kohta, st saavutamine nõuaks hüdroelekti tootmise seitsmekordset kasvu.

Märkused ja edasine lugemine

Sademete statistika pärineb BBC ilmakeskusest.

Joonis 8.4: vesiratas.

Algne võimsus ühikpindala kohta on umbes . Me võime seda hinnangut kontrolliks võrrelda tegeliku võimsustihedusega Loch Sloy hüdroelektri taristus, mis valmis 1950. aastal (Ross, 2008). Loch Sloy kogumispiirkond on umbes ; sademete hulk on ligikaudu aastas (seda on pisut rohkem kui Kinlochewe ); elektri tootmine oli 2006. aastal , mis vastab võimsustihedusele kogumisala ruutmeetri kohta. Loch Sloy’s pindala on ligikaudu , nii et hüdroelektrijaama enda pindala kohta saame . Seega toimivad Loch Sloy'sse vett toovad mäed, akveduktid ja tunnelid kui  -kordsed võimendid.

Tegelik hüdroelektri tootmise võimsus Ühendkuningriikides on täna inimese kohta. Allikas: MacLeay et al. (2007). 2006.a. tootsid suured hüdroelektrijaamad (jaama maksimaalne võimsus on ); väikesed hüdroelektrijaamad tootsid () (võimsus ).

1943. aastal, mil hüdroelektri tootmine kiiresti kasvas, hindasid Põhja-Šotimaa Hüdroelektri Ühingu insenerid Šotimaa kõrgemate alade potentsiaalseks tootevõimsuseks elektrijaamas aastas – see vastaks inimese kohta (Ross, 2008).

Glendoe, esimene uus suur hüdroelektri projekt Suurbritannias alates 1957. aastast, lisab ja sellelt oodatakse aastas. Glendoe kogumispiirkond on , nii et selle võimsustihedus on kogumispiirkonna ruutmeetri kohta. Öeldakse, et Glendoe on „terve Glasgow varustamiseks piisavalt suur,” kuid kui me jagame need aastas kõigi Glasgow elanike vahel ( inimest), siis saame me ainult inimese kohta. See on vaid inimeste keskmisest elektritarbest, mis oli inimese kohta. -kordne liialdamine tuleneb Glendoe maksimaalse, mitte keskmise, võimsusega arvestamisest - see aga on korda väiksem; ja arvestades vaid kodusid, mitte Glasgow kogu elektritarbimist.

Valgus
Valgus

Valgus kodus ja tööl

Heledaimad kodus kasutatavad elektripirnid tarbivad ja öökapilambid . Vanamoodsates hõõglampides muundub enamus võimsusest valguse asemel aga hoopiski soojuseks. Päevavalguslambid on suutelised vaid veerandiga sellest võimsusest tootma hõõglampidega sama palju valgust.

Kui palju tarbib valgust mõõdukalt kulutav inimene? Minu umbkaudne, kaheliikmelise kodu kogemusel põhinev hinnang, kus kasutatakse segamini madala ja kõrge energiatarbimisega elektripirne, on vastavalt  päevas ja päevas inimese kohta. Ma eeIdan, et iga inimene käib ka tööl, kus ta jagab kolleegidega sarnast valgust ning võib minu arvamuse järgi kasutada inimese kohta. Nii saame ümmardatud numbri inimese kohta.

Tänavavalgustus ja valgusfoorid

Kas peaksime korrektse valguse kasutamise hinnangu saamiseks arvestama ka avalikku valgustust? Tänavavalgustus kasutab ligikaudu inimese kohta päevas ja valgusfoorid ainult inimese kohta – mõlemad need numbrid võib kodus ja töökohas kasutatava valguse kõrval oma väiksuse pärast arvestamata jätta. Aga teised avaliku valgustuse vormid, nagu hästi valgustatud tähistused ja reklaamtahvlid? Neid on vähem kui tänavavalgusteid ja kuna juba tänavavalgustus ei pääsenud pildile, siis me oma koguhinnangut inimese kohta ei muuda.

Joonis 9.1: Valgustus – päevas inimese kohta.
Tabel 2.6 Koduses majapidamises valgustuseks kuluv elektrienergia
SeadeVõimsusAeg päevasEnergia päevas kodu kohta
10 hõõglampi
10 säästulampi


Tuled liikluses

Mõnedes riikides peavad juhid autodel tuled põlema alati, kui auto liigub. Kuidas näeb see lisavõimsus välja võrreldes võimsusega, mis kulub autode ringi veeretamisele? Ütleme, et autol on neli hõõglampi, koguvõimsusega . Elektri nende lampide jaoks toodab efektiivsusega töötava mootori külge ühendatud efektiivsusega töötav elektrigeneraator, nii et vajalik võimsus on . Võrdluseks ütleme, et tavaline auto, mis liigub keskmise kiirusega ja kulutab kilomeetri läbimiseks ühe liitri bensiini, arendab keskmist võimsust . Seega tähendab tulede põlemas hoidmine täiendavat energiakulu.

Kuidas on aga elektriautodega? Tüüpilise elektriauto võimsus on ligikaudu . Seega suurendab lisandumine selle tarvitatavat võimsust võrra. Lisanduv võimsus oleks väiksem, kui kasutaksime autodes valgusdioode, aga kui jätkaksime veel selle teema arutamist, siis jõuaksime raskekujulise „iga natukene loeb" juhuni.

Säästulampide majandus

Üldiselt ma hoidun majandusest rääkimast, aga seoses elektrilampidega tahaksin teha ühe erandi. Osrami võimsusega säästulamp annab väidetavalt samasuguse valgusjõu kui hõõglamp. Enamgi veel: selle eluiga väidetakse olevat tundi (või „ aastat,” iga päev tundi). Teiselt poolt: tavaline hõõglamp kestab tundi. Nii et -aastast perioodi silmas pidades on meil järgnevad valikud (joonis 9.3): osta hõõglampi ja  elektrienergiat (mis maksab ligikaudu £); või osta üks säästupirn ja elektrienergiat (mis maksab ligikaudu £).

Joonis 9.2: Kulud hõõglambile, kui kasutame seda kolm tundi päevas, võrrelduna sellega, kui asendaksime selle kohe Osram Dulux Longlife Energy Saver säästulambiga (pildikastis). Eeldused: elektrienergia maksab kilovatt-tunni kohta; hõõglambi vahetamine uue vastu maksab kord; säästulamp maksab £. (Jah, poest leiab ka odavamaid, aga joonis näitab, et asi tasub end ära ka £ hinna korral.)

Kas enne vanade pirnide uute vastu vahetamist tasub oodata kuni need läbi põlevad?

Tundub raiskamisena, kas pole? Keegi on kulutanud nende hõõglampide tootmiseks ressursse; kas ei oleks mõistlik see hõõglamp lõpuni kulutada ja nii see investeering ikkagi täies ulatuses rahaks teha? Majanduslik vastus on siin selge: vana hõõglambi kasutamine on raha raiskamine. Kui teil on võimalik leida sobilik asendus, siis tehke seda kohe.

Kuidas suhtuda säästulampides sisalduvasse elavhõbedasse? Kas LED-lambid on paremad kui päevavalguslambid?

Joonis 9.3: Philipsi ja Omicron LED lamp.

Teadlased ütlevad, et LED-lambid saavad varsti säästulampidest efektiivsemateks. Valgusallikate efektiivsust mõõdetakse luumenites vati kohta. Ma uurisin oma viimatise ostu numbreid: Philips Genie säästulambi (joonis 9.4) kiiratav valgusvoog on luumenit, mis annab efektiivsuseks luumenit vati kohta; tavaline hõõglamp annab luumenit vati kohta; Omicroni  lamp, mille sees on valget LED-i, annab valgusvoo luumenit, efektiivsuseks saame siis luumenit vati kohta. Nii et see LED-pirn on peaaegu sama efektiivne kui päevavalguslamp. LED-ide tööstusel on vaja veel veidi areneda. LED-ide plusspoolele tuleb kanda -tunnine eluiga, mis on kaheksa korda pikem kui säästulampidel. Selle peatüki kirjutamise ajal panen ma tähele, et www.cree.com müüb LED-e, mis annavad luumenit vati kohta. Ennustatakse, et tulevikus annavad LED-d üle luumeni vati kohta [ynjzej]. Arvan, et paari järgmise aasta möödudes on nii efektiivsuse kui ka elavhõbeda reostuse vaatekohalt parim nõuanne kasutada LED-pirne.

Müütarusaamad

Säästulampide kasutamisel ei ole mingit mõtet.  Raisatud” energia soojendab mu kodu ja ei ole raisatud.”

Sellest müüdist räägime peatükis „Tehnovidinad".

Märkused ja edasine lugemine 

Tänavavalgustus kasutab ligikaudu inimese kohta päevas... inimese kohta tuleb ligikaudu üks naatriumlamp; iga sellise lambi võimsus on ja see põleb tundi päevas. See teeb inimese kohta.

... ja valgusfoorid ainult inimese kohta. Suurbritannias on autodele ja jalakäijatele signaale andvat lampi, mis kulutavad aastas miljonit kilovatt-tundi elektrienergiat. Kui jagame miljonit miljoni inimese vahel, siis saame inimese kohta.

Valgustatud tähistusi ja reklaamtahvleid on vähem kui tänavavalgusteid

[www.highwayelectrical.org.uk]. Suurbritannias on miljonit valgustusühikut (tänavalambid, valgustatud tähised ja reklaamtahvlid). Kõigist neist ligikaudu miljonit on tänavavalgustid ja miljon on valgustatud teetähised. Valgusfoore on .

DUKES 2005. aasta andmetel on avaliku valgustuse koguenergiakulu , mis teeb inimese kohta.

efektiivsusega töötav elektrigeneraator –allikas: en.wikipedia.org/wiki/Alternator. Elektrijaamades kasutatavad generaatorid muundavad mehaanilist energiat elektrienergiaks palju suurema kasuteguriga. 

Tabel 2.7 Erinevate elektripirnide efektiivsused. Oodatakse, et LED lampide efektiivsus võiks tõusta luumenini vati kohta.
Elektripirni tüüpEfektiivsus (luumen/)
hõõglamp
halogeen
valge LED35
väike päevavalguslamp
suur päevavalguslamp
naatriumlamp (tänavavalgustus)


Tuul avamerel
Tuul avamerel

London Array tuulefarm annab kriitilise panuse ÜK taastuvenergeetika eesmärkide saavutamiseks.
James Smith, Shell UK esimees

Elektrienergia on liiga elutähtis kaup, et seda võiks kasutada tuulikute tööstuses töökohtade loomise programmis.
David J. White

Joonis 10.1: Kentish Flats – madalas avameres paiknev tuulefarm. Iga tiiviku diameeter on ja need on paigaldatud kõrguse masti otsa. Iga „” tuulik kaalub tonni ja pool sellest massist on vundamendis. Foto: Elsam (elsam.com).

Merel on tuul tugevam ja ühtlasem kui maal, nii et võrreldes maapealsete tuulefarmidega annavad avamere tuulefarmid ühikpindala kohta rohkem elektrivõimsust. Thames'i suudmes asuv Kentish Flats'i tuulefarm on ligikaudu kaugusel Whitstable'st ja Herne Bay'st, see alustas tööd 2005. aasta lõpus ja selle võimsuseks ruutmeetri kohta kavandati . 2006. aastal oli selle keskmine võimsus pindalaühiku kohta .

Eeldan järgnevas, et avamere tuuleparkide pindalaühiku kohta tuleva võimsuse mõistlik hinnang Ühendkuningriikides on ( suurem, kui maapealste tuuleparkide ).

Peaksime nüüd hindama pindala, mille tuuleparkidega katmine on ka tegelikult mõeldav. Tavapäraselt tehakse vahet madala avamere tuule ja sügava avamere tuule vahel, nagu seda on illustreeritud joonisel 10.2. Tavatarkus justkui ütleb, et ehkki madala avamere tuulepargid (sügavus väiksem kui ) on maapinnale ehitatavatest tuuleparkidest ligikaudu kaks korda kallimad, võiksid need olla mõistliku subsideerimise korral majanduslikult tasuvad ja sügava avamere tuulepargid ei tasu ennast ära. 2008. aastal oli Ühendkuningriikides vaid üks eksperimentaalne sügava avamere tuulepark, mis saatis kogu oma toodetud elektrienergia Beatrice'i nime kandvale naftaplatvormile.

Madal avameri

Briti territoriaalvetes on ligikaudu madalat avamerd, enamus sellest asub Inglismaa ja Walesi rannikul. See teeb kokku umbes kahe Walesi suuruse pindala.

Joonis 10.2: Ühendkuningriikide alla sügavusega (kollane) ja kuni sügavusega (lilla) territoriaalveed. Andmed: DTI Atlas of Renewable Marine Resources. © Crown copyright.

Keskmine võimsus, mida on võimalik saada madalat avamerelt olukorras, kus see hõivaks kogu kõnealuse territooriumi, oleks või inimese kohta. See aga oleks  laevandus- ja kalandustööstusele vaevalt vastuvõetav ning suur osa neist vetest jäävad ilmselt tuuleparkidele kättesaamatuks. Pakun, et me arvestame ühe kolmandikuga sellest territooriumist (aga palun lugege ka märksa pessimistlikumat vaadet peatüki lõpus olevate märkuste all!). See teeb maksimaalseks mõistlikel tingimustel madalalt avamerelt saadavaks võimsuseks inimese kohta.

Tahaksin siinkohal rõhutada meie hinnangus esineva pindala suurust  – kaks kolmandikku Walesi – et saada inimese kohta . Kui võtame kogu Suurbritannia rannajoone (pikkus: ) ja ääristaksime selle laiuse tuulikute ribaga, oleks selle riba pindalat . See on pindala, mille peaksime inimese kohta saamiseks tuulikutega täitma. Veel teisiti sõnastades: inimese kohta saamiseks vajaksime ” tuulikut, see teeb üle  kilomeetri ühtlaselt jaotatuna tuulikut kilomeetri kohta.

Avamerel on tuuleenergiat keeruline kätte saada, sest merevesi paneb asjad roostetama. Suures Horns Reef tuulepargis Taanis tuli juba pärast kuud merevees olekut kõik tuulikut lahti võtta ja remontida. Kentish Flats tuulepargi tuulikutel tekkisid probleemid käigukastidega ja kolmandik nendest tuli välja vahetada juba esimese kuu jooksul.

Sügav avameri

kuni sügavusega merd on meil ligikaudu – see on sama suur pindala kui Šotimaa. Eeldades jälle pindalaühiku kohta võimsuseks , saame „sügava” avamere tuuleparkide teoreetiliseks võimsuseks ehk inimese kohta, kui täidaksime kogu selle territooriumi tuuleparkidega. Aga jällegi: meil on vaja laevanduskoridore. Eeldame ka siin, et me saame tuulikutega katta kolmandiku sellest territooriumist; see ala oleks siis suurem kui Wales ja enamus sellest asuks rannikust kaugemal kui . Järeldus: kui kataksime tuuleparkidega ala, mille pindala oleks sama suur kui laiune riba mööda kogu rannikut, saaksime sügava avamere tuuleparkidest inimese kohta. Jah, see on tohutu võimsus, kuid see pole kaugeltki sama suur kui on tarbimine. Ja me ei ole tuule muutlikkusest veel rääkinudki. Pöördume selle küsimuse juurde tagasi peatükis Kõikumised ja salvestamine.

Ma lisan selle põhimõtteliselt võimaliku panuse tootmise tulpa klausliga, et ekspertide arvates on sügava avamere tuul liiga kallis.

Joonis 10.3: Avamere tuuleenergia

Mõned võrdlused ja hinnad 

Kuidas edeneb meie võidujooks tarbimise ja tootmise vahel? Pärast madala ja sügava avamere tuule lisamist on rohelisel tulbal edumaa. Tahaksin siiski, et paneksite tähele ühte erinevust: palju lihtsam on lisada hagu tarbimise tulle kui kasvatada tootmise tulpa. Praegu kirjutades ma tunnen pisut jahedust, nii et ma lähen termostaadi juurde ja keeran sooja juurde. Minu jaoks on väga lihtne tarbida päevas rohkem. Aga taastuvenergiaallikatest inimese kohta päevas välja pigistamiseks on vaja keskkonna industrialiseerimist mahus, mida on raske ette kujutada.

Vajaksime Suurbritannias inimese kohta päevas tootmiseks miljonit tonni betooni ja terast – ühe tonni iga inimese kohta. Maailma aastane terasetoodang on ligikaudu miljonit tonni, mis teeb iga maailmakodaniku kohta. Teise maailmasõja käigus ehitasid Ameerika laevatehased Liberty laeva, neist igaüheks kulus 7000 tonni terast – see teeb kokku miljonit tonni ehk tonni ühe ameeriklase kohta. Nii et miljoni tuulikute ehitamine ei ole võimatu; aga ärge kujutage ette et see on lihtne. Sellise hulga tuuliku ehitamine oleks sama suur saavutus kui Liberty laevade ehitamine.

Võrdluseks: Ühendkuningriikides inimese kohta päevas tuumaenergia tootmiseks on vaja  miljonit tonni terast ja miljonit tonni betooni. Võime seda miljonit tonni võrrelda täna juba eksisteeriva fossilkütuste taristuga Põhjameres (joonis 10.4).

Joonis 10.4: Põhjapoolses Põhjamere Ühendkuningriikide sektoris asuv platvorm Magnus sisaldab tonni terast. 2000. aastal andis see platvorm miljonit tonni gaasi ja naftat – võimsusega . Platvorm maksab £ miljardit. Fotod Terry Cavner.

1997.aastal sisaldasid rajatist ja torusid Põhjameres Ühendkuningriikide vetes miljonit tonni terast ja betooni. Äsja ehitatud Langeled'i gaasitoru Norrast Suurbritanniasse, milles transporditava gaasi energiavõimsus on (), vajas veel miljoni tonni terast ja miljoni tonni betooni (joonis 10.5).

Joonis 10.5: Torud Langeledi gaasijuhtme ehitamiseks. Foto Bredero–Shaw [brederoshaw.com].
 

Ühendkuningriikide valitsus kuulutas 10. detsembril 2007. aastal, et lubab ehitada  ulatuses avamere tuulevõimsust (mis toodaks Ühendkuningriikidele keskmiselt , ehk inimese kohta päevas). Seda plaani reklaamiti mõnede tuulikute tööstusega seotud isikute poolt kui „paradiisiaeda”. Läheme edasi ümmarguse numbriga inimese kohta päevas. See on üks neljandik minu madala avamere tuuleenergia tootmise hinnangust inimese kohta päevas. Sellise keskmise võimsuse saavutamiseks vajaksime umbes ” joonisel 10.1 kujutatud tuulikut (nende tootlikkus on „” kuid keskmiselt toodavad need . Ma panen jutumärgid ümber „” näitamaks, et see on maksimaalne võimsus.)

Kui palju see „” võimsuse saavutamine maksaks? „” Kentish Flats tuulepark maksis £ miljonit, nii et „” maksaks umbes £ miljardit. Üks võimalus selle £ miljardilise maksumuse mõistmiseks, mis annaks inimese kohta, on jagada see Ühendkuningriikide elanike vahel: see teeks £ inimese kohta. Muuseas, see on palju parema tehing kui mikrotuulikud. Üks katusele paigutatav mikrotuulik maksab tänasel päeval umbes £ ja toodab sealjuures isegi väga optimistliku 6m/s tuule kiiruse juures ainult . Tegelikkuses toodab selline mikrotuulik Inglismaa linnalises asukohas päevas.

Veel üks pudelikael tuulikute püstitamisel on vajadus spetsiaalsete laevade järele. tuuliku („”) püstitamiseks kümne aasta jooksul vajaksime ligikaudu kraanadega pargast. Sellised maksavad aga £ miljonit tükk, nii et vajalik on £ miljardiline lisakapitalikulutus. See ei ole arvatavasti määrav takistus juba eelnevalt mainitud £-miljardilise hinnalipiku kõrval, aga vajadus pargaste järele on kindlasti detail, mis tahab etteplaneerimist. 

Kulutused lindudele 

Kas tuulikud tapavad „tohutul hulgal” line? Tuulefarmid said hiljuti vaenuliku tähelepanu osaliseks, kui Norra kirderanniku saartel Smolas asuvad tuulikud tapsid valgesaba kotkast kuu jooksul. Ma jagan BirdLife International'i muret lindude heaolu pärast. Aga ma arvan, et ka siin on oluline numbreid vaadata. Hinnangute kohaselt tapavad tuulikud Taanis, kus elektrienergiast toodetakse tuulest, aastas  lindu. Õudus! Keelake tuulikud! Aga me teame ka, et liiklus tapab Taanis aastas miljon lindu. Kolmekümnekordne õudus! Kolmekümnekordne ajend autode keelustamiseks! Ja Suurbritannias tapetakse miljonit lindu kasside poolt (joonis 10.6).

Joonis 10.6: Aktsioonis kaotatud linnud. Taanis tuulikute ja autode poolt aastas surmatud lindude arv ja Suurbritannias kasside poolt tapetud lindude arv. Andmed: Lomborg (2001). Akendesse lendamine tapab sarnase hulga linde kui seda teevad kassid.

Kui lähtuksime vaid emotsioonidest, peaksime me tahtma elada riigis, kus ei oleks peaaegu üldse autosid ja tuulikuid, kuid kus oleks palju kasse ja linde (kus linde jahtivaid kasse jahivad võib-olla Norra valgesabakotkad, et asjad oleksid tasakaalus.) Mida ma tegelikult loodan on see, et tuulikuid puudutavad otsused tehakse ratsionaalselt kaalutledes, mitte ainult emotsioonidel põhinevalt. Võib-olla on meil tuulikuid ikkagi vaja!

Märkused ja edasine lugemine 

Thames'i suudmes asuv Kentish Flats'i tuulefarm ... , Vt www.kentishflats.co.uk. Selles on Vesta V90 tuulikut maksimaalse võimsusega ning selle keskmiseks võimsuseks arvestati (koormustegur (load factor) ). Keskmine tuule tugevus rummu kõrgusel on . Tuulikud seisavad sügavuses vees, nende omavaheline kaugus on ja need võtavad enda alla suuruse ala. Selle avamere tuulepardi keskmiseks võimsuseks arvestati seega . Tegelik keskmine võimsus oli , nii et keskmine koormustegur 2006. aastal oli [wbd8o]. Keskmiseks võimsustiheduseks annab see . North Hoyle tuulefarmil Prestatyn'is, Põhja-Walesis, oli 2006.a. suurem koormustegur, . Selle kolmkümmend -megavatist turbiini võtavad enda alla . Keskmiseks võimsustiheduseks saame seega .

...madala avamere tuulepargid võiksid olla mõistliku subsideerimise korral majanduslikult tasuvad. Allikas: Danish Wind Association, windpower.org.

...sügava avamere tuulepargid ei tasu ennast ära.

Allikas: British Wind Energy Association'i infotunni materjalid, 2005.a. september, www.bwea.com. Siiski, sügava avamere näidisprojekti raames paigaldati 2007. aastal kaks tuulikut Beatrice'i naftavälja naabrusesse, kagusele Šotimaa rannikust (joonis 10.8). Mõlema tuuliku võimsus on ja need on paigaldatud sügavusele. Rummu kõrgus: ; diameeter: . Kogu toodetud elekter tarbitakse ära naftaplatvormide poolt. Kas pole vahva! projekt maksis £ miljonit – sellist £ vati kohta (tipp) hinda saab võrrelda Kentish Flats'i £ vati kohta (£ miljonit ). www.beatricewind.co.uk

Joonis 10.8: Beatrice'i nimelise avamere tuulepargi ehitamine. Fotod: Talisman Energy (UK) Limited.

Võimalik, et ujuvad tuulikud muudavad sellist majanduslikku pilti.

Tuuleparkide ehitamiseks kasutatavad alad.

Department of Trade and Industry (2002) dokument “Future Offshore” annab tuuleparkide ehitamiseks sobilikest aladest detailse ülevaate. Tabelis on näidatud madala ja sügava veega alasid. DTI hinnangul annaksid need piirkonnad inimese kohta, kui need oleksid täielikult tuulikutega kaetud (sealhulgas madalatest ja sügavatest vetest). Aga DTI hinnang avamere tuuleenergia potentsiaalsele tootlikkusele on ainult päevas inimese kohta. Võib olla huvipakkuv kirjeldada, kuidas nad jõudsid põhimõtteliselt olemasolevast inimese kohta -ni inimese kohta. Miks on lõplik number meie hinnangust nii palju väiksem ? Esiteks, seadsid nad kolm piirangut: piirkond ei tohi rannikust asuda kaugemal kui ja vee sügavus peab olema väiksem kui ; merepõhja tõus ei tohi olla suurem kui ; mereteed, militaartsoonid, torujuhtmed ja kalastamispiirkonnad jäetakse kõrvale. Teiseks arvestasid nad sellega, et kasutusele võetakse vaid võimalikest aladest (põhjuseks merepõhja koostis ja planeerimispiirangud); nad vähendasid avalikkuse vastuvõtlikkust arvestades kõigi rannikust vähem kui miili kaugusel olevate piirkondade tootlikkust ; lisaks vähendasid nad ka rohkem kui tuulekiirusega piirkondade tootlikkust -ni, et arvestada „vaenuliku keskkonna poolt põhjustatud takistusi arendusele” ja vähendasid võrra tootlikkust piirkondades, kus tuulekiirus jääb vahemikku .

Tabel 2.8 Potentsiaalsed avamere tuuleenergia tootmise alad, kui need olesid täielikult kaetud tuulikutega (Dept. of Trade and Industry (2002b))

Piirkond

Sügavus kuni meetrit ()

Potentsiaalne tootlikkus ()

Sügavus kuni meetrit ()

Potentsiaalne tootlikkus ()

Kirdealad3300620004
Greater Wash7400149502
Thamesi suue210048502
Muu14000284500087
KOKKU27000524900094

...Kui võtame kogu Suurbritannia rannajoone (pikkus: ) ja ääristaksime selle laiuse tuulikute ribaga ... Pedandid ütleksid, et „Suurbritannia rannajoonel ei ole täpset pikkust, kuna see on fraktaalne." Jah, muidugi, on see fraktal. Aga kallid pedandid, võtke palun kaart ja pange laiune tuulikute riba ümber Suurbritannia ja te näete, et see riba on tõepoolest pikkune.

Horns Reef (Horns Rev). Selle Jutlandi lähedal asuva „" Taani tuulefarmi [www.hornsrev.dk] probleeme kirjeldatakse publikatsioonis Halkema (2006). Kui see on töökorras, on selle koormustegur ning keskmine võimsus pindalaühiku kohta .

Liberty ships – www.liberty-ship.com/html/yards/introduction.html

... sisaldasid rajatist ja torusid Põhjameres Ühendkuningriikide vetes miljonit tonni terast ja betooni. Rice ja Owen (1999).

Ühendkuningriikide valitsus kuulutas 10. detsembril 2007. aastal, et lubab ehitada  avamere tuulevõimsust... [25e59w]. ...

paradiisiaeda”. Source: Guardian [2t2vjq].

Kui palju see „võimsuse saavutamine maksaks? DTI 2002. aasta novembri andmetel maksaks avamere tuuleenergia £ kohta (/) (Dept. of Trade and Industry, 2002b). Majandusandmeid on erinevaid, aga 2007. aasta aprillis oli hinnanguline avamere tuuleenergia hind tõusnud £/ (Dept. of Trade and Industry, 2007). 2008. aasta aprilliks läks see hind isegi kõrgemaks: Shell loobus London Array ehitamisest. Seda seetõttu, et avamere tuuleenergia on nii kallis, et valitsus peab suurendama ROCide (renewable obligation certificates) arvu avamere tuuleenergia ühiku kohta. ROC on subsideerimise ühik, mida jagatakse kindlate taastuvenergia tootmise viisidele. ROCi tavaline suurus on £, ROC kohta; nii et kui hulgihind on £, siis makstakse taastuvenergia tootjatele £  kohta. Nii et ROC on küllaldane, et katta kulusd £ kohta. Samas dokumendis hinnatakse teisi taastuvenergia (medium levelized costs 2010. aastal) allikaid järgnevalt. Tuulepargid maapinnal: £; biomassi koospõletamine: £; suuremahuline hüdroenergia: £; biogaas: £; päikesepaneelid: £; laineenergia: £; loodete energia: £.

Joonis 10.9: Kentish Flats. Fotod © Elsam (elsam.com).

„Avamere tuuleparke ehitava taastuvenergia tootja Ecotricity peadirektor Dale Vince ütles, et ta toetab valitsuse [avamere tuuleparkide] plaane, aga seda vaid siis, kui need ei tule maapealsete tuuleparkide arvelt. On ohtlik mööda vaadata selle riigi fantastilistest ressurssidest... Meie hinnangul maksab Huttoni pakutud ehitamine ligikaudu  £ miljardit . Me suudaksime teha sama töö maal £ miljardi eest.” [57984r]

Tegelikkuses toodab selline mikrotuulik Inglismaa linnalises asukohas päevas. Allikas: Third Interim Report, www.warwickwindtrials.org.uk/2.html. Parimaid tulemusi saavutas Warwick Wind Trials uuringus Windsave WS1000 (see on seade), mis oli paigaldatud Daventry's kõrgusele, tootes keskmiselt päevas. Aga mõned mikroturbiinid toodavad vaid päevas – Allikas: Donnachadh McCarthy: “My carbon-free year,” The Independent, detsember 2007 [6oc3ja]. Windsave WS1000 tuulik, mida müüakse üle Inglismaa BQ poodides, võitis Housebuilder’s Bible'i  autori Mark Brinkley poolt välja antava Eco-Bollocks auhinna: „No kuulge, on aeg tunnistada, et katusele paigaldatavate tuulikute tööstus on täielik läbikukkumine. Mittetöötava leiutise sisse on pandud hulga raha. See on Noughties'i Sinclair C5.” [5soql2]. Met Office ja Carbon Trust avaldasid 2008. aasta juulis raporti [6g2jm5], mille hinnangul tasuksid väikesed kodumajapidamistesse paigaldatavad tuulikud end Ühendkuningriikides ära siis, kui need toodaksid ligikaudu . Nende hinnangul on katustele paigaldatavad tuulikud linnades rohkem kui kasutud: „paljudes linnapiirkondades ei pruugi katusele paigaldatavad tuulikud tasakaalustada seda süsinikku, mis nende tootmise, paigaldamise ja töö käigus eraldub.”

Kraanadega pargased maksavad £ miljonit tükk. Allikas: news.bbc.co.uk/1/hi/magazine/7206780.stm. Minu hinnang, et selliseid on vaja kokku tükki põhineb oletusel, et igas aastas on tööd võimaldavat päeva ja et ühe tuuliku püstitamisele kulub päeva.

Edasine lugemine: UK wind energy database [www.bwea.com/ukwed/].

Tehnovidinad
Tehnovidinad

Üks suuremaid ohte ühiskonnale on telefonilaadija. BBC News on meid selle eest hoiatanud alates 2005.aastast:

„Mõne aasta pärast lülitatakse tuumajaamad välja. Kuidas me suudame Suurbritannia tuled põlemas hoida? ... eemalda oma telefonilaadija pistikust, kui sa seda ei kasuta.

Kahjuks ei saanud Suurbritannia sõnumit kätte ja BBC oli sunnitud aasta pärast teatama:

Suurbritannia juhib energia raiskajate liigat.”

Ja kuidas see juhtus? BBC paneb i-le punkti:

ÜK tarbijatest jätab laadijad välja lülitamata.”

Joonis 11.1: Planeedihävitajad. Leia erinevused.

Viis, mil reporterid neist mustadest planeeti hävitavatest objektidest räägib, annab mõista, et need on umbes samasugused kurjuse kehastused, nagu Darth Vader. Aga kui kurjad täpselt?

Selles peatükis me selgitame välja tõe laadijate kohta. Uurime ka nende nõbusid tehnovidinate perekonnast: arvuteid, telefone ja televiisoreid. Digibokse. Modemeid. Me hindame nende poolt kasutatud võimsust ajal, mil need töötavad ja neid laetakse, aga veel mitte energiat, mis kulub nende tootmiseks – sellega tegeleme peatükis Asjad.

Tõde laadijate kohta

Kui kaasaegne telefonilaadija on vooluvõrgus ja selle külge ei ole telefoni ühendatud, tarbib see ligikaudu pool vatti. Meie eelistatud ühikutes teeb see võimsuseks päevas. Kõigi nende jaoks, kelle päevane energiatarbimine on üle , tähendab BBC nõuanne laadijad seinast välja tõmmata võimalikku sajandikprotsendilist kokkuhoidu (kui nad seda vaid teeksid).

Iga väike asi aitab!

Mina nii ei arva. Järjepidev telefonilaadijate väljalülitamine on nagu Titanicust teelusikaga vee välja kühveldamine. Jah, lülita see välja, kuid ära unusta, kui väike asi see on. Sõnastame selle niipidi: päeva jooksul laadija väljalülitamisega kokku hoitud energia kulub ära ühe sekundi autosõidu jooksul. Aasta jooksul laadija väljalülitamisega kokku hoitud energia on võrdne ühe kuuma vanni tegemiseks kuluva energiaga. Ma möönan, et mõned vanemad laadijad kulutavad rohkem kui pool vatti – kui see on katsudes soe, siis see tõenäoliselt kulutab vati või isegi kolm (joonis 11.3). Laadija, mis kugistab kolm vatti, kasutab päevas. Arvan, et sellise laadija väljalülitamine on hea mõte – see säästab kolm naela aastas. Aga ärge lollitage end mõttega, et olete sellega „andnud oma panuse". on ainult pisike osa teie energiatarbimisest. OK, küllalt Titanicu teelusikaga tühjaks kühveldamisest. Vaatame, kuhu elektrienergia päriselt läheb.

Tehnovidinad, mis päriselt energiat imevad

Allpool on tabel, mis näitab majatäie tehnovidinate energiatarbimist vattides. Esimeses veerus on võimsustarve ajal, mil seadet tegelikult kasutatakse – näiteks kui helisüsteem teebki heli. Teises veerus on tarbimine ajal, mil seade on sisse lülistatud, aga ei tee midagi. Olin eriti šokeeritud, kui avastasin, et niisama seisev laserprinter kasutab – see on samapalju, kui kasutab keskmine külmik! Kolmandas veerus on tarbimine ajal, mil seade on sleep või standby režiimis. Neljandas veerus on tarbimine ajal, mil seade on täielikult välja lülitatud kuid pistik on seina jäetud. Kõik need võimsused on toodud vattides – meie standardühikute saamiseks pidagem meeles, et tähendab . Muide, hea rusikareegel ütleb, et iga vatt maksab ligikaudu ühe naela aastas (võttes elektri hinnaks p kohta).

Suurimad energiaõgijad on arvutid, peamiselt nende ekraanid, ja televiisorid, mille võimsustarve on sisselülitatult sadu vatte. Multimeediasüsteemid, nagu näiteks stereod ja DVD-mängijad, tulevad arvutite tuules, tarvitades tihti  ringis. DVD-mängija võib poes maksta vaid £, kuid kui jätta see püsivalt vooluvõrku, võib see teile maksta veel lisaks £ aastas. Mõned stereod või arvuti lisaseadmed võivad oma trafode tõttu tarvitada mitu vatti isegi väljalülitatult. Kui tahate olla kindlad, et teie seade on ka päriselt välja lülitatud, tõmmake selle juhe seinast välja.

Tabel 2.9: Mitmesuguste tehnovidinate võimsustarve vattides. on .

Tehnovidin

Energiatarve

Arvuti ja lisaseadmed

Sisse lülitatud ja kasutuses

Sisse lülitatud aga jõude

Standby

Välja lülitatud

Arvuti korpus
Kineskoopekraan
LCD-ekraan34
Arvutiprojektor

Laserprinter17

Modem


Sülearvuti
CD-mängija


Kell-raadio

Kell-raadio1,91,4

Raadio9,1


Kassetimängija
Stereovõimendi

Stereovõimendi II

Kodukino helivõimendi
DVD-mängija

DVD-mängija II
TV

Videosalvestaja

Digitaalne TV tuuner

Mikrolaineahju kell


Xbox

Sony Playstation 3

Nintendo Wii

Automaatvastaja


Automaatvastaja II


Juhtmevaba telefon


Mobiiltelefoni laadija

Tolmuimeja



Majatäis tehnovidinaid

Võimsus infoajastu peidetud väänkasvudele 

Jonathan Koomey (2007) andmetel kasutavad Ameerika Ühendriikide andmekeskused ja nendega seotud taristu (õhu konditsioneerimine, avariienergia süsteemid jne) päevas inimese kohta – see on veidi üle Ühendriikide elektritarbimisest. Muide, see 2005. aasta number on kaks korda suurem kui 2000. aasta oma, sest serverite arv kasvas selle aja jooksul miljonilt miljonini.

Teised seadmed

Kui te kasutate tolmuimejat paar tundi nädalas, siis teeb see umbes . Muru niitmine aga umbes . Me võiksime seda rida jätkata, aga ma kahtlustan, et arvutid ja multimeediasüsteemid on enamiku inimeste elektritarbimises suurimateks energianeelajateks.

Seda peatükki kokkuvõttev joonis: see muidugi sõltub teie kodus ja kontoris olevate tehnovidinate hulgast ja kasutusviisist, aga üks tubli majatäis või kontoritäis tehnovidinaid kulutab sisselülitatult ilma erilise vaevata .

Müütarusaamad

Talvel ei ole mingit mõtet tulesid kustutada või televiisoreid ja laadijaid välja lülitada. Nende raisatud" energia muundub kodu kütvaks soojuseks ning ei ole järelikult raisatud.”

See müüt on mõnede jaoks tõene, kuid seda ainult talvel; see ei kehti enamikele meist.

Kui te kütate oma kodu tavaliste elektriradiaatoritega, siis, jah, ei ole eriti vahet, kui kütate seda ka energiat raiskavate seadmetega. Aga sel juhul peaksite esmajoones muutma seda, kuidas te oma kodu kütate. Elekter on kõrgema sordi energia, soojus madala sordi energia. Elektri soojuseks muundamine on raiskamine. Täpsemalt: raiskamine on see siis, kui te saate ühest elektri ühikust ühe soojuse ühiku. Õhk- ja maasoojuspumbad teevad seda palju paremini, andes iga tarbitud elektri ühiku kohta kolm või neli ühikut soojust. Need töötavad nagu ümberpööratud külmutused, pumbates maja ümbritsevast õhust soojust majja sisse (vaata peatükk Nutikam kütmine).

Kõik teised, kelle kodusid köetakse fossiil- või biokütustega, peaksid vältima tehnovidinate kasutamist kütmiseks – seda vähemalt nii kaua, kuni meie elektrienergia tarbimise kasvamine tuleb fossiilkütuste arvelt. Asi on selles, et kui te kasutate tavalisest soojuselektrijaamast saadud elektrienergiat, läheb rohkem kui pool energiast korstnasse. Elektriks muundatud energiast läheb elektrivõrgus kaotsi. Põletades fossiilkütuseid otse oma kodus, läheb rohkem energiat kaotsi sooja õhu tootmiseks.

Joonis 11.5: Infosüsteemid ja teised tehnovidinad.

Märkused ja edasine lugemine

Joonis 11.6: Reklaamplakat „DIY planeediparandaja” kampaaniast. Tekst ütleb „Tõmba seinast välja. Kui iga Londoni majapidamine tõmbaks oma kasutuseta telefonilaadija seinast välja, siis hoiaksime me kokku tonni ja £ miljonit aastas.” Allikas: london.gov.uk/diy/

BBC News on meid selle [seina jäetud telefonilaadijate eest] eest hoiatanud ... BBC News 2005. aasta artikkel ütles: „Mõne aasta pärast lülitatakse tuumajaamad välja. Kuidas me suudame Suurbritannia tuled põlemas hoida? Energia säästmiseks on kolm võimalust: lülita oma kasutuseta seisev videomakk välja; ära jäta oma telerit standby režiimis; eemalda oma telefonilaadija pistikust, kui seda ei kasutata.”

Kui kaasaegne telefonilaadija on vooluvõrgus ja selle külge ei ole telefoni ühendatud, tarbib see ligikaudu pool vatti. Joonisel 11.2 kujutatud firma Maplin võimsusmõõtja ei ole selliste võimsuste mõõtmiseks piisavalt täpne. Tänan siinkohal Cambridge'i Ülikooli Inseneeriaosakonna teadlasi Sven Weierit ning Richard McMahonit, kes mõõtsid tavalise Nokia laadija energiatarvet täpse kalorimeetriga; selgus, et telefoniga ühendamata laadija kulutas . Nad tegid veel ühe huvitava tähelepaneku: täis akuga mobiiltelefoni külge ühendatud laadja kulutas ; ja kui laadija tegi seda, milleks see on mõeldud, st laadis osaliselt laetud Nokia mobiiltelefoni, siis eraldus sellest soojusena. Pedandid küsivad mõnikord: „Aga kuidas on laadijate reaktiivvõimsusega?" See on tehniline tühiasi, mis tõepoolest ei ole väärt arutamist. Et see oleks aga mainitud, olen ma seda reaktiivtakistust mõõtnud ja see oli umbes laadija kohta. Kui kaod jaotusvõrgus on , siis laadija reaktiivtakistusega seotud võimsuse kadu on kõige rohkem . Kui telefoniga räägitakse, siis kasutab see .

Edasine lugemine: Kuehr (2003).

Lained
Lained

Kui on üldse riike, mis võiksid loota lainete energiale, siis on selleks Suurbritannia ja Põhja-Iiri Ühendkuningriik, mis külgneb ühelt poolt Atlandi ookeaniga ja teiselt poolt Põhjamerega.

Kõigepealt selgitame, kust tulevad lained: päike tekitab tuule ja tuul tekitab lained.

Lained mere kaldal

Enamus Maale jõudvast päiksevalgusest soojendab ookeane. Soe vesi soojendab omakorda õhku selle kohal ja tekitab veeauru. Kui soe õhk ülespoole tõuseb, siis see jahtub ning veeaur selle sees kondenseerub, moodustades pilvi ja tekitades vihma. Kõige kõrgemas punktis jahtub õhk veelgi, puutudes kokku kosmose jäise pimedusega. Külm õhk vajub uuesti alla. Selline suur, päikese jõul töötav pump keerutab õhku ringiratast mööda suuri konvektsioonikanaleid. Merepinnal tekib tänu nendele kanalitele tuul. Seega on tuul n-ö teise ringi päikeseenergia. Tuul omakorda tormab mööda veepinda ja tekitab laineid. Järelikult on lained n-ö kolmanda ringi päikseenergia.

Avamerel tekivad lained alati, kui tuul puhub kiiremini kui . Laineharjad liiguvad umbes sama suure kiirusega ja samas suunas kui seesama tuul, mis neid tekitas. Lainete lainepikkus (vahemaa laineharjade vahel) ja periood (aeg laineharjade vahel) sõltuvad tuule kiirusest. Mida kauem tuul puhub ja mida suurem on selle vee pindala, üle mille tuul puhub, seda kõrgemaks kerkivad selle tuule poolt tekitatud lained. Seega: kuna Atlandi ookeanil puhuvad tuuled valdavalt läänest itta, on Atlandi ookeanilt Euroopa rannikule jõudvad lained eriti suured. (Briti saarte idarannikule jõudvad lained on tavaliselt palju väiksemad, sellepärast keskendun ma oma laineenergia hinnangutes Atlandi ookeanile.)

Lainetel on pikk mälu ja need jätkavad oma liikumist ühes suunas veel päevi pärast seda, kui tuul on lakanud, kuni põrkavad lõpuks millegi vastu. Meredel, kus tuule suund tihti muutub, moodustavad kattuvad, erinevatel päevadel tekkinud ja erinevates suundades liikuvad lained paraja segaduse.

Kui lained kohtavad oma teel midagi, mis nende energia neelab – näiteks liivarandadega saarte rivi –, siis on meri saarte taga rahulikum. Sellised objektid tekitavad enda taha varju ja edasi liikuvates lainetes on vähem energiat. Seega, kui arvestame päikeselt saadavat energiat ruutmeetri kohta, siis lainte antavat energiat arvestame ranniku pikkuse kohta. Nii nagu ei ole võimalik kooki ühtaegu süüa ja alles hoida, ei ole võimalik laineenergiat koguda kõigepealt kahe miili kaugusel rannikust ja seejärel uuesti ühe miili kaugusel rannikust. Kahe miili kaugusel olev seade neelab sellisel juhul energia, mis oleks muidu jõudnud ühe miili kaugusel olevasse seadmesse, ja seda ei ole võimalik asendada. Tuulel kulub suurte lainete tekitamiseks tuhandeid miile.

Lainetest toodetavale energiale on võimalik seada ülemine piir. Selleks peame hindama ranniku ühikpikkusele jõudvat energiat ja korrutama selle läbi ranniku pikkusega. Me ei uuri, millise seadeldisega võiks kogu seda energiat koguda. Küsime lihtsalt alustuseks, kui palju seda energiat on.

Suurbritannia ja laineenergia

Atlandi ookeani lainete võimsust on mõõdetud: see on ligikaudu avatud ranniku meetri kohta. See kõlab väga suure võimsusena! Kui igal inimesel oleks üks meeter rannikut, saaks me sealt kätte kogu oma , mida me tarbimisühiskonna liikmena igapäevaselt vajame. Paraku on meie elanikkond liiga suur. Igaühele ei jätku ühte meetrit Atlandi ookeani suunas vaatavat rannikut.

Joonis 12.1: Laineenergia koguja Pelamis on neljast sektsioonist koosnev meremadu. See on suunatud ninaga lainetele vastu. Lained painutavad madu ja seda liikumist takistavad hüdraulilised generaatorid. Ühe mao maksimaalne võimsus on 750kW. Parimas kohas Atlandi ookeanil suudab üks selline madu toota elektrienergiat keskmise võimsusega .

Kaardilt on näha, et Suurbritannial on umbes Atlandi ookeani rannikut (üks miljon meetrit), mis teeb elaniku kohta. Seega saame ühe elaniku kohta energiat päevas. Kui me eraldaksime kogu selle energia, oleks Atlandi ookeani rannik peegelsile. Siiski ei suuda ükski olemasolev süsteem eraldada kogu laineenergiat, midagi läheb mehaanilise energia elektrienergiaks muundamisel paratamatult kaotsi. Oletame, et meil on suurepärane lainemasin, mis muudab laineenergiast elektrienergiaks, ja me suudame selliste masinatega täita 500km Atlandi ookeani rannikust. See tähendaks, et me saame teoreetilisest maksimumist kätte . See teeks inimese kohta päevas. Teen siin jällegi tahtlikult üsna ekstreemseid eeldusi, et rohelise energia panust võimendada – ma arvan, et paljudele lugejatele tundub mõte täita pool Atlandi ookeaniga piirnevast rannikust lainete neelajatega üsna utoopilisena.

Joonis 12.2: Laineenergia.

Kuidas paistavad selles arutluses kasutatud numbrid kui neid võrrelda praegu olemasoleva tehnoloogiaga? Selle raamatu kirjutamise ajal leidub vaid kolm seadet, mis töötavad sügavas vees: kolm laineenergia kogujat Pelamis (joonis 12.1), mis on ehitatud Šotimaal ja paigaldatud Portugali. Nende kohta ei ole reaalseid andmeid avaldatud, aga Pelamise seadmete tootjad ennustavad, et pigem vastupidavust silmas pidades konstrueeritud kahe kilomeetri pikkune lainefarm, mis koosneb meremaost, võiks anda lainefarmi iga meetri kohta . Kasutades oma arvutustes seda numbrit, kahaneb 500km lainefarmi tootlikkus ühe inimese kohta 1,2kWh-ni. Nii et ma kahtlustan, et ehkki laineenergia võib olla kasulik väikeste, kaugetel saartel asuvate kogukondade jaoks, ei mängiks see Suurbritannia energiaprobleemi lahendamisel eriti olulist rolli.

Kui palju kaalub Pelamis ja kui palju sisaldab see terast? Üks madu, mille maksimaalne võimsus on 750kW, kaalub 700 tonni, ning selle sisse mahub 350 tonni ballasti. Seega on selles ligikaudu 350 tonni terast. Kaalu ja võimsuse suhe on ligikaudu 500kg ühe kW kohta (maksimaalselt). Seda saab võrrelda avamere tuuleparkide kohta käivate sarnaste andmetega: avamere tuuleturbiin, mille maksimaalne võimsus on , kaalub koos vundamendiga tonni. Seega on tuuleparkide kaalu ja võimsuse suhe umbes ühe kW kohta. Samas, Pelamis on alles esimene prototüüp ning võib arvata, et tulevikus see suhe paraneb.

Märkused ja edasine lugemine

Avamerel tekivad lained alati, kui tuule kiirus on suurem kui umbes . Lainete harjad liiguvad umbes sama suure kiirusega ja samas suunas kui see tuul, mis neid tekitas. Lihtsaim lainete tekkimise teooria (Faber, 1995, p. 337) ennustab (väikeste lainete kohta), et lained liiguvad ligikaudu poolega sellest kiirusest, millega liikus neid tekitanud tuul. Siiski, empiiriliselt on leitud, et mida kauem tuul puhub, seda suuremaks muutub domineeriva lainetüübi lainepikkus ja seda suurem on selle kiirus. Lõpuni arenenud merel on lainete kiirus peaaegu võrdne selle tuule kiirusega, mis puhub merepinnast meetrit kõrgemal. (Mollison, 1986).

Briti saarte idarannikule jõudvad lained on tavaliselt palju väiksemad, sellepärast keskendun oma laineenergia hinnangutes Atlandi ookeanile. Kui laineenergia Lewises (Atlantiline) on , siis võimsused idaranniku erinevates kohtades on näiteks järgnevad: Peterjead: ; Scarborough: ; Cromer: . Allikas: Sinden (2005). Sinden ütleb: „Põhjameri on väga madala energiaga lainete keskkond.”

Atlandi ookeani lainete võimsus on avatud ranniku meetri kohta. (Peatükk Lained II selgitab, kuidas on võimalik mõnd lainete kohta teada olevat fakti kasutades selle numbrini jõuda.) Seda numbrit on korduvalt kinnitatud Atlandi ookeani laineid käsitlevas kirjanduses (Mollison et al., 1976; Mollison, 1986, 1991). Näiteks kirjutab Mollison (1986): „Suures plaanis on Kirde-Atlandi energiavarud Islandi ja Põhja-Portugali vahel kohta, sellest on realistlik kasutusele võtta.” Igas ookeani punktis saab eristada kolme liiki võimsust pikkuse kohta: koguvõimsus, mis läbib seda punkti kõigis suundades (see on keskmiselt Scilly saartel ja Uisti läheduses); koguvõimsus, mis läbib optimaalses suunas orienteeritud kogumisseadmeid (vastavalt ja 45kW/m); ja võimsus rannajoone ühiku kohta, mis võtab arvesse erinevusi optimaalse energia suuna ja rannajoone suuna vahel (näiteks Portugalis on optimaalne suund kirdesse, aga rannajoone avaneb läände).

Ükski reaalne süsteem ei suuda eraldada kogu laineenergiat, midagi läheb mehaanilise energia elektrienergiaks muundamisel paratamatult kaotsi. Rabav näide selle kohta on Ühendkuningriikide esimene elektrivõrku ühendatud Limpeti nimeline lainemasin Islay's. Seadme ehitamise ajal hinnati, et selle muundamise efektiivsus võiks olla ja väljundvõimsus . Aga kaod lainete püüdmise süsteemis, hooratastes ja elektrilistes komponentides viisid väljundvõimsuse vaid -ni, mis andis muundamise efektiivsuseks vaid (Wavegen, 2002).

Toit ja toidutööstus?
Toit ja toiduainetööstus

Kaasaegne põllumajandus on maa kasutamine bensiini toiduks muutmise eesmärgil.


Albert Bartlett

Joonis 13.1: Salat Niçoise

Peatükis Päike me juba arutasime, kui palju taastuvenergiat on võimalik rohelusest toota; selles peatükis arutame aga selle üle, kui palju kulub energiat meie igapäevaseks leivaks.

Kaasaegne kehaliselt aktiivne kaaluv inimene tarbib päevas toitu, mille keemiline energia on ligikaudu „Kalorit” päevas. Üks „Kalor” tähendab toiduringkondades keemiku kalorit (nimetame seda edaspidi toidukaloriks, mis teeb ). toidukalorit päevas on umbes päevas. Suurem osa sellest energiast lahkub meie kehast soojusena, nii et igaüks meist funktsioneerib ka kui kosmose soojendaja võimsusega veidi üle - nagu üks keskmise võimsusega hõõglamp. Pange inimest väikesesse külma ruumi ja te võite küttekeha välja lülitada.

Joonis 13.2: Inimese minimaalne võimalik energiavajadus.

Kui palju me tegelikult tarbime energiat selleks, et saada kätte oma päevas? Kui laiendame oma vaadet nii, et arvestusse lisanduvad ka toidu tootmise energiakulud, siis muutub meie energiajalajälg palju suuremaks. Sõltuvalt sellest, kas oled vegan, taimetoitlane või lihasööja.

Veganitel on väikseim energiajalajälg: energiat päevas taimedest, mida ta sööb.

Piima joomise energiakulu

Ma armastan piima. Kui palju kulub energiat, kui joon ühe pindi piima päevas? Tüüpiline piimalehm toodab liitrit piima päevas. Nii et minu üks pint päevas (pool liitrit päevas) tähendab lehma tööle võtmist. Või oodake, mulle meeldib ka juust. Ja ühe Irish Cheddar juustu tootmiseks kulub ligikaudu piima. Nii et juustu söömine päevas nõuab tootmiseks veel piima. OK: minu piima joomise ja juustu söömise harjumus nõuab lehma palkamist. Ja kui suurt võimsust on vaja ühe lehma pidamiseks? Noh, kui lehm kaalub ja vajab ühe kilogrammi kohta sama palju energiat kui inimene (kes põletab kohta päevas), siis peaks lehm kasutama umbes .

Joonis 13.3: Piim ja juust.

Kas selline inimeste parameetrite lehmale ekstrapoleerimine paneb teid end imelikult tundma? Vaatame numbreid: www.dairyaustralia.com.au ütleb, et  kaaluv mullikas vajab , mis teeb . Suurepärane, meie hinnang ei läinud väga palju mööda! Nii et mu osa lehmast tarbib umbes päevas. See number ei sisalda energiat, mis kulub selleks, et lehm piima andma panna ja et piima juustuks muuta ja et piim ja juust jõuaksid ka lehma juurest minuni. Uurime mõningaid neid kulutusi, kui arutame kaubatransporti ja kaubanduskeskuseid peatükis Asjad.

Munad

Joonis 13.4: Kaks muna päevas.

Muneja kana sööb umbes kanasööta päevas. Eeldades, et sööda metaboliseeritav energiasisaldus on kilogrammi kohta, teeb see võimsuskuluks päevas kana kohta. Kana muneb keskmiselt muna aastas. Nii et süües kaks muna päevas kasutame me energiat päevas. Iga muna sisaldab , mis on umbes . Nii et energeetilisest vaatepunktist on munade tootmise kasutegur .

Liha söömise energeetiline hind

Ütleme, et entusiastlik lihasööja sööb umbes pool naela liha päevas (). (Just nii palju liha tarbib üks keskmine ameeriklane päevas.) Kui tahame teada võimsust, mis kulub, kuni lihasööjad ootavad oma lihalõigu saamiseks vajaliku looma kasvatamise ajal, peame teadma loomade eluiga, st aega, mille jooksul nad energiat tarbivad. Kana- sea- või loomaliha?

Joonis 13.5: Liha söömine nõuab lisavõimsust, sest me peame toitma tervet rida loomi, et neid oleks võimalik inimestele toiduks pakkuda.

Kanaliha, söör? Me sööme kanasid, kes on teri nokkinud ligikaudu päeva. Nii et igapäevane pool naela kaaluv söögikord summeerub lõpuks umbes naelaks kanaks, mis peavad elus püsima ja valmistuma selleks, et nad ära süüakse. Ja need naela kana vajavad energiat.

Sealiha, madaam? Sea elu kestab kauem – võib-olla päeva sünnist peekonini – nii et igapäevane poolenaelane sealiha tarbimine nõuab umbes  naela elusa, inimeste toiduks mõeldud sea olemasolu. 

Veised? Veiseliha tootmine sisaldab pikimat ettevalmistavat aega. Lihatüki saamiseks kulub veise päeva. Nii et igapäevane poolenaelane veiseliha tarbmine nõuab naela elusa, inimese toiduks mõeldud veise olemasolu.

Kõigi nende mõtete üheks numbriks liitmiseks eeldame, et me sööme pool naela () liha päevas, mis koosneb võrdsetest osadest kanast, sealihast ja veiselihast. Selline harjumus nõuab naela kanaliha, naela sealiha ja naela veiseliha pidevat elushoidmist. See on kokku liha ehk looma eluskaalu (kuna umbes kaks kolmandikku loomade eluskaalust saab lihaks). Ja kui loomade energiavajadus on samasugune kui inimestel (kelle põletab ), siis on lihasöömise tagamiseks vajalik võimsus

Võtsin siingi füsioloogilise vabaduse eeldada, et „loomad on nagu inimesed;” täpsem hinnang kanaliha tootmiseks vajalikule energiale on toodud selle peatüki lõpumärkustes. Praegu tahame vaid umbkaudset hinnangut ja siin see on. Keskmise tarbija taimede, piimatoodete, munade ja liha tootmiseks vajaminev võimsus on päevas. (Sellise dieedi päevane kalorite jaotus on taimedest; piimatoodetest; munadest; ja lihast – kokku päevas.)

See number ei sisalda võimsust, mis on vajalik põlluharimiseks, väetamiseks, toidu töötlemiseks, külmutamiseks ja transpordiks. Mõningaid neist kuludest hindame me peatükis Asjad.

Joonis 13.6: Will muudab roheluse toiduks.

Kas need arvutused annavad meile energiatarbimisel põhinevaid taimetoitlust toetavaid argumente? See sõltub sellest, kus loomi toidetakse. Võtke näiteks Walesi järsud künkad ja mäed. Kas neid alasid saab kasutada millekski muuks kui karjatamiseks? Neid karjamaid kasutatakse kas lammaste hoidmiseks või seisavad need inimeste jaoks kasutult. Võite neist looduslikest rohelistest nõlvadest mõelda kui hooldevabadest biokütuse kasvandustest ja lammastest kui automaatsetest ennast kopeerivatest biokütuse kombainidest. Energiakaod päiseseenergia toiduks muundamisel on arvestatavad, aga tõenäoliselt ei leidu paremat viisi, kuidas seda sealt sellistest kohtadest püüda. (Ma ei ole kindel, kas selline ettekujutus lambapidamisest Walesis ka tegelikult paika peab: halbade ilmade korral liiguvad Walesi lambad madalamatele aladele, kus neile antakse ka soja võrseid ja muud sööta, mis on kasvatatud energiamahukate väetiste abil; mis on tegelikt energiakulu? Ma ei tea.) Sarnaseid argumente võib kasutada lihatootmise toetuseks kohtades nagu võsastunud piirkonnad Aafrikas ja rohumaad Aurstraalias; ja piimatootmise toetuseks Indias, kus miljoneid lehmi toidetakse riisi ja maisi tootmise kõrvalproduktidega.

Teisalt, kui puurides hoitavatele loomadele söödetakse ka inimeste jaoks kõlblikku teravilja, siis ei ole küsimust - energeetiliselt efektiivsem oleks jätta need „vahekanad" ja „vahelehmad" ära ja toita selle viljaga otse inimesi.

Väetised ja teised põllumajanduse energiakulud

Koguenergia Euroopa väetistes on ligikaudu päevas inimese kohta. Vastavalt Warwick'i Ülikooli DEFRA raportile kasutas põllumajandus Ühendkuningriikides 2005. aastal masinatele, kütmisele (eriti kasvuhoonetes), valgusele, ventilatsioonile ja külmutamisele päevas inimese kohta.

Joonis 13.7: Lemmikloomade toiduks kuluv energia.

Energiakulu lemmikloomatoidule

Lemmikloomad! Kas te olete koera, kassi või hobuse teener? Suurbritannias võib olla umbes miljonit kassi. Oletame, et te hoolitsete ühe sellise eest. Milline on Miisu söögi energiahind? Kui kass sööb liha päevas (kana, sealiha ja veiseliha), siis eelmise alajaotuse hinnang ütleb, et Miisu toidu tootmiseks vajalik energia on kübe vähem kui  päevas. Taimetoitlasest kassile kulub vähem.

Sarnaselt, kui su koer Pontu sööb liha päevas ja tema tarbitavate süsivesikute energia on päevas, siis kulub tema toidu tootmiseks umbes päevas. Shadowfax tõugu hobuse kaal on umbes ja ta tarvitab päevas.

Müütarusaamad

Ma olen kuulnud, et toidu energiajalajälg on nii suur, et parem on sõita kui kõndida."

See sõltub teie söömisharjumustest. Kindlasti on võimalik leida toitu, mille fossiilkütuste jalajälg on suurem sellest, mille inimene sealt lõpuks kätte saab. Näiteks kartulikrõpsudesse on iga süües vabaneva keemilise energia kohta sisse pandud fossiilkütuste energiat. Liha jaoks on see number suurem. Vastavalt Exeteri Ülikooli uurimusele sisaldub tüüpilises toidukorvis ligikaudu energiat toiduenergia kohta. Kui tahame teada, kas me kasutame rohkem energiat kõndides või autoga sõites, peame teadma mõlema transpordivahendi ligikaudset kasutegurit. Tüüpiline auto (peatükis Autod) energiakulu kohta oli . Kõndimisele kuluv koguenergia on kohta – korda väiksem. Nii et jah, kui te elate täielikult toidul, mille energia jalajälg on suurem kui kohta, siis, oleks punktist A punkti B liikumise energiakulu fossiilkütusel töötava autoga tõepoolest väiksem kui kondiauruga minnes. Aga kui teie toidukorv on tüüpiline ( kohta), siis on väide „parem on sõita autoga kui kõndida” müüt. Kõndimiseks kulub vaid veerand sellest energiast.

Joonis 13.8: Toit ja põllumajandus.

Märkused ja edasine lugemine

Tüüpiline piimalehm toodab liitrit piima päevas. Ühendkuningriikides on miljonit lüpsilehma, igaüks neist toodab ligikaudu liitrit piima aastas. Umbes pool sellest kogusest müüaksegi maha piimana. www.ukagriculture.com, www.vegsoc.org/info/cattle.html

Lihatüki saamiseks kulub veise päeva. 33 kuud eostamisest tapamajja: kuud tiinust ja kuud kasvamist. www.shabdenparkfarm.com/farming/cattle.htm

Kanad. Täiskasvanud (-nädalane) muneja kana kaalub või . Kanasööda energiasisaldus on kohta, mis teeb kohta ja kanade sööda nädalane kogus kasvab -lt -nädalasele kanale kuni -ni, kui kana on saanud nädalat vanaks. Muneja kana tüüpiline sööda kogus on päevas.

Liha tootmiseks kasvatatava kana toidu energiasisaldus on kilogrammi kohta. Kana energiatarbimine on päevas kana kohta ( kana kohta) kaalu juures. lihakana tarbib kokku linnutoitu [5h69fm]. Nii et kanaliha tootmiseks kuluv energia on umbes eluskaalu kilogrammi kohta või söödud liha kilogrammi kohta.

Selle numbri kasutamisel oleks kanaliha energeetiline panus pisut suurem. Aga see ei ole eriti oluline, kui  arvestada, et linnuliha koos looma- ja veiselihaga tarbides domineerib veiseliha energiajalajälg. Allikad: Subcommittee on Poultry Nutrition, National Research Council (1994), www.nap.edu/openbook.php?isbn=0309048923, MacDonald (2008), and www.statistics.gov.uk/statbase/datasets2.asp.

Eeldame, et me sööme pool naela () liha päevas, mis koosneb võrdsetest osadest kanast, sealihast ja veiselihast. See on keskmise ameeriklase ligikaudne päevane lihatarbimine, päevas – kus sisaldub kanaliha, loomaliha ja sealiha (MacDonald, 2008).

Koguenergia Euroopa väetistes on ligikaudu päevas inimese kohta. 1998 - 1999 aastatel kasutati Lääne-Euroopas miljonit tonni () väetiseid aastas: nitraate, fosfaate ja kaaliumkloriidi. Nende väetiste energiajalajäljed on vastavalt , ja kilogrammi kohta. Jagades selle energia miljoni inimese vahel, saame jalajäljeks päevas inimese kohta. Allikas: Gellings ja Parmenter (2004), International Fertilizer Industry Association [5pwojp].

Ühendkuningriikide põllumajandus kasutas 2005. aastal masinatele, kütmisele (eriti kasvuhoonetes), valgusele, ventilatsioonile ja külmutamisele päevas inimese kohta. Allikas: Warwick HRI (2007).

Kartulikrõpsudesse on iga süües vabaneva keemilise energia kohta sisse pandud fossiilkütuste energiat. Ma hindasin seda energiat paki kartulikrõpsude süsinikujalajälje kaudu: tavalise paki jaoks on see [5bj8k3]. sellest jalajäljest tuleb põllumajandusest,  töötlemisest, pakendamisest ja transpordist ja jäätmetest. Tarbija saab kätte keemilise energia . Järelikult on selle toidu süsinikujalajälg kohta. Kui eeldame, et enamus sellest süsinikujalajäljest tuleb fossiilsetetes kütustest mahus kohta, saame krõpsude energiajalajäljeks fossiilkütuseid söömisel vabaneva keemilise energia kohta.

Kõndimise jalajälg on ; jalgrattaga sõitmisel . Võrdluseks: sõites keskmise autoga on meie jalajälg

Tüüpilises toidukorvis on ligikaudu energiat toiduenergia kohta. Coley (2001) hinnangul on tüüpilise toidukorvi tootmisel kulutatav energia suurem kui sellest saadav energia. 

Kõndimisele kuluv koguenergia on kohta. Kõndimisel kasutab inimene kokku kohta [3s576h]; me lahutame sellest numbrist maha taastumiseks kuluva energia ja saame kõndimise energiajalajälje (Coley, 2001).

Edasine lugemine: Weber ja Matthews (2008). 113

Looded
Looded

Kuu ja Maa löövad pöörlevat, piruette tegevat tantsu ümber Päikese. Nad tuuritavad koos ümber Päikese kord igasl aastal, samal ajal pööreldes ümber üksteise kord iga päeva tagant. Kuu pöörleb samuti ümber oma telge kord päeva jooksul, näidates nii oma partneri Maa poole alati üht ja sedasama külge. Primadonna Maa ei võta komplimenti vastu ja pöörleb ümber oma telje kord igas päevas. Seda tantsu hoiab koos gravitatsioonijõud: iga Maa, Kuu ja Päikese tükki tõmmatakse iga teise Maa, Kuu ja Päikese tüki poole. Nende jõudude summa on peaaegu täpselt selline, nagu on vaja selle pöörleva tantsu õigel rajal hoidmiseks. Aga ainult peaaegu, ja seal eksisteeriv väga väike tasakaalutus on ühtlasi põhjus, miks tekivad looded.

Kuu ja Maa üksteise ümber tiirlemisega seotud tasakaalutus on umbes kolm korda suurem kui Maa aeglasema tantsuga ümber Päikese kaasnev tasakaalutus, nii et loodete suurus sõltub kuu faasist - kui Kuu ja Päike on ja siis jälle ei ole joondatud. Täiskuu ja Kuu sünni ajal (kui Kuu ja Päike on Maaga ühel joonel) need tasakaalutused võimendavad üksteist ja tulemuseks on suuremad looded, mida kutsutakse ka kevadloodeteks (spring tides) või süsüügilisteks loodeteks. (Kevadlooded ei ole „kevadel toimuvad looded;” kevadlooded toimuvad kellavärgi täpsusega iga kahe nädala tagant.) Sinna vahele jäävatel poolkuu aegadel need tasakaalutused osaliselt kustutavad üksteist ning looded on väiksemad, selliseid kutsutakse kvadratuurseteks loodetaks (neap tides). Süsüügiliste loodete ulatus on ligikaudu kaks korda suurem, kui kvadratuursetel loodetel: süsüügilised tõusud on kaks korda kõrgemad kui kvadratuursed tõusud, süsüügilised mõõnad on kaks korda madalamad, kui kvadratuursed mõõnad ja loodete hoovused on süsüügiliste loodete ajal kaks korda suuremad kui kvadatuursete loodete ajal.

Joonis 14.1: Maad kattev ookean. Joonisel vaatame alla Põhjapooluse suunas ja Kuu on kaugusel lehest/ekraanist paremal. Maa pöörleb kord päevas ragbi palli meenutavas veekestas. Ookean on Kuust eemalduvas ja selle poole liikuvas suunas välja venitatud, sest Kuu tekitatud gravitatsioonijõud ei ole täpselt sama suur, kui tsentripetaaljõud, mis hoiab Maa ja Kuu ümber oma ühise raskuskeskme tiirlemas. Ekvaatoril seisev vaatleja (kes pöörleb nooltega näidatud suunas) näeb kahte kõrget ja kahte madalat vett ööpäevas.

Miks on ööpäevas kaks kõrgvett ja kaks madalvett? Kui Maa oleks ideaalne sfäär, sile ookeaniga kaetud piljardikuul, siis deformeeriks looded vett veidi Kuu poole ja sellest eemale, nii et vesi muutuks veidi ragbipalli sarnaseks (joonis 14.1). Sellise, veekookonis pöörleva piljardikuuli kujulise, Maa ekvaatoril märkaksime, et veetase tõuseb ja langeb kaks korda päevas: tõuseks, kui meie alt mööduks ragbipalli nina ja teist korda siis, kui meie alt mööduks selle saba. Selline piltlik selgitus on reaalsusest üsna kaugel. Tegelikult ei ole Maa sile ja see ei ole ühtlaselt veega kaetud (nagu te ehk olete märganud). Kaks veeküüru ei saa kaks korda päevas ümber maa vuhiseda, sest kontinendid jäävad ette. Loodete tegelik käitumine on seetõttu keerukam. Kui selline suur veemassiiv, nagu seda on Atlandi ookean, loodetes tõuseb ja langeb, aga ei saa ümber Maa liikuda, siis teeb see paremuselt järgmist asja: tuhiseb ümber ookeani perimeetri. Põhja-Atlandil on kaks harja ja kaks nõgu, mis tiirlevad vastupäeva ümber Atlandi kord päevas. Siin Suurbritannias me neid harju ja nõgusid ei näe – me oleme Atlandi süvaookeanist eraldatud mõnesaja miili laiuse aerutamiseks sobiva alaga, mida nimetatakse mandrilavaks. Iga kord, kui üks neist harjadest meist möödub, saadab see ka ühe harja mandrilavale. Samamoodi saadab iga Atlantiline mõõn mõõna meie mandrilavale. Järjestikused tõusud ja mõõnad saabuvad meile iga kuue tunni tagant. Täpsemalt, iga kuue ja veerandi tunni tagant, sest aeg kahe Kuu loomise vahel on , mitte tundi.

Tõusude ja mõõnade liikumise kiirus sõltub vee sügavusest mandrilaval. Mida madalam on seal ookaen, seda aeglasemalt tõusud ja mõõnad liiguvad ja seda suuremad need on. Ookeanil on looded vaid ühe-kahe jala kõrgused, kuid Euroopa rannikule jõudnuna on loodete amplituud tihti kuni neli meetrit. Põhjapoolkeral sunnib Coriolise jõud (jõud, mis kaasneb Maa pöörlemisega ja mis mõjub vaid liikuvatele objektidele) tõuse ja mõõnasid liikudes uhtuma parempoolseid kaldaid. Näiteks on Inglise kanalis looded suuremad Prantsusmaa poolel. Samamoodi uhuvad ümber Orkney Põhjamerre sisenevad tõusud ja mõõnad rohkem Briti poolt, liikudes mööda Thamesi suuet ja pöörates siis vasakule, et Hollandile ja Taanile austust avaldada.

Loodete energiat kutsutakse vahel ka Kuu energiaks, sest vesi liigub niimoodi ringi just tänu Kuule. Suurem osa loodete energiast tuleb aga hoopiski Maa pöörlemise energiast. Maa aeglustub tasapisi. Kuidas me saaksime loodete energiat kasutada ja kui palju võimsust neist kätte saaks?

Loodete võimsuse ligikaudne hinnang 

Kui te mõtlete loodete võimsusest, siis võite silme ette manada mere kõrval asuva basseini, mille külge kinnitatud vesiratast ajab basseini täitumise ja tühjenemise ajal vesi ringi (joonised 14.2 ja 14.3).

Peatükk Looded II näitab, kuidas sellise tõusva ja langeva veetasemega basseini võimsust arvutada. Tulemuseks saame, et eeldades loodete amplituudiks , mis on tavaline paljudes Euroopa jõesuudmetes, on tehisliku, tõusudes ja mõõnades kiiresti täituva ja tühjeneva, mõlemas suunas voolavat vett kasutava basseini maksimaalne võimsus ligikaudu . See on samasugune, mis avamere tuuleparkide poolt saavutatav võimsus pindalaühiku kohta. Ja me juba teame, kui suured peavad avamere tuulepargid olema selleks, et nende panus loeks. Need peavad olema riigi suurused. Nii et ka Suurbritannia energiatarbimisega võrreldavat võimsust tootvate loodebasseinide ehitamiseks vajame me maa-alasid, mille pindala on sarnane Suurbritannia pindalaga.

Tabel 2.10: Loodebasseini võimsustihedus, eeldades nii tõusvate kui langevate voolude kasutamist.
Loodete amplituudEnergiatihedus

Üllatuslikult on Suurbritannial juba vajaliku suurusega looduslik loodebassein olemas. Seda basseini tuntakse ka kui Põhjamerd (joonis 14.5). Kui me lihtsalt paigaldaks generaatorid sobilikesse kohtadesse, saaksime selle abil toota märkimisväärsel hulgal energiat. Need generaatorid võiksid välja näha nagu veealused tuulikud. Kuna vee tihedus on õhu tihedusest ligikaudu korda suurem, on vee voolu võimsus sama kiirusega liikuva tuule võimsusest korda suurem. Me tuleme loodeparkide juurde varsti tagasi, aga esmalt hindame Suurbritannias igapäevaselt ringi veereva loodeenergia suurust.

Joonis 14.5: Briti saared on heas asukohas: Põhjameri moodustab loodusliku loodebasseini, millest voolavad kaks korda päevas sisse ja välja suured veemassiivid.

Looduses olemasolev loodeenergia

Ümber Suurbritannia esinevad tõelised tõusulained – erinevalt tsunaamidest, mida samuti kutsutakse „tõusulaineteks,” aga millel ei ole tõusudega mingit pistmist. Jälgime tõusulainet hetkel, mil see jõuab Atlandilt meie juurde. Tõusu harja aeg on seda hilisem, mida rohkem itta me Inglise kanalist Scilly Saarte poole ning sealt edasi Portsmouth'i ja Doverisse liigume. Tõusu hari liigub kanalit mööda kiirusega ligikaudu . (Tõusu hari liigub palju kiiremini kui seda moodustav vesi justnagu tavalised merelained liiguvad kiiremini kui vesi.) Samamoodi liigub tõusuvesi päripäeva ümber Šotimaa, Põhjamerel alla Wick'ist Berwick'i ja Hull'i kiirusega ligikaudu . Need kaks tõusulainet koonduvad Thamesi jõesuudmes. Juhuse tahtel saabub Šoti tõusuhari Doverist saabuvast harjast umbes tundi hiljem, mistõttu jõuab see kohale järgmise Doverist saabuva harjaga peaaegu üheagselt ja Londonisse saabuvad tavapärased kaks tõusu ööpäevas.

Joonis 14.6: Neid kahte joont ületav tõusulaine võimsus on ära mõõdetud ja see on . Kui see võimsus miljoni inimese vahel ära jagada, siis saame inimese kohta.

Loodetest saadav energia ei saa olla suurem kui nende Atlandilt saabuvate tõusulainete koguenergia.  Joonisel 14.6 kujutatud joont ületav koguvõimsus on ära mõõdetud; keskmiselt teeb see päevas inimese kohta. Kui oletame, et me suudame sellest energiast kätte saada ja kaod muundamisel ja ülekandel on , saame inimese kohta keskmiselt päevas. See on meie esialgne hinnang, mis on tehtud ilma tehnilistesse detailidesse süüvimata. Hindame nüüd võimsust, mis on võimalik saada kolme tehnilise lahenduse abil: loodete pargid, tammid ja avamere loodete laguunid.

Loodete voolu pargid 

Üks võimalus loodete energia kogumiseks on ehitada tuuleparkidega sarnased loodete pargid. Esimene selline veealune tuulegeneraator ehk tõusu voolu generaator elektrivõrku ühendamiseks oli „” turbiin, mis paigaldati 2003. aastal Norra põhjaossa, Hammerfesti linna lähistele. Detailseid andmeid selle seadme energiatoodangu kohta ei ole avaldatud ja seni ei ole keegi ehitanud loodete parki rohkem kui ühe turbiiniga merehoovusjaama, nii et tugineme edasistes hinnangutes selle kohta, kui palju energiat selline park toota võiks, füüsikale ja oletustele. Eeldades, et reeglid mõistliku loodete pargi ehitamisel on sarnased kui tuuleparkidel ja et loodete turbiinide kasutegur on sarnane parimate tuulegeneraatorite omaga, saame tabelis toodud loodete parkide võimsused mõnede loodete voolude jaoks.

Tabel 2.11: Loodeparkide võimsustihedus (vattides merepõhja ruutmeetri kohta) voolukiiruse funktsioonina. ( sõlm = meremiil tunnis = .)
Kiirus ()Kiirus (sõlmedes)Võimsustihedus ()


Et kuni sõlmesed loodevoolud on tavalised, leidub Briti saarte ümbruses palju kohti, kus loodete pargi võimsus ühikpindala kohta oleks või rohkem. Sellist võimsust ühikpindala kohta saab võrrelda meie hinnangutega tuuleparkidele () ja päikesefarmidele ().

Loodete võimsust ei tasu ignoreerida! Kui palju seda kokku tuleks, kui me eeldame, et loodete energia kogumisel kõigist Ühendkuningriikide sobilikest kohtadest ei ole majanduslikke takistusi? Peatükk Looded II toob välja Ühendkuningriikide ümbruses leiduvate parimate kohtade voolukiirused ja hindab, et inimese kohta oleks võimalik koguda .

Tammid

Barrage de la Rance

Loodete tammid on tõestatud tehnoloogia. Kuulus tamm La Rance Prantsusmaal asub kohas, kus loodete ulatus on keskmiselt meetrit ja toodab alates 1966. aastast keskmiselt võimsust . Ka Severni jõesuudmes on loodete ulatus ebatavaliselt suur. Cardiffis on kevadloodete ulatus ja kvadratuursete loodete ulatus . Kui ehitaksime Severni jõesuudme tammi (Weston-super-Mare'ist Cardiff'ini), moodustaksime loodebasseini (joonis 14.8).

Joonis 14.8: Võimalik tamm Severn'is (all vasakul) ja Strangford Lough'is Põhja-Iirimaal (üleval vasakul), mis on joonistatud samasuguses mõõtkavas kui La Rance'i tamm (all paremal). Kaardil on näidatud Severni tammi kaks võimalikku asukohta. Tamm Weston-super-Mare'is annaks keskmiselt võimsust ( inimese kohta). Kaugem alternatiiv annaks kaks korda nii palju. Suur loodeenergia allikas on ka Põhja-Iirimaal asuv Strangford Lough. Strangford Lough’i pindala on ; loodete ulatus Iiri mere piiril on kevadloodete ajal ja kvadratuursete loodete ajal – kahjuks mitte nii suur kui La Rance'ol või Severn'il. Loodete võimsus Strangford Lough looduslikus loodebasseinis on ligikaudu , mis jagatuna miljoni Põhja-Iirimaa inimese vahel teeb elaniku kohta. Strangford Lough on esimene Ühendkuningriikides elektrivõrku ühendatud loodevoolu generaator.

Pange tähele kui palju suurem on see bassein La Rance'i jõesuudmest. Millist võimsust suudaks see loodebassein anda, kui laseksime seal veel sisse ja välja voolata ideaalsetel aegadel, et saada energiat nii tõusust kui ka mõõnast? Kasutades meie tabeli teoreetilisi numbreid, saame, et kui loodete ulatus on , siis oleks tammi keskmine võimsus (tihedusega ) kuni või  inimese kohta. Kui loode ulatus on , oleks tammi keskmine võimsus (energiatihedusega ) kuni või inimese kohta. Need numbrid eeldavad, et me laseme veel sisse voolata ühekorraga, tõusu maksimumi ajal, ja välja voolata ühekorraga, mõõna ajal. Reaalsuses kestaks sisse ja välja voolamine mõne tunni, mis toodetavat energiahulka veidi vähendaks.

Praegu arutamisel oleva tammi ehitamise projekt annab võimsust vaid ühes suunas. See vähendab saadavat võimsust veel võrra. Inseneride raportid tammi projekti kohta ütlevad, et vaid mõõna ajal elektrit tootes annaks see inimese kohta. Tamm pakuks ka kaitset üleujutuste vastu - selle panuse väärtuseks hinnatakse ligikaudu £ aastas.

Loodete laguunid 

Joonis 14.9: Kaks loodete laguuni, mõlemad pindalaga , üks Blackpool'is, üks Wash'is. Võrdluseks on värvitud Severni jõesuue.

Loodete laguunid luuakse merre seinu ehitades; neid võib kasutada kui tehislikke jõesuudmeid. Eeltingimused laguunide ehitamiseks on madal vesi ja suur loodete ulatus. Kehtivad suurte mahtude majandusseadused: suured loodete laguunid toodavad elektrit odavamalt kui väikesed. Kaks peamist asukohta suurte loodete laguunide jaoks Suurbritannias on idarannikul Wash'i läänerannikul Blackpool (joonis 14.9). Väiksemaid võib ehitada Walesi põhjaossa, Lincolnshire'i, Walesi kaguossa ja Sussexi idaossa. 

Kui ehitada kaks laguuni samasse kohta, siis on võimalik saadavat võimsust nutika triki abil suurendada ja toota seda täpselt siis kui vaja: vastavalt nõudlusele, sõltumata loodete hetkeseisust. Üks laguun ehitatakse siis „kõrgeks" ja teine „madalaks" laguuniks. Madalast laguunist pumbatakse mõõna ajal vett välja, alandades selles veelgi veetaset. Pumpamiseks kuluv energia kompenseeritakse tõusu ajal, lastes veel voolata kõrgest madalasse laguuni. Sarnaselt võib tõusu ajal kõrgesse laguuni vett juurde pumbata, kasutades selleks madala laguuni poolt genereeritud energiat. Milline loode seis ka ei oleks, ühte kahest laguunist saab energia tootmiseks alati kasutada. Selline laguunide paar võiks toimida ka kui pumbatav salvesti, milles saab hoida elektrivõrgus üle jäävat energiat.

Keskmine loodete laguunide poolt toodetav võimsus Briti vetes võiks olla , nii et kui rajaksime loode laguunid kogupindalaga (nagu näidatud joonisel 14.9), oleks toodetud võimsus inimese kohta.

Loodete ilu

Kui liidame kokku tammid, laguunid ja loode voolu pargid, saame võimalikuks toodetud energiahulgaks ligikaudu inimese kohta (joonis 14.10).

Joonis 14.10: Looded.

Loodete energiat ei ole Suurbritannias kunagi tööstuslikul tasemel kasutatud, nii et roostetavate turbiinide ehitamisel, setete kogunemisel või risu kuhjumisel tekkivaid majanduslikke ja tehnilisi väljakutseid on raske hinnata. Briti saartel on loodete energia kasutamise tõsiseks kaalumiseks seitse peamist põhjust:

  1. Loodete võimsus on täielikult ennustatav; erinevalt tuulest või päikesest on looded selliseks taastuvenergiaallikaks, mille peale saab kindel olla; see töötab päeval ja öösel aastaringselt; laguune kasutades on võimalik energiat salvestada ning seda vajadusel kasutada.
  2. Järjestikustel tõusudel ja mõõnadel kulub ümber Briti saarte liikumiseks umbes tundi, nii et vool on Anglesey's, Islay's, Orkney's ja Doveris on tugevaim erinevatel aegadel; seega kokkuvõttes annaks ühe asemel mitme loodete pargi kasutamine elektrivõrku ühtlasema elektrienergia voo, mis aga siiski käiks alla ja üles koos kuu faasiga.
  3. Loodete energiat jätkub miljoniteks aastateks.
  4. Erinevalt näiteks päikesefarmidest pole vaja igasuguseid kalleid seadmeid.
  5. Enamgi veel, kuna loodete voolu võimsustihedus on suurem kui tuule energiatihedus, oleks loodete turbiin väiksem tuulikust; võib juhtuda, et loodete turbiinid oleks seetõttu kokkuvõttes odavamad.
  6. Elu lainete all on rahulik; ei ole olemas sellist asja nagu loode torm ja seega ei vaja veealused loodete turbiinid kalleid insenerilahendusi, mis on vajalikud selleks, et tuulikud peaks vastu harvadele tormidele. Veealuseid turbiine ei pea ehitama suure tugevusvaruga.
  7. Inimesed elavad enamasti maal ja nad ei näe vee alla. Nii et vastuseis loodete turbiinide poolt tekitatavale visuaalsele mõjule võiks olla väiksem kui tuuleparkide korral.

Müütarusaamad

Ehkki loodete energia on puhas ja roheline ei tohiks me seda nimetada taastuvaks. Loodetest energia tootmine aeglustab Maa pöörlemist. Loodete energia ei ole kindlasti pikaajaliselt jätkusuutlik. Vale. Looded aeglustavad Maa pöörlemist loomulikul viisil niikuinii. Pöörlemise energia kaob kiirusega ligikaudu (Shepherd, 2003). Loodusliku hõõrdumise tõttu loodetes pikeneb päev iga sajandiga millisekundi võrra. Paljud loodete energiat tootvad süsteemid eraldaksid energiat, mis läheks hõõrdumises niikuinii kaotsi. Isegi kui me kahekordistaksime süsteemist Maa-Kuu võetava energia võimsust, jätkuks loodete energiat veel miljarditeks aastateks. 

Märkused ja edasine lugemine

Tehisliku loodete basseini võimsus. Pindalaühiku kohta tulev loodete basseini võimsus on tuletatud peatükis Looded II.

Suurbritannial juba on vajaliku suurusega looduslik loodete bassein. Seda basseini tuntakse kui Põhjamerd. Ma ei taha jätta muljet, et Põhjameri täitub ja tühjeneb täpselt nagu loodete bassein Inglismaa rannikul. Põhjamere voolused on palju keerulisemad, kuna aeg, mis kulub veetaseme tõusmisele, on ligikaudu samasugune kui aeg kahe tõusu vahel. Sellegipoolest eksisteerivad loodete voolud Põhjamerre ja sellest välja ning samuti Põhjamere sees.

Loodetest saadav koguvõimsus on ära mõõdetud; keskmiselt teeb see päevas inimese kohta. Allikas: Cartwright et al. (1980). Inimestele, kellele meeldivad lihtsad mudelid, on peatükis Looded II antud selle võimsuse hinnang lähtudes põhiprintsiipidest.

La Rance on alates 1966. aastast tootnud , keskmise võimsusega . (Selle maksimaalne võimsus on .) Loodete ulatus on kuni ; tammiga paisutatava vee pindala on ; tammi pikkus on . Keskmine võimsustihedus: . Allikas: [6xrm5q].

Inseneride hinnangul toodaks Severni tamm ... ütleme aastas. (Taylor, 2002b). See () vastab kogu keskmisest elektritarbimisest Ühendkuningriikides.

Keskmine loodete laguunide poolt toodetav võimsus Briti vetes võiks olla . MacKay (2007a).

Asjad
Asjad
Joonis 15.1: Selfridges'i prahi reklaam.

„Arenenud" maailma üks peamisi energia neelajaid on asjade tootmine. Asjad läbivad oma loomulikus elutsüklis kolm faasi. Kõigepealt näidatatakse vastsündinud asju säravates pakendites poodide vaateakendel. Selles faasis nimetatakse asju „kaupadeks.” Niipea kui asjad koju viiakse ja need oma pakenditest vabanevad, teevad need läbi muundumise „kaupadest" teise faasi, „ruumitäiteks (clutter)." Ruuumitäide elab oma omanikuga kas kuid või aastaid. Selle aja vältel omanik enamasti ignoreerib ruumitäidet, ostes poodidest järjest uusi kaupu. Lõpuks muundub ruumitäide kaasaegses alkeemias oma viimasesse faasi, prügiks. Treenimata silmal võib olla raske eristada  „prügi" väga ihaldusväärsest „kaubast", mis see kunagi oli. Sellegipoolest maksab omanik selles faasis prügifirmale, et see asja ära viiks.

Ütleme et me tahame mõista asjade täielikku energiahinda, näiteks et paremaid asju disainida. Seda nimetatakse elutsükli analüüsimiseks. Tavaliselt jagatakse kõikide asjade energiahind neljaks, olgu selleks siis juukseföön või kruiisilaev:

Faas M: Materjalide tootmine. See faas sisaldab mineraalide kaevandamist, sulatamist, puhastamist ja modifitseerimist, nii et sellest saab tootjate lego: näiteks plastmass, klaas, metallid ja keraamika. Selle faasi energiahind sisaldab materjalide transporti selle järgmisesse sihtkohta.

Faas T: Tootmine. Selles faasis töödeldakse materjale nii, et neist saab toode. Juukseföönide küttekehasid ja kestasid vormiv ja neid hoolikalt koostav tehas kasutab soojust ja valgust. Selle faasi energiahind sisaldab pakendamist ja edasist transporti.

Faas K: Kasutamine. Nii juukseföön kui ka kruiisilaev tarbivad energiat, kui neid sihipäraselt kasutada.

Faas J: Jäätmekäitlus. See faas sisaldab energiat, mis kulub asjade uuesti auku panemisele (prügilad) või asjade uuesti toormeks muutmisele (taaskasutus); samuti asjadega kaasneva reostuse likvideerimisele.

Kui tahame teada, kui palju energiat asjadeks kulub, peame hindama kõigi nende faaside energiahinda. Tavaliselt on ühe faasi panus energiahinda ülejäänutest palju suurem, nii et mõistliku hinnangu saamiseks peame hindama korrektselt vaid selle domineeriva faasi panust. Kui tahame mõnd asja selle energiahinna vähendamiseks ümber disainida, peame keskenduma just domineeriva faasi energiahinna vähendamisele, hoolitsedes samas selle eest, et ülejäänud faaside energiahind ei suureneks.

Ärme hinda detailselt kõikvõimalike asjade tootmise ja transportimise energiakulu vaid uurime mõnd tavalist näidet: joogitaara, arvutid, patareid, spämm, autod ja majad. See peatükk keskendub faaside M ja P energiahinnale. Neid kutsutakse mõnikord ka asjade „manus-” (embodied) ehk „vistutatud” (embedded) energiaks – see on veidi segadusttekitav, kuna sõna otseses mõttes ei ole see energia asjade sees.

Joogitaara

Oletame, et teil on harjumus juua kokakoolat: te joote päevas viis purki rahvusvahelist kemikaali ja viskate alumiiniumpurgid minema. Nende asjade (purgid) juures on domineerivaks faasiks materjalid. Metallide, eriti alumiiniumi tootmine on väga energiamahukas. Ühe alumiiniumist joogipurgi tootmiseks kulub . Nii et selline viis-ühe-päevaga harjumus raiskab energiat kiirusega .

Mis puutub PET-plastikust tehtud tavalisse plastikpudelisse (mis kaalub ), siis selle manusenergia on – sama palju kui alumiiniumpurgil!

Tabel 2.12: Materjalide manusenergia

Manusenergia ()
fossiilkütused
puit
paber
klaas
PET-plastik
alumiinium
teras


Muud pakendid

Keskmine britt viskab iga päev ära pakendeid – peamiselt toidu pakendeid. Pakendite manusenergia on vahemikus kuni kilogrammi kohta, kui me alustame klaasist ja paberist ning lõpetame plastiku ja alumiiniumiga. Kui võtame tüüpiliseks manusenergiaks , saame energiajalajäljeks . Väikese osa sellest energiast saab tagasi jäätmete põletamisel, räägime sellest peatükis Viis energiaplaani Suurbritanniale.

Joonis 15.4: Mikrokiipide tootmine. Foto: ABB. Ühe personaalarvuti tootmine kahe aasta kohta maksab päevas.

Arvutid

Arvuti tootmine maksab energiat. Nii et kui te ostate uue arvuti iga kahe aasta tagant,teeb see energiakuluks päevas.

Akud ja patareid

Ühe mahutava ja kaaluva nikkel-kaadmium aku tootmiseks kulub (faasid M ja T). Kui ühe patarei energiahind on samasugune, tähendab kuus kahe AA patarei ära viskamine umbes . Patareide energiahind on meie energiatarbimises niisiis pigem vähetähtis komponent.

Ajalehed, ajakirjad ja rämpspost

Raudteejaamades vabalt jagatava ajalehe kaal on . Cambridge Weekly News ( lehekülge) kaalub . The Independent ( lehekülge) kaalub . Tasuta postkastidesse ilmuv kinnisvara reklaamiv läikpaberil ajakiri ja Cambridgeshire Pride Magazine (32 lehekülge) kaaluvad vastavalt ja . See lugemismaterjali ja rämpsposti voog, mis meie postkastidest läbi jookseb, sisaldab energiat. Ja nende tootmiseks ja kohaletoomiseks kulub energiat. Paberi manusenergia on kilogrammi kohta. Nii et tüüpilise, paberit sisaldava (näiteks üks Independent päevas) rämpspostist, ajakirjadest ja ajalehtedest koosneva päevase postivoo manusenergia on umbes .

@[249350,249351]@

Paberi taaskasutus hoiaks kokku umbes poole tootmise energiast; jäätmete tuhastamine või põletamine kodu kütmisel rakendab osa selle manusenergiast.

Suuremad asjad

Majad

Suurim asi, mille enamus inimesi ostab, on maja.

Peatükis Asjad II, hindame me uue maja ehitamise energiahinda. Oletades, et me asendame majad iga aasta tagant, on nende hinnanguline energiahind . See on vaid majakarbi energiahind – vundament, tellised, plaadid ja katusetalad. Kui oletame ka, et igas majas elab keskmiselt elanikku, saame majade ehitamise keskmiseks energiakuluks päevas inimese kohta.

Autod

Kuidas on aga autode ja teedega? Autosid me tavaliselt omame, teesid aga jagame. Uue auto manusenergia on – nii et kui me ostame ühe sellise iga aasta tagant, teeb see keskmiseks energiahinnaks  päevas.

Teed

Treloar, Love ja Crawford elutsükli analüüs hindab, et Austraalias maksab tee ehitamine meetri kohta (raudbetoonist tee) ja koos hoolduskuludega on kogukuluks  aasta jooksul meetri kohta. Tuletame sellest umbkaudse Briti teede energiahinna. Meil on miili maanteid ja esimese klassi teid (va kiirteed). Võttes aluseks meetri ja aasta kohta annab, saame inimese kohta.

Asjade transport

Siiani oleme püüdnud hinnata personaalset tarbimist. „Kui sa viskad ära viis koka purki, siis maksab see ; kui sa ostad The Independenti, siis maksab see ." Siit edasi vaatleme asju pisut üldisemalt. Hinnates asjade transportimiseks kuluvat energiat riigis või tervel planeedil lähtun ma riikide kohta käivatest numbritest ja jagan need elanike arvuga.

Kaubatransporti mõõdetakse tonn-kilomeetrites (t-km). Kui viime ühe tonni Karjala pirukaid kaugusele (joonis 15.5), siis oleme panustanud t-km. Maanteetranspordi energiatihedus Ühendkuningriikides on umbes t-km kohta.

Joonis 15.4: Toidumiilid – Cornwallis käsitsi tehtud pirukad viiakse tarbimiseks kaugusele Cambridge'i.
Joonis 15.6: Konteinerlaev Ever Uberty Thamesport Container Terminal'is. Foto: Ian Boyle www.simplonpc.co.uk.

Kui joonisel 15.6 kujutatud konteinerlaev transpordib tonni kaupu kaugusele, siis panustab see kaubatransporti miljonit tonn-kilomeetrit. Konteinerlaevadega teostatava kaubatranspordi energiaintensiivsus on tonn-kilomeetri kohta. Pange tähele, kui palju efektiivsem on konteinertransport võrreldes maanteetranspordiga. Erinevate transpordiliikide energiaintensiivsused leiate jooniselt 15.8.

Joonis 15.8: Erinevate transpordiliikide energiakulu. Vertikaalne telg näitab tarbitud energiat -des tonn-kilomeetri kohta (st kauba, mitte sõiduriista enda transportimiseks kuluvat energiat tonn-kilomeetrites). Vaata ka joonist 20.23 (reisijate transportimiseks kuluv energia).

Asju transporditi Suurbritannias 2006. aastal raskeveokitega mööda maanteid mahus 156 miljardit tonn-kilomeetrit. Jagades selle miljoni elaniku vahel, saame päevas inimese kohta, mis maksab päevas inimese kohta (kui eeldame, et energiaintensiivsuseks on tonn-kilomeetri kohta). Muide, neljandiku sellest transpordist moodustas söök, jook ja tubakas.

Transport mööda vett

Energiaintensiivsus: Laevatransport 1

2002. aastal läbis Suurbritannia sadamaid miljonit tonni kaupu. Tyndall Centre'i arvutuste kohaselt on Suurbritannia panus rahvusvahelisse laevandusse inimese kohta.

Vee transport, tualetis käimine

Energiaintensiivsus: Vesi

Vesi ei ole eriti glamuurne asi, aga me kasutame seda väga palju – ligikaudu liitrit päevas inimese kohta. Vastu anname me veefirmadele heitvett ligikaudu liitrit päevas inimese kohta. Vee kanalisatsioonis mööda riiki ringi pumpamise ja reovee puhastamise energiahind on ligikaudu  päevas inimese kohta.

Veetransport vajab energiat, kuna laevad teevad laineid. Sellegipoolest on kaupade transport mööda veeteid üllatavalt energiaefektiivne.

Magestamine

Käesoleval ajal ei kuluta Ühendkuningriigid energiat vee magestamisele. Aga me arutame Londonisse magestusjaamade rajamise üle. Mis on soolase vee magedaks veeks muutmise energiahind? Kõige vähem energiat nõudev meetod on osmoos. Võta membraan, mis laseb läbi ainult vett, pane selle membraani ühele küljele soolane vesi ja survesta see. Vesi immmitseb vastumeelselt läbi membraani, selle tulemusena tekib puhtam vesi – vastumeelselt, kuna puhtal, soolast eraldatud veel on madalam entroopia ja loodus eelistab kõrgema entroopia seisundeid alati, mil kõik on omavahel segamini. Me peame segatud asjade üksteisest eraldamiseks maksma kõrgema sordi energiaga.

Jersey saarel asub magestusjaam, mis suudab toota puhast vett päevas (joonis 15.10). Kui arvestame ka pumpasid, mis vett merest välja ja läbi erinevate filtrite pumpavad, kasutab kogu jaam võimsust . See teeb kuupmeetri toodetud puhta vee energiahinnaks . Kui maksaksime kuupmeetri eest, nõuaks -liitrine vee tarbimine päevas.

Joonis 15.10: Osa Jersey Water magestusjaama pöördosmoosi seadmetest. Ees paremal on pump, mille võimsus on ja mis uhab merevett 65 baarise rõhu all -sse spiraalsesse membraani, mis asuvad sinistes horisontaalsetes torupankades (vasakul), andes päevas puhast vett. Selle tehase toodetud puhta vee energiahind on kohta.

Asjade jaemüük

Energiaintensiivsus: Supermarketid

Ühendkuningriikide supermarketid tarbivad umbes energiat aastas. Jagades selle võrdselt miljoni õnneliku poodleja vahel, saame võimsuseks päevas inimese kohta.

Kui olulised on imporditud asjad

Standardsetes Briti energiatarvet või süsinik-jalajälge kajastavates dokumentides ei ole imporditud kaupu arvestatud. Suurbritannia on ajalooliselt oma asju ise tootnud, meie süsinik-jalajälg inimese kohta oli 1910. aastal sama suur kui see on täna Ameerikas. Täna ei tooda Suurbritannia nii palju (nii et meie süsinik-jalajälg on veidi vähenenud), aga meile asjad jätkuvalt meeldivad ning me laseme neid teha teistel riikidel. Kas me peaksime imporditud asjade energiahinda ignoreerima? Mina nii ei arva. Dieter Helm oma kolleegidega Oxford'is on hinnanud, et korrektse arvepidamisega suureneb Suurbritannia süsiniku jalajälg võrreldes ametliku „ tonni inimese kohta" peaaegu kahekordseks, kuni ligikaudu tonnini. See viitab sellele, et suurima panuse keskmise Briti inimese energiajalajäljes annab imporditud asjade tootmise energiahind.

Peatükis Asjad II uurime me seda täpemalt, vaadates Suurbritannia impordi kaalu. Kütust arvestamata impordime me igal aastal veidi üle tonni asju inimese kohta, millest ligikaudu tonni inimese kohta moodustavad sellised töödeldud ja toodetud asjad nagu sõidukid, masinad, kodutehnika ning elektroonika. See teeb ligikaudu päevas inimese kohta. Sellised kaubad on enamasti toodetud materjalidest, mille energiahind on vähemalt kilogrammi kohta. Seetõttu hindan selle virna autode, külmikute, mikrolaineahjude, arvutite, koopiamasinate ja televiisorite manusenergiaks vähemalt päevas inimese kohta.

Kõigi nende asjade ja asjade transpordi arvestamiseks lisan ma tarbimise tulpa tootmise eest päevas inimese kohta (koosneb vähemalt impordi, päevalehtede, teedeehituse, elamuehituse ja pakendamise kilovatt-tunnist); ja siis veel inimese kohta päevas transpordi eest mööda merd, maanteid ja torujuhtmeid ning toidu säilitamise eest supermarketites.

Joonis 15.11: Asjade tootmine maksab vähemalt . Asjade kohale toimetamine maksab .

Raba tööd, et šhopata.

Vanasõna

Märkused ja edasine lugemine

Ühe alumiiniumist joogipurgi tootmiseks kulub . Purgi kaal on . Alumiiniumi tootmise koguenergiahind jääb vahemikku kuni . [yx7zm4], [r22oz], [yhrest]. Kasutatud illustratsioon pärineb Alumiiniumi Assotsiatsioonilt [y5as53]: kilogrammi alumiiniumi kohta ().

Plastikpudeli manusenergia Allikas: Hammond ja Jones (2006) – PET-manusenergia on kilogrammi kohta.

Keskmine britt viskab iga päev ära pakendeid. 1995. aastal kasutati Suurbritannias pakendeid inimese kohta (Hird et al., 1999).

Arvuti tootmine maksab energiat. Personaalarvuti tootmiseks kuluvate fossiilkütuste kaal (materjalide ja energiana) on umbes korda suurem kui toodetud arvuti lõpuks ise kaalub. Külmiku tootmiseks kulub fossiilkütuseid kaaluga külmikut. Auto tootmiseks kaaluga autot. Williams (2004); Kuehr (2003).

... nikkel-kaadmium aku tootmiseks kulub . Allikas: Rydh ja Karlström(2002).

...teras... Swedish Steel ütleb: „Söe ja koksi kulu tonni terase tootmiseks on , mis võrdub ligikaudu tonni terase kohta. Õli, vedelgaasi ja elektrienergia kulu on tonni terase kohta. Kogu primaarenergia kulu on seega ligikaudu tonni terase kohta.” ( kilogrammi kohta.) [y2ktgg]

Uue auto manusenergia on Allikas: Treloar et al. (2004). Burnham et al. (2007) annab auto tervet elutsüklit katvaks energiahinnaks madalama väärtuse: . Üks erinevuse põhjus võib olla selles, et Burnham et al. eeldab, et auto materjale taaskasutatakse, vähendades seega materjalide manusenergiat.

Paberi manusenergia on kilogrammi kohta. Esmasest puidukiust ajalehtede tootmise enrgiahind on ligikaudu ja paber sisaldab umbes sama palju energiat kui puit, ligikaudu . (Allikas: Ucuncu (1993); Erdincler and Vesilind (1993).) Energiahind on erinevates vabrikutes erinev ja see erineb ka riigiti. Number pärineb 1973. aastast Rootsi paberivabrikust Norrström (1980), mille hinnangul oleks efektiivsuse tõstmisega võimalik energiahinda vähendada umbes väärtuseni . Hilisem täieliku elutsükli analüüs (Denison, 1997) hindab USA-s esmasest puidukiust ajakirjandusväljaannete tootmise energiahinnaks tüüpilise ladustamise ja tuhastamise vahekorra juures ; taaskasutatavatest materjalidest ajakirjandusväljaannete tootmise ja jäätmete käitluse energiahind on .

Maanteetranspordi energiaintensiivsuseks Suurbritannias on tonn-kilomeetri kohta. Allikas: www.dft.gov.uk/pgr/statistics/datatablespublications/

Konteinerlaevadega teostatava kaubatranspordi energiaintensiivsus on tonn-kilomeetri kohta. Konteinerlaeva Ever Uberty – pikkus , süvis – mahutab TEU-sid, kandevõime , sõidukiirus sõlme; selle mootori tavavõimsus on . Üks TEU on väikese, jalase konteineri mõõt – see on umbes . Enamik nüüdisajal kasutatavaid konteinereid on -jalased, suurusega TEU-d. -jalane konteiner kaalub tonni ja võib kanda tonni asju. Eeldades mootori kasutegurit saame laeva energiatarbimiseks keemilist energiat tonn-kilomeetri kohta. www.mhi.co.jp/en/products/detail/container_ship_ever_uberty.html

Suurbritannia panus rahvusvahelisse laevandusse ... Allikas: Anderson et al. (2006).

Joonis 15.8. Laevade energiakulu. Joonisel on viis punkti: konteinerlaev (), kuivlaadungi laev (), naftatanker (), siseveekogude laev () ja NS Savannah ().

Kuivlasti laev . mahutav laeva kandevõime on tonni. (Kandevõime on sellise hulga kauba mass, mida laev suudab kanda.) See sõidab kiirusega sõlme (); selle üks üks võimsusega mootor kasutab kütteõli kohta (kasutegur ). conoship.com/uk/vessels/detailed/page7.htm

Naftatanker Kaasaegne naftatanker kasutab [6lbrab]. Laadungi mass on . Mahtuvus: . Peamasin: maksimaalne võimsus . Kiirus juures: sõlme (). Laadungis sisalduv energia on miljonit . Nii et naftas sisalduv energia kasutatakse ära transpordis, mille pikkuseks on veerand ringi ümber maakera ().

Ro-ro laevad Wilh'i laevad. Wilhelmseni laevakompanii pakub kaubatransporti energiahinnaga kuni [5ctx4k].

Vee kanalisatsioonis mööda riiki ringi pumpamise ja reovee puhastamise hind on ligikaudu  päevas inimese kohta. Kogu veetööstuses kasutatud energia aastatel 2005-2006 oli . vee kohaletoimetamise energiahind on . reovee käitlemise energiahind on . Kui te olete huvitatud kasvuhoonegaaside emissioonidest, siis veevärgi jalajälg on kohaletoimetatud vee kohta ja reoveel reovee kohta.

Kodumajapidamiste veetarve on liitrit päevas inimese kohta. Kogu veetarbimine on inimese kohta. Vee kaod on liitrit päevas inimese kohta. Allikad: Parliamentary Office of Science and Technology [www.parliament.uk/documents/upload/postpn282.pdf], Water UK (2006).

Teler

Ühendkuningriikide supermarketid tarbivad aastas umbes energiat.[yqbzl3]

Helm on hinnanud, et korrektse arvepidamisega suureneb Suurbritannia süsiniku jalajälg kuni ligikaudu tonnini. Helm et al. (2007).

Geotermiline
Kust tuleb geotermiline energia?
Joonis 16.1: Maa ristlõige.

Geotermiline energia tuleb kahest allikast: maakoores toimuvast radioaktiivsest lagunemisest ja Maa tuumast läbi vahevöö immitsevast soojusest. Maa tuum on soe, sest kunagi hõõguv-kuum olnud Maa ikka veel jahtub ja tahkestub; tuuma soojus suureneb ka loodetes tekkivast hõõrdumisest: Maa deformeerub Päikese ja Kuu gravitatsiooniväljas üsna samamoodi kui deformeerub käte vahel muljutav või rullitav apelsin.

Joonis 16.2: Tükk graniiti.

Geotermiline energia pakub meile huvi, sest see „töötab" sõltumata ilmast; kui me ehitame geotermilise energia jaamad, siis võime neid sisse ja välja lülitada vastavalt vajadusele.

Aga kui palju on geotermilist energiat? Me võime hinnata kahte tüüpi geotermilist energiat: see mis on kättesaadav suvalisest maakoore punktist ja see, mida võib saada erilistest kuumadest kohtadest nagu Island (joonis 16.3). Kuigi geotermilise tehnoloogia arendamiseks on sellised kuumad kohad kindlasti sobivaimad, eeldan ma järgnevas, et põhiline energia saab tulla „tavalistest" kohtadest, sest neid on lihtsalt nii palju rohkem.

Joonis 16.3: Geotermiline energia Islandil. 2006. aastal toodeti Islandil (elanikkond ) geotermilist energiat keskmiselt ( inimese kohta). Enam kui pool Islandi elektrienergiast leiab kasutust alumiiniumi tootmises. Foto Gretar Ívarsson.

Jätkusuutliku geotermilise energia tootmise keerukus seisneb selles, et kiirus, millega soojus läbi kivimite liigub, piirab Maa hõõguvpunasest sisemusest soojusenergia jätkusuutlikku välja imemise kiirust. See on umbes nagu jääjoogi joomine läbi kõrre. Sa pistad kõrre selle sisse ja imed ning saad mõnusa suutäie külma vedelikku. Aga jätkamisel leiad, et imed õhku. Sa oled kõrre otsa ümbritsevast jääst eraldanud kogu vedeliku. Sinu esmane imemise kiirus ei olnud jätkusuutlik.

Kui pista kõrs -km sügavusse auku maas, siis seal on hea ja soe - kindlasti piisavalt soe vee keetmiseks. Nii et me võiksime pista auku kaks kõrt, pumbata ühe kaudu alla külma vett ja imeda teise kaudu vett üles. Nii imeksime üles auru ja võiksime käima panna jõujaama. Piiramatu energia? Ei. Kivimitest soojuse välja imemisel selle temperatuur langeb. Me ei imenud jätkusuutlikult. Nüüd peate tükk aega ootama, kuni kivi kõrre otsa ümbruses uuesti soojeneb.

Võimalik lahendus sellele probleemile oleks see, kui käsitleksime geotermilist energiat samal viisil, nagu fossiilkütuseid: ressurss, mida tuleb kaevandada, mitte jätkusuutlikult koguda. Sellisel viisil geotermilise energia kulutamine võib olla planeedile parem kui jätkusuutmatu fossiilkütustel põhinev elu; aga võib-olla on see ainult järjekordne ajutine abinõu, mis annab meile veel aastat jätkusuutmatut elu? Selles raamatus oleme eelkõige huvitatud taastuvenergiast. Teeme oma rehkendused.

Geotermiline energia oleks igavesti taastuv 

Kujutlegem esmalt, et me kasutame geotermilist energiat jätkusuutlikult nii, et pistame kõrre sobilikku sügavusse ja imeme ettevaatlikult. Ehk siis imeme sellise kiirusega, et kivimid kõrre otsas ei jahtuks. See tähendaks imemist kiirusega, millega soojus niikuinii maapinnast välja voolab.

Nagu eespool öeldud sai, leidub geotermilise energia saamiseks kaks allikat: radioaktiivne lagunemine ja Maa tuumast soojuse immitsemine läbi vahevöö. Tüüpilisel kontinendil on soojuse voog läbi vahevöö ligikaudu . Soojuse voog läbi maapinna on . Nii et radioaktiivne lagunemine lisab täiendavalt .

Joonis 16.4: Tüüpilise mandri temperatuuriprofiil.

Nii et tüüpiliselt on maksimaalne geotermilise energia voog ühikpindala kohta . Aga see energia ei ole mitte kõrgema sordi energia vaid üles immitsev keskkonna temperatuuril oleva maapinna madala sordi soojusenergia. Eeldatavasti tahame me toota elektrienergiat ja just sellepärast peame me puurima sügavamale. Soojus on kasulik vaid siis, kui selle allikas on ümbritsevast keskkonnast kõrgemal temperatuuril. Maapõue temperatuur kasvab sügavuse suurenedes, nagu näidatakse joonisel 16.4: sügavusel jõuab see temperatuurini ligikaudu . Sügavuste , kus soojusvoog on suurim, aga kus kivimite temperatuur on liiga madal, ja , kus on kõige kuumem aga kus soojusvoog on korda väiksem (sest me jääme ilma kogu radioaktiivsest lagunemisest saadavast soojusest) vahel on sügavus, mis on soojuse imemiseks optimaalne. Täpne optimaalne sügavus sõltub sellest, milliseid seadmeid me jõujaamas kasutame. Me saame piiritleda maksimaalse jätkusuutlikult kättesaadava soojusenergia koguse kui leiame selleks optimaalse sügavuse, kasutame soojuse elektriks muundamiseks ideaalset masinat ja kui eeldame, et suvalisele sügavusele puurimine on tasuta.

Joonisel 16.4 näidatud temperatuuri profiili jaoks on minu arvutuste kohaselt optimaalne puurimise sügavus umbes . Sellistel tingimustel annab ideaalne soojusmasin . Kui kogumaailmas on elanike asustustihedus inimest ruutkilomeetri kohta, siis teeb see inimese kohta päevas, kui kogu maapind oleks kasutuses. Ühendkuningriikides on asustustihedus korda suurem, nii et suuremahulise igavesti jätkusuutliku geotermilise energia tootmise võimsus saab olla maksimaalselt inimese kohta päevas. See hinnang ei arvesta kuumi punkte, eeldab ideaalseid jõujaamasid ning eeldame, et iga maapinna ruutmeeter on kasutuses ja et puurimine ei maksa midagi. Ja et sügavuste aukude puurimine on üleüldse võimalik.

Geotermiline energia kaevandamine 

Joonis 16.5: Geotermilise energia eraldamine kuumast kuivast kivimist. Esmalt puuritakse üks auk ja selle survestamisega tekitatakse praod. Teine auk puuritakse pragunenud ala kaugemasse külge. Kui nüüd pumbata külma vett ühest august sisse, siis imetakse teisest välja soe vesi (tegelikult aur).

Teine geotermilise energia strateegia on käsitleda seda kaevandatava maavarana. Tõhustatud geotermilise energia eraldamisel (enhanced geothermal extraction) kuumadest kivimitest (joonis 16.5) puuritakse kõigepealt  kuni sügavuseni ja purustatakse sinna vett pumbates kivimid. (See samm võib põhjustada maavärinaid, mis ei pruugi kohalikele elanikele meeldida.) Pärast seda puuritakse teise kaevu purustatud kivimiteni. Pumbates ühte kaevu vett, saadakse teisest ülekuumenenud vett või auru, mida saab kasutada elektri tootmiseks või soojuse saamiseks. Kui palju kuuma ja kuiva kivimit on Ühendkuningriikides? Kahjuks ei ole me hästi varustatud. Suurem osa kuumi kivimeid asuvad peamiselt Cornwalli piirkonnas. Seal viidi 1985. aastal läbi ka mõned geotermilised eksperimendid. Eksperimendi tulemusi uurinud eksperdid jõudsid järeldusele, et „Lühemas või keskmises perspektiivis on Cornwallis kuumadest kuivadest kivimitest elektrienergia tootmine vaevalt tehniliselt või majanduslikult teostatav.” Sellegipoolest, kui suured on need varud? Suurim kuumade kuivade kivimite energiavaru hinnang Ühendkuningriikides on , millest ekspertide arvamuse kohaselt on mõeldav saada kätte päevas inimese kohta umbes aasta jooksul.

Southamtptoni asukoht.

Maailmas on kohti, kus kuumade ja kuivade kivimite varu on paljulubavam, nii et oma riigi geotermiliste varude kohta peaksite küsima kohalikelt. Aga Suurbritannia jaoks saab geotermiline energia kahjuks mängida vaid imeväikest osa.

Kas Southampton juba ei kasuta geotermiliste energiat? Kui palju seda saadakse?

Jah, Southampton'i Geotermilise Küttevõrgu Plaan oli vähemasti 2004. aastal ainus geotermilist soojust kasutav soojussüsteem Ühendkuningriikides. See varustab linna sooja veega. Geotermiline kaev on osa kombineeritud soojendavast, elektrit tootvast ja jahutavast süsteemist, mis annab klientidele kuuma ja jahutatud vett ning müüb võrku elektrienergiat. Geotermiline energia annab umbes selle süsteemi toodetavast soojusenergiast aastas. Southamptoni elanike arv viimase loenduse andmetel oli 217 445, nii et toodetud geotermiline energia Southamptonis on inimese kohta.

Joonis 16.6: Geotermiline.

Märkused ja edasine lugemine

Soojusvoog maapinnal on . Massachusettsi Tehnoloogiainstituut (2006) pakub keskmiseks , mis muutub USA-s vahemikus kuni . Shepherd (2003) annab .

Kuumadest kuivadest kivimitest elektrienergia tootmine Ühendkuningriikides on vaevalt tehniliselt või majanduslikult teostatav. Allikas: MacDonald et al. (1992). Vaata ka Richards et al. (1994).

Suurim kuumade kuivade kivimite energiavaru hinnang Ühendkuningriikides on ... millest oleks mõeldav saada  inimese kohta päevas umbes  aasta jooksul. Allikas: MacDonald et al. (1992).

Maailmas on kohti, kus kuumade ja kuivade kivide varu on paljulubavam. USA kuumade kuivade kivide varudest on olemas põhjalik uurimus (Massachusetts'i Tehnoloogiainstituut, 2006). Üks teine, spekulatiivsem lähenemine, mida uuris 1970-ndatel Sandia Riiklik Laboratoorium, on puurida kuni magmani temperatuuridel , võib-olla sügavusele ja võtta energiat sealt. Veebilehe www.magma-power.com arvutuste kohaselt kataks magmabasseinide soojus USA pinna all riigi energiavajaduse või aastaks ja seda on võimalik kätte saada majanduslikult tasuval viisil.

Southampton'i Geotermilise Küttevõrgu Plaan. www.southampton.gov.uk.

Avalikud teenused
Avalikud teenused

Iga valmistatud relv, rannast lahkunud sõjalaev, õhku tulistatud rakett kujutab endast lõpp-kokkuvõttes vargust: varastatakse neilt, kes on näljas ja süüa ei saa; neilt, kellel on külm ja kellele riideid ei anta.

Võidurelvastuses maailm ei raiska seda raha üksinda. See kulutus tehakse tööliste higi, teadlaste intelligentsi ja laste lootuste arvelt.

President Dwight D. Eisenhower – aprill, 1953

Kaitsetööstuse" energiahind 

Proovime hinnata, kui palju energiat me oma sõjaväele kulutame.

Aastatel 2007– 2008 oli kaitsekulutuste osakaal Briti keskvalitsuse eelarves £ miljardit £ miljardist = . Kui liidame siia juurde Suurbritannia kulutused terrorismivastasele võitlusele ja luurele (£ miljardit igal aastal ja see kasvab), saame kaitsekulutuste kogumahuks £ miljardit.

Jämedalt võime hinnata, et sellest £ miljardist kulutatakse energiale hinnaga p kohta. ( on rahvuslikust koguproduktist (GDP) energiale kulutatav osa ja p on keskmine energia hind.) See teeb kokku umbes aastas, mis läheb kaitsele: padrunite, pommide ja tuumarelvade valmistamiseks, padrunite, pommide ja tuumarelvade kohale toimetamiseks, abiseadmete valmistamiseks ja järgmiseks hea-kurja-vastu mänguks valmistumiseks. Meie lemmikühikutes teeb see päevas inimese kohta.

Tuumaheidutuse hind 

USA kulutused tuumarelvade tootmisele ja paigaldamisele aastatel 1945 kuni 1996 olid triljonit (1996. aasta dollarites).

Kulutused tuumarelvadele ületasid sellel ajaperioodil kulutused, mis tehti kokku haridusele, põllumajandusele, koolitustele, tööhõivele ja sotsiaalteenustele, loodusvaradele ja keskkonnale, teadusele, kosmosele ja tehnoloogiale, kogukondlikule ja regionaalsele arengule (kaasaarvatud looduskatastroofide kulud), korrakaitsele ja energia tootmisele ja selle reguleerimisele.

Kui me jällegi eeldame, et nendest kulutustest läks energiale hinnaga p kohta, siis saame tuumarelvade energiahinnaks iga ameeriklase kohta ehk päevas ameeriklase kohta (jagatuna miljoni ameeriklase vahel üle aasta).

Kui palju energiat oleks saadetud õnnelikule adressaadile, kui kõik need tuumarelvad oleks käiku lastud? USA ja Nõukogude Liidu poolt arendatud suurimaid termotuumarelvi mõõdetakse TNT megatonnides. Üks tonn TNT-d on . Hiroshima hävitanud pommi energia oli tonni TNT-d ( miljonit ). Megatonnine pomm viib kohale miljardit energiat. Kui selline visatakse ühe miljoni elanikuga linnale, annetatakse igale inimesele , mis on samaväärne liitri bensiiniga elaniku kohta. Täna on USA tuumarelvade arsenali koguenergia megatonni ja see sisaldub  tuumalõhkepeas. Vanadel headel aegadel, kui rahvas võttis kaitset tõsiselt, oli tuumaarsenali energia megatonni. Kui need pommid oleks käiku lastud, oleks iga ameeriklase kohta kohale toimetatud umbes . See on samaväärne päevas inimese kohta aasta jooksul – see on umbes sama palju kui ameeriklastele toodetud elektrienergia kõigis nende tuumaelektrijaamades kokku.

Pommide tuumamaterjali tootmise energiahind 

Peamised tuumamaterjalid on plutoonium, mida USA on tootnud , ja rikastatud uraan (high-enriched uranium ehk HEU), mida USA on tootnud . Nende materjalide tootmiseks kulub energiat.

Kõige efektiivsemas plutooniumi tootmise tehases kulub plutooniumi tootmiseks soojusenergiat. Nii et tonni plutooniumi tootmise otsene energiakulu USAle aastatel 1945–1996 oli vähemalt triljonit , mis teeb inimese kohta päevas (kui jagada see miljoni ameeriklase vahel).

HEU peamine energiakulu on rikastamine. ja aatomite eraldamiseks ja lõpp-produkti - suurema  sisaldusega uraani - saamiseks on vaja teha tööd. USA toodetud tonni rikastatud uraani (USAs kokku aastatel 1945–1996) energiakulu on ligikaudu päevas inimese kohta.

Trident loob töökohti.” Noh, töökohti looks ka see, kui mässiksime oma koolid asbesti, aga me ei pea seda veel sellepärast tegema!


Marcus Brigstocke

Ülikoolid

Ajalehe Times lisa Higher Education (30. märts 2007) andmetel kasutavad Ühendkuningriikide ülikoolid miljardit aastas. Kui jagame selle kogu elanikkonna vahel, teeb see võimsuseks päevas inimese kohta. Nii et kõrgharidusel ja teadusel näib olevat palju väiksem energiahind kui kaitseotstarbelisel sõjamängul.

Võib-olla on teisigi energiat tarbivaid avalikke teenuseid millest rääkida, aga me võtame siinkohal punase ja rohelise tulba võidujooksu kokku.

Joonis 17.1: Kaitsekulutuste energiahind Ühendkuningriikides ühe inimese kohta on ligikaudu päevas.

Märkused ja edasine lugemine 

Kaitse-eelarve. Ühendkuningriikide eelarve võib leida [yttg7p]; riigikaitse võtab £ miljardit [fcqfw] ja luure ning terrorismivastane võitlus £ miljardit aastas [2e4fcs]. Vastavalt valitsuse 2007/2008 eelarvele [33x5kc] on kaitseministeeriumi koguresursside eelarve suurem number, £ miljardit, millest £ miljardit läheb „kaitsevõime varustusele” ja £ miljardit sõjaväe palkadeks ja pensioniteks. Selle eelarve lahtikirjutise võib leida siit: [35ab2c]. Vaata ka [yg5fsj], [yfgjna] ja www.conscienceonline.org.uk.

USA sõjanduse energiatarbimine on avaldatud: „Kaitseministeerium on suurim energiatarbija Ameerika Ühendriikides. 2006. aastal kulutas see miljardit dollarit miljoni barreli mootorikütuse [ligikaudu miljardit ] ja miljardi elektrienergia ostmiseks” (USA Kaitseministeerium, 2008). See number kajastab otsest kütuse ja elektri kasutamist, kuid ei sisalda sõjaliste mänguasjade manusenergiat. Jagatuna USA miljonilise rahvastikuga teeb see inimese kohta.

USA kulutused tuumarelvade tootmisele ja paigaldamisele aastatel 1945 kuni 1996 olid triljonit (1996 aasta dollarites). Allikas: Schwartz (1998).

Plutooniumi tootmise energiahind. [slbae].

USA toodetud tonni rikastatud uraani ... ja rikastatud nimetatakse madala rikastusastmega uraaniks (low-enriched uranium, LEU). -ni rikastatud uraani nimetatakse kõrge rikastusastmega uraaniks (high-enriched uranium, HEU). Kõrge rikastusastmega uraani tootmiseks rikastusastmega uraanist kulub kolm korda rohkem energiat kui uraani tootmiseks selle looduslikust olekust. Tuumaenergiatööstus mõõdab seda energiavajadust ühikutes, mida nimetatakse eraldustöö ühikuks (separative work unit ehk SWU). Kilogrammi HEU-na tootmiseks kulub SWU-d.   LEU-na tootmiseks (-s LEU-s) kulub ligikaudu SWU. Mõlemal juhul alustatakse looduslikust uraanimaagist ( ) ja jäetakse kõrvale eraldatud uraan, milles on -i.

Tuumkütuse turul hinnatakse ühe SWU hinnaks dollarit. Tüüpilise tuumaelektrijaama aastase rikastatud uraani koguse tootmiseks kulub ligikaudu SWU-d. Täna on kommertskasutuses kaks uraani rikastamise meetodit: gaasiline difusioon ja gaasi tsentrifuugimine. Gaasilise difusiooni protsess kasutab ligikaudu SWU kohta, samas kui kaasaegsed gaasi tsentrifuugimise jaamad kulutavad ainult ligikaudu SWU kohta. [yh45h8], [t2948], [2ywzee]. Kaasaegne tsentrifuug toodab ligikaudu SWU-d aastas.

USA kõrgrikastatud uraani toodang aastatel 1945-1996 - tonni - maksab miljonit SWU-d, mis teeb inimese kohta (kui arvestame miljoni ameeriklasega ja võtame difusioonrikastamise hinnaks ).

Kas me suudaks elada taastuvenergiast?
Kas me suudame elada taastuvenergiast?
Joonis 18.1: Mängu seis pärast kõigi tranditsiooniliste taastuvenergia allikate liitmist.

Joonisel 18.1 annab punane tulp kokku päevas inimese kohta. Roheline tulp annab kokku . See on tihe rebimine! Aga pidage meeles: tootmise tulba arvutamisel jätsime me kõrvale kõik majanduslikud, sotsiaalsed ja keskkonnaga seotud piirangud. Lisaks sellele välistavad mõned panused rohelisse tulpa arvatavasti üksteist: näiteks sooja vee ja elektrienergia tootmiseks mõeldud päikesepaneelid põrkuvad üksteisega katustel ja meie maapinnast hõlvavad päikesefarmid peaksid võistlema biomassi tootmisega, millega me katsime riigist. Kui me peaksime kaotama kasvõi ühe oma suurematest rohelistest panustajatest – näiteks kui me otsustame, et sügava avamere tuulepargid ei ole võimalikud või et riigi katmine päikesepatareidega hinnaga £ inimese kohta ei ole reaalselt võimalik – siis ei ole meie tootmise tulp enam sama kõrge kui kulutamise tulpa.

Enamgi veel: isegi kui meie punane kulutamise tulp on rohelisest tootmise tulbast madalam, ei tähenda see tingimata seda, et energiat on piisavalt. Televiisorit ei ole võimalik tööle panna kassitoiduga, samamoodi ei saa kassi toita tuuleturbiiniga. Energia eksisteerib erinevates vormides – näiteks keemilise, elektrilise, kineetilise või soojusenergiana. Et taastuvenergia plaan töötaks, peavad klappima nii energia vormid kui ka nende hulgad. Energia ühest liigist teise muundamine – keemilisest energiast elektrienergiaks, nagu tehakse fossiilkütustel töötavates jõujaamades, või elektrienergiast keemiliseks energiaks, nagu tehakse veest vesinikku tootvates jaamades – toob endaga tavaliselt kaasa suured kasuliku energia kaod. Me tuleme selle tähtsa punkti juurde tagasi viiendas peatükis Viis energiaplaani Suurbritannia jaoks, milles kirjeldatakse mõningaid ka tegelikult ots otsaga kokku tulevaid energiaplaane. Lisaks vaatame seal uuesti üle oma tarbimise ja tootmise hinnangud, võrdleme neid ametlike keskmiste ja teiste autorite hinnangutega ning arutleme selle üle, kui palju taastuvenergiat suudaks Suurbritannia sarnane riik reaalselt toota.

Selles peatükis esitame me järgmised küsimused:

  1. Kas punase tulba kõrgus on ligikaudu õige? Milline on Suurbritannia keskmine energiatarbimine? Uurime Suurbritannia ja mõne teise riigi ametlikke energiatarbimise numbreid.
  2. Kas ma olen taastuvenergia allikate potentsiaali ebaõiglaselt alahinnanud? Võrdleme meie rohelist tulpa erinevate organisatsioonide (seehulgas Sustainable Development Commission, Institution of Electrical Engineers ja Centre for Alternative Technology) poolt publitseeritud hinnangutega.
  3. Mis juhtub rohelise tulbaga, kui me võtame arvesse sotsiaalseid ja majanduslikke piiranguid?

Mõtleme punasest

Meie hinnang tüüpilise inimese tarbimisele (joonis 18.1) jõudis väärtuseni päevas. On tõsi, et paljud inimesed tõepoolest kasutavad nii palju energiat ja et paljud inimesed sooviksid vaid nii palju tarbida. Keskmine ameeriklane tarbib ligikaudu päevas. Kui tõstaksime oma tarbimise standardi sellele kõrgusele, muutuks roheline tootmise tulp punase tarbimise tulba kõrval üsna tühiseks. Kuidas on lugu aga keskmise eurooplase ja keskmise britiga? Euroopa keskmise „primaarenergia” (st kütustest saadud energia pluss tuule- ja hüdroenergia) tarbimine on ligikaudu päevas inimese kohta. Ka Ühendkuningriikides on keskmine energiakulu päevas inimese kohta. Need ametlikud keskmised ei sisalda aga kahte energiavoogu. Esiteks imporditud asjade „manusenergiat” (asjade tootmiseks kulunud energia) ei ole üldse arvesse võetud. Hindasime peatükis Asjad, et imporditud asjade manusenergia on vähemalt inimese kohta. Teiseks sisaldavad ametlikud „primaarenergia tarbimise” hinnangud vaid tööstuslikke energiavooge, seehulgas fossiilkütused ja hüdroelekter, ning ei pea silmas toidus leiduvat looduslikku manusenergiat: energiat, mis algselt fotosünteesis kokku koguti.

Teine erinevus meie koostatud punase tulba ja rahvusliku kogukulu vahel on see, et me oleme tarbimise peatükkides enamasti ignoreerinud kadusid, mis tekivad energia muundamisel ühest liigist teise ja selle transportimisel või ülekandmisel. Näiteks peatükis Autod hindasime me ainult kütuses sisalduvat energiat aga jätsime kõrvale rafineerimiseks kulunud energia ning samuti energia, mis kulub kütuse veeremiseks punktist A punkti B. Rahvuslik kogukulu arvestab kogu energiat enne muundamiskadusid. Tegelikult moodustavad muundamiskaod ligikaudu kogu rahvuslikust energiatarbimisest. Enamus muundamisega seotud kadudest leiab aset jõujaamades. Kaod elektrienergia transpordil võtavad ära kogu rahvuslikust energiatarbimisest.

Joonis 18.2: Lõppkasutuse järgi jagatud energiatarbimine ÜK Kaubandus- ja majandusministeeriumi andmetel.

Meie punast tulpa üles ehitades üritasime me ette kujutada kui palju energiat tarbib tüüpiline jõukas inimene. Kas see lähenemine on kallutanud meie ettekujutust erinevate tarbimise alaliikide tähtsusest? Uurime mõningaid ametlikke numbreid. Joonisel 18.2 on näidatud lõpptarbija energiakasutuse jaotust kategooriate lõikes. Kaks suurimat on transport ja küte (kuum õhk ja kuum vesi). Need kaks kategooriat domineerisid ka meie punases tulbas. Tore.

Vaatame lähemalt transporti. Oma punases tulbas me hindasime, et autoga igapäevaselt sõita on ligilähedane kord aastas Kaplinna lendamisele. Tabelist on näha erinevate transpordiliikide tähtsus rahvuslikul bilansilehel. Näeme, et lennundus on väiksem kui autotransport.

Tabel 2.13: Erinevate transpordiliikide energiatarbimine 2006. aastal kWh/p inimese kohta. Allikas: ÜK Transpordiamet (2007)
MaanteetransportNafta
RaudteetransportNafta0,4
VeeteedNafta1,0
LennukidNafta7,4
Kõik liigidElekter0,4
Kogu transpordis kasutatav energia

Kuidas näevad Suurbritannia numbrid välja võrdluses teiste riikidega? Joonis 18.4 näitab mitmete riikide ja regioonide energiatarbimist suhtena rahvuslikku koguprodukti (GDP). Energiatarbimise ja GDP vahel on olemas ilmne korrelatsioon: mida suurem on riigi GDP (elaniku kohta) seda rohkem võimsust inimese kohta tarbitakse.

Joonis 18.4: Võimsustarve ja rahvuslik koguprodukt (GDP) inimese kohta ostujõu pariteedina USA dollarites. Ruudud näitavad „kõrge arengutasemega" riike, ringid keskmise või madala arengutasemega riike. Joonis 30.1 näitab samu andmeid logaritmilises skaalas.
Joonis 18.5: Hong Kong. Foto: Samuel Louie ja Carol Spears.

Ühendkuningriigid on üsna tüüpiline kõrge GDP-ga riik, mida ümbritsevad Saksamaa, Prantsusmaa, Jaapan, Austria, Iirimaa, Šveits ja Taani. Ainus märkimisväärne erand reeglile „suur GDP tähendab suurt energiatarbimist” on Hong Kong. Hong Kong’i GDP inimese kohta on enam-vähem sama mis Suurbritannial, kuid selle energiatarbimine on umbes .

Sellest riikide võrdlusest teen ma järelduse, et Ühendkuningriigid on üsna tüüpiline Euroopa riik ja on seega heaks materjaliks juhtumiuuringule, milles küsime „Kuidas saaks kõrge elatustasemega riik taastuvenergiast ära elada?”

Mõtleme rohelisest

Inimesed ütlevad tihti, et Suurbritannial on palju taastuvenergia allikaid. Kas ma olen rohelise suhtes alatu olnud? Kas minu hinnangulised numbrid on lihtsalt üks rämpsuhunnik? Kas ma olen taastuvenergia tootmist alahinnanud? Võrdleme minu rohelise tulba numbreid Säästva Arengu Komisjoni poolt publitseeritud hinnangutega uurimustöös „Tuumaenergia roll madala süsinikujalajäljega majanduses."  emissiooni vähendamine – tuumaenergia ja selle alternatiivid. On märkimisväärne, et ehkki Säästva Arengu Komisjoni hinnang taastuvenergia varudele on väga positiivne („Meil on hiiglaslikud loode, laine, biomassi ja päikeseenergia varud”), on kõik nende dokumentides antud hinnangud minu omadest väiksemad! (Et täpne olla, on kõik nende hinnangud kogu taastuvenergia varudele minu omadest väiksemad.) Säästva Arengu Komisjon on publitseerinud nelja allika hinnangud (IEE, Tyndall, IAG ja PIU). Joonis 18.6 kõrvutab minu hinnanguid nende nelja allika numbritega ja lisaks Alternatiivtehnoloogiate Keskuse (Centre for Alternative Technology ehk CAT) numbritega. Järgnevas annas iga allika kohta ka kirjelduse.

Joonis 18.6: Hinnangud teoreetilistele ja praktilistele taastuvenergia allikatele Ühendkuningriikides. Allikad: Elektriinseneride Instituut (IEE), Tyndall'i Keskus, Ministeeriumidevaheliste Analüüside Grupp ning Arengu ja Innovatsiooniüksus (PIU); Samuti on toodud ära Alternatiivtehnoloogiate Keskuse „Island Britain” ettepanek 2027. aastaks.

IEE Elektriinseneride Instituut avaldas taastuvenergia raporti 2002. aastal – see on kokkuvõte võimalikest taastuvenergia panustest Ühendkuningriikides. Joonise 18.6 teine tulp näitab erinevate taastuvenergia tehnoloogiate „tehnilist potentsiaali" Ühendkuningriikides elektri tootmiseks – „ülemine piir, mille saavutamine on ebatõenäoline isegi dramaatiliste muutustega meie ühiskonna struktuuris ja majanduses.” Vastavalt IEE hinnangutele on kogu taastuvenergia allikate tehniline potentsiaal ligikaudu inimese kohta.

Tyndall Tyndalli Keskuse hinnang kogu praktikas kasutatavale taastuvenergia ressursile: päevas inimese kohta.

IAG Ministeeriumidevahelise Analüüside Grupi taastuvenergia hinnang võtab arvesse ka majanduslikke piiranguid. Nende hinnangul on kogu praktiliselt ja majanduslikult kättesaadav ressurss (müügihinnaga ) päevas inimese kohta.

PIU „PIU” tulp näitab „indikatiivset potentsiaalset taastuvenergia elektrienergia tootmiseks kasutatavat ressurssi” DTI panusest PIU ülevaatele 2001. aastal. Iga tehnoloogia juures näitan ma nende „praktilist maksimumi” või kui praktilist maksimumi ei ole antud siis „teoreetilist maksimumi.”

CAT Viimane tulp näitab Alternatiivtehnoloogiate Keskuse Island Britain plaani numbreid kujul, nagu need on leitavad uurimustöös Helweg-Larsen ja Bull (2007).

Bioenergial töötav Euroopa

Mõnikord öeldakse aga: "Me ju elasime enne Tööstusrevolutsiooni taastuvenergiaallikatest ilusti ära?" Jah, aga ärge unustage kahte suurt erinevust toonase ja tänase vahel: elustiil ja asustustihedus.

Kui keerame kella aastat tagasi, näeme Euroopat, mis elas peaaegu täielikult taastuvatel energiaallikatel: peamiselt puit ja teravili, kuhu on lisatud veidi tuuleenergiat, loodete energiat ja vee energiat. On hinnatud, et keskmise inimese elustiili energiakulu oli päevas. Inimese kohta kasutati puitu päevas, milleks oli vaja hektarit () metsa inimese kohta. 1700ndatel aastatel oli ühe inimese kohta Euroopas maad. Suurimate asustustihedusega piirkondades oli inimese kohta haritavat maad, karjamaad ja metsa. Täna on ühe inimese kohta Britannias ainult maad, nii et isegi kui me läheksime oma elustiiliga tagasi keskaega ja metsastaksime oma maa täielikult, ei suudaks me enam taastuvenergiaallikatest ära elada. Meie asustustihedus on selleks liiga suur.

Rohelised ambitsioonid kohtuvad sotsiaalse reaalsusega

Joonis 18.1 on trööstitu uudis. Jah, tehniliselt on Britannia taastuvenergia allikad „tohutud," kuid realistlikult ei usu ma, et Britannia suudab omaenda taastuvenergiaallikatest ära elada – vähemalt mitte sel viisil, nagu me täna elame. Osaliselt on minu järeldus ajendatud sellest vastuhäälte koorist, mis tervitab iga suuremat taastuvenergia ettepanekut. Inimesed armastavad taastuvenergiat seni, kuni see ei ole suurem kui viigileht. Kui britid on milleski head, on selleks „ei" ütlemine.

Tuulefarmid? „Ei, need on inetud lärmakad asjad."

„Päikesepaneelid katustel?“ Ei, need rikuvad tänavate visuaalse ilu.

Rohkem metsa? „Ei, see rikub maakoha."

Jäätmete tuhastamine? „Ei, muretsen terviseriskide, ummikute, tolmu ja müra pärast.”

Hüdroelekter? „Jah, aga mitte suurelt – see kahjustab keskkonda.”

Avamere tuul? „Ei, ma muretsen suurte inetute rannikule jõudvate elektriliinide pärast rohkem kui Natsi-Saksamaa invasiooni pärast.”

Lained või geotermiline energia? „Ei, kaugelt liiga kulukas.”

Ma kardan, et pärast kõiki neid vastulauseid on maksimaalne, mida Britannia eales suudab taastuvenergiast saada, lähedane joonise 18.7 alumises paremas nurgas näidatule.

Joonis 18.8: Kus asuvad metsikud asjad. Üks tuulefarmide vastu olemise argument on nende poolt tekitatav müra. Olen Briti maismaa kaardil näidanud valgena -kilomeetrise raadiusega keelutsoonid, mis ümbritsevad iga külakest, asulat ja linna. Need valged alad on tuuleparkide arendamisel välistatud. Ka järelejäänud mustad alad on eeldatavasti suures osas tuulefarmide püstitamiseks tõenäoliselt välistatud, sest selliseid alasid on vaja industrialiseerimise eest kaitsta. Elupaikade info: www.openstreetmap.org.

Joonis 18.8 annab juhise kõigile, kes üritavad püstitada Britannias tuuleparki. Olen Briti maismaa kaardil näidanud valgena -kilomeetrise raadiusega keelutsoone, mis ümbritsevad iga külakest, asulat ja linna. Need valged alad on eeldatavasti tuuleparkide arendamisel välistatud, sest need asuvad inimasustusele liiga lähedal. Mustaga tähistasin need alad, mis asuvad igasugusest inimasustusest kaugemal kui 2km. Need alad on tuulefarmide püstitamiseks suures osas välistatud, sest need on rahualad ja selliste alade kaitsmine industrialiseerimise eest on väga oluline. Kui tahate hoiduda protestidest oma tuulefarmi vastu, valige maa-ala, mis ei ole värvitud ei mustaks ega valgeks.

Mõned keskkonnaaktivistid, kellel on hea süda, aga kelle mõistus on segaduses, on kliimamuutustega võitlemisel põhimõtteliselt takistuseks.


Malcolm Wicks, Energeetikaminister

Hakkame lähenema selle raamatu esimese osa lõpule. Alustasime oletusega, et me tahame fossiilkütustest vabaneda, ühel või mitmel peatükis Motivatsioon nimetatud põhjustest: kliimamuutused, tarnekindlus jne. Joonis 18.9 näitab, kui palju võimsust me taastuvenergiaallikatest ja tuumaenergiast praegu saame. See moodustab ainult meie energiatarbimisest.

Joonis 18.9: Taastuvenergia ja tuumaenergia tootmine Ühendkuningriikides 2006. aastal. Kõik võimsused on, nagu ikka, antud ühe inimese kohta. Taastuvenergiaallikate lahtikirjutus paremal on vertikaalselt -kordselt suurendatud.

Osa I järeldused on:

1. Et suures pildis midagi muuta, peavad taastuvenergiaallikad olema riigisuurused. Et ükskõik millise taastuvenergia tootmisüksuse panus oleks võrreldav meie tänase tarbimisega, peab see oleme riigisuurune. Et saada suurt tuuleenergia osa kasutasime me Walesi pindalaga tuuleparke. Et saada suurt panust päikesepatareidest, oli meil tarvis poolt Walesi pindalast. Et saada suurt panust lainetest, kujutasime me ette 500km rannajoont katvaid lainefarme. Et saada suurt panust energiavõsast, arvestasime me -ga kogu riigist.

Taastuvenergia tootmisüksused peavad olema riigisuurused, sest taastuvenergiaallikad on väga hajusad. Võtame tabelis kokku enamuse neist numbritest (ühikutes vatti ruutmeetri kohta), mida raamatu esimeses osas kohtasime..

Tabel 2.14: Taastuvenergia võimsused maa või mere pinnaühiku kohta. Taastuvenergia rajatised peavad olema riigi suurused, sest taastuvenergia on väga hajus.
Tuul
Avamere tuul
Loodebasseinid
Loodevoolud6W/m2
Päikesepatareid520W/m2
Taimed
Vihmavesi (kõrgaladel)
Hüdroenergia
Geotermiline0,017W/m2

Britannia elustiili säilitamine ainult taastuvenergia allikaid kasutades on väga keeruline. Taastuvenergial põhinevad lahendused on möödapääsmatult väga suured ja pealetükkivad.

2. Ainult taastuvenergia allikatel põhinevat plaani ei ole lihtne teha. Kui tahame tõesti fossiilkütuste kasutamisest loobuda, peavad britid õppima millelegi „jah" ütlema. Tegelikult üsna mitmele asjale.

Osas II küsin ma: „Kui oletame, et me ei suuda taastuvenergiaallikateest oma tänast tarbimist katta, siis millised oleksid teised võimalused?"

Märkused ja edasine lugemine

Ühendkuningriikides on keskmine energiakulu  päevas inimese kohta. Ma võtsin selle numbri dokumendist UNDP Inimarengu Raport, 2007.

DTI (praegu tuntud ka kui DBERR) publitseerib igal aastal dokumendi Digest of United Kingdom Energy Statistics. [uzek2]. 2006. aastal oli DUKES'i andmetel kogu primaarenergia vajadus 244 millioni tonni nafta ekvivalenti, mis vastab 130kWh päevas inimese kohta.

Ma ei tea, mis on UNDP ja DUKES'i numbrite väikese erinevuse põhjus, aga ma saan seletada, miks mina valisin veidi väiksema numbri. Ma juba mainisin, et DUKES kasutab sama energia summeerimise kokkulepet nagu minagi, lugedes ühe keemilise energia võrdseks ühe elektrienergiaga. Aga on üks väikene erisus: DUKES defineerib tuumajaamades toodetud „primaarenergia" soojusenergiana, mis oli 2006. aastal 9kWh/p/i; see muundati (38% kasuteguriga) 3,4kWh/p/i elektrienergiaks; minu arvepidamises keskendusin ma hüdroelektrijaamades, tuumajaamades ja muudest taastuvenergia allikatest toodetud elektrienergiale;; see väike kõrvalekalle kokkuleppest vähendab tuumaenergia panust umbes 5kWh/p/i võrra.

Kaod elektrienergia transpordil võtavad ära kogu rahvuslikust energiatarbimisest. Teisisõnu: kaod moodustavad kogu toodetud elektrienergiast. Need saab osadeks jagada: ligikaudu 1,5% kadudest tuleneb suuri vahemaid katvatest kõrgepingesüsteemidest ja kohalikest elektrivõrkudest. Allikas: MacLeay et al. (2007).

Joonise 18.4. Andmed: UNDP Inimarengu Raport, 2007. [3av4s9]

Keskajal kulutas keskmise inimese elustiil  päevas. Allikas: Malanima (2006).

Ma muretsen suurte inetute rannikule jõudvate elektriliinide pärast rohkem kui Natsi-Saksamaa invasiooni pärast.” Allikas: [6frj55].

Teha asju, mis päriselt loevad
Iga SUUR asi loeb

Saime teada, et Suurbritannia elustiil ei ole Suurbritannia enda taastuvenergiaallikaid kasutades jätkusuutlik (v.a siis, kui otsustame industrialiseerida enamuse riigi maa- ja merealadest). Mis on siis meie valikud, kui tahame vabaneda fossiilkütustest ja elada jätkusuutlikult? Energiabilanssi on võimalik tasakaalustada kas tarbimist vähendades või energia tootmist suurendades. Või siis tehes mõlemat.

Ei tasu elada pilvedes: fossiilkütustest vabanemiseks peavad nii tarbimise vähenemine kui ka energiavarude suurenemine olema suured. Ärge laske end segadusse viia müüdiga, mille kohaselt „iga väikegi asi loeb." Kui igaüks teeb natuke, siis me ka saavutame vaid natuke. Meil on vaja teha palju. Meil on vaja suuri muutusi tarbimises ja varustuses.

„Aga on ju nii, et kui 60 miljonit inimest teevad igaüks natuke, siis kõike seda kokku liites saab palju?" Ei. See „kui igaüks" korrutusmasin on sobilik vaid selleks, et väiksed asjad kõlaksid suurelt. „Kui igaüks” korrutusmasina abil toodetakse igasuguseid inspireerivaid väiteid nagu näiteks: „Kui igaüks teeb X, siis see annab piisavalt energiat/vett/gaasi, et teha Y," kus Y kõlab vägevalt. On see siis üllatav, et Y kõlab suurelt? Muidugi mitte. Me saame Y korrutades X-i asjasse puutuvate inimeste arvuga – umbes miljoniga! Toon siinkohal ära ühe näite Konservatiivse Partei muidu üsna sirgjoonelist juttu ajavast dokumendist Blueprint for a Green Economy:

„Mobiiltelefoni laadija tähendab keskmiselt ... tarbimist, aga kui kõik riigi miljonit laadijat jäetakse vooluvõrku ja lülitatakse sisse, siis tarbiksid need küllalt energiat (219GWh), et anda 66000 kodumajapidamisele energia üheks aastaks.”

66000? Vau, see on päris palju! Lülitage laadijad välja! 66000 kõlab suurelt, aga mõistlik on seda võrrelda ettevõtmises osalevate kodumajapidamiste arvuga, nimelt miljoniga. 66000 on vaid üks neljandik protsenti miljonist. Nii et ehkki tsiteeritud väide on tõene, oleks minu arvates kaalutletum sõnastada seda nii:

„Kui jätate oma mobiiltelefoni laadija pistikusse, kasutab see vaid veerand protsenti teie kodumajapidamise elektrienergiast."

Ja kui seda teevad kõik?

Kui kõik jätavad oma mobiiltelefonid pistikusse, kasutavad need laadijad vaid veerand protsenti meie kodumajapidamistes kuluvast elektrienergiast.

Korrutusmasin „kui igaüks” on halb asi, sest juhib inimeste tähelepanu miljoni hai asemel miljonile prügikalale. Korrutades, et „Väikesed muudatused toovad suured muutused,” on kliimamuutustest ja energiast rääkides vaid tühjaks sõnamulinaks. Ütlemine „Kui paljud inimesed teevad natuke, siis saame kokku palju” on tõsi, kui kõik need „väikesed asjad” on fokusseeritud ühele ainsale „suurele asjale" – näiteks kui miljon inimest annetavad mõne õnnetuse ohvrile £, saab see ohver £ miljonit. Seda on palju. Aga energiaga on hoopis teistmoodi. Me kõik kasutame energiat. Nii et saavutamaks „suurt muutust” energia kogutarbimises, peavad peaaegu kõik tegema „suuri” muutusi oma isiklikus energiatarbimises.

Kuigi üksikisiku jalajälge ei saa päris nulli viia, saab seda teha siis, kui seda isikut üldse ei eksisteeriks.

Chris Rapley, British Antarctic Survey endine direktor

Meil on vaja vähem inimesi, mitte rohelisemalt mõtlevaid inimesi.

Daily Telegraph, 24. juuli 2007

Demokraatia ei ela ülerahvastumist üle. Inimlik väärikus ei ela ülerahvastamist üle.

Isaac Asimov

Mida siis on vaja suurteks muutusteks energia nõudluses ja varustuses? Nõudlust saab vähendada kolmel moel:

  1. Vähendades elanikkonna arvukust (joonis 19.2);
  2. Muutes elustiili;
  3. Säilitades elustiili, aga vähendades läbi „efektiivsuse" ja „tehnoloogia" selle energiaintensiivsust.

Energia tootmist saab suurendada kolmel moel:

  1. Me võime vabaneda fossiilkütuste kasutamisest investeerides „puhta söe” tehnoloogiasse. Kuid oodake! Süsi on ju fossiilkütus! Olgu, ei ole vahet – uurime seda võimalust lähemalt. Kui me kasutame sütt „säästvalt" (defineerime selle mõiste varsti), siis kui palju energiat me võiksime saada? Kas süsi pakuks „tarnekindlust,” kui me säästlikkusest ei hooli?
  2. Me võiksime investeerida tuumaenergeetikasse. Kas tänane tuumatehnoloogia on jätkusuutlik? On see vähemalt punn, mis peaks vastu järgnevad aastat?
  3. Me võiksime osta, paluda või varastada energiat teistelt riikidelt, pidades samal ajal meeles, et enamik riike on Britanniaga samas olukorras ja neil ei ole liigset taastuvenergiat. Meeles tuleks pidada ka seda, et teistest riikidest taastuvenergiat hankides ei vähene meie vajadus taastuvenergia rajatiste järele. Kui me impordime taastuvenergiat teistest riikidest selleks, et vältida Walesi suurusega rajatiste ehitamist, siis tuleb ligikaudu Walesi suurusega taastuvenergia rajatised ehitada teistesse riikidesse.

Järgmises seitsmes peatükis arutame me esmalt selle üle, kuidas nõudlust jätkusuutlikult oluliselt vähendada. Pärast seda võtame teemaks selle, kuidas selle vähenenud aga ikkagi „hiiglaslikku" nõudluse rahuldamiseks varustust suurendada. Nendes peatükkides ei maini ma kõiki häid ideid. Käsitleme vaid suuri ideid.

Pliiatsijoonistus Britanniast

Et lihtsustada meie arutlust nõudluse vähendamise üle, teen ettepaneku oluliselt lihtsustada meie ettekujutust Suurbritannia energiatarbest, jättes sellest välja hulga detaile, ning keskendudes vaid suurele pildile. Minu joonis-Suurbritannia tarbib vaid kolme liiki energiat: soojus, transport ja elekter. Soojusenergia kulu selles joonis-Suurbritannias on päevas inimese kohta (mis täna saadakse täies mahus fossiilkütustest); transpordikulu on samuti päevas inimese kohta (mis täna saadakse täies mahus fossiilkütustest) ja elektrienergia tarbimine on 18kWh(e) päevas inimese kohta (elektrienergia saadakse täna peaaegu täielikult fossiilkütustest; fossiilkütuste elektrienergiaks muundamise efektiivsus on 40%, nii et 18kWh(e) elektrienergia saamiseks on tänases joonis-Suurbritannias vaja 45kWh väärtuses fossiilkütuseid päevas inimese kohta). Niimoodi lihtsustades ignoreerime me mõningaid üsna suuri detaile, nagu näiteks põllumajandust ja tööstust, samuti imporditud toodete manusenergiat. Aga ma tahaks siinkohal kiiresti rääkida peamisest asjast, mida me peaksime fossiilkütustest vabanemiseks tegema. Soojus, transport ja elekter kokku moodustavad üle poole meie tänasest energiatarbimisest, nii et kui me tuleme välja plaaniga, mis toodab soojuse, transpordi ja elektri jätkusuutlikult, siis oleme teinud detailsema plaani moodustamiseks suure sammu.

Kui võtame selle joonis-Suurbritannia omaks, koosneb meie arutelu nõudluse vähendamisest vaid kolmest osast. Esiteks: kuidas vähendada transpordi energiavajadust ja lõpetada fossiilkütuste kasutamine selles sektoris? Seda teeme peatükis Parem transport. Teiseks: kuidas vähendada energiakulu küttele ja lõpetada soojuse tootmises fossiilkütuste kasutamine? Sellega tegeleme peatükis Nutikam kütmine. Kolmandaks: kuidas jääb elektriga? Peatükk Efektiivne elektrienergia kasutamine arutleb elektrienergia kasutamise efektiivsuse üle.

Seejärel lahkame kolme võimalikku energiaallikat – puhast süsi, tuumaenergiat ja teiste inimeste taastuvenergiat – peatükkides Taastuvad fossiilkütused?, Tuumaenergia? ja Kui elaks teiste riikide taastuvenergiast?. Lõpuks arutame peatükis Kõikumised ja salvestamine selle üle, kuidas tulla toime taastuvenergia tootmise kõikumistega.

Kui oleme nõudlust vähendavad ja tarnet suurendavad variandid üle vaadanud, arutame peatükkides Viis energiaplaani Britannia jaoks ja Paneme kulud õigesse konteksti erinevaid viise, kuidas neid variante kokku pannes saada tulemuseks plaan, mis on joonis-Suurbritannia transpordi-, kütte- ja elektrienergia katmiseks piisav.

Võiksin kulutada palju lehekülgi, et arutada teemal „ asja, mida võiks teha, et olukorda muuta,” aga ma arvan, et see lähenemine, kus me keskendume vaid kolmele suurimale tegijale, viib efektiivsemate poliitikateni.

Aga kuidas on „asjadega”? Vastavalt raamatu esimesele osale võib imporditud asjade manusenergia olla suurimaks tegijaks! Jah, võib-olla on see tõesti üks möödapääsmatu probleem. Aga jätame selle mammuti ellu äratamise kõrvale ja keskendume teguritele, mille üle meil on otsene kontroll.

Nii et mis muud kui et hakkame pihta: räägime transpordist, küttest ja elektrist.

Rahutule lugejale 

Kas tahaksite kohe selle loo lõpu teada saada? Siit tuleb teise osa kiire kokkuvõte.

Esiteks: me elektrifitseerime transpordi. Elektrifitseerimine vabastab transpordi fossiilkütustest ja teeb selle energiasäästlikumaks. (Loomulikult suurendab elektrifitseerimine nõudlust rohelise elektrienergia järele.)

Teiseks: päikesepaneelidega kütmise täiendamiseks elektrifitseerime me enamuse õhu ja vee soojendamisest ehitistes, kasutades selleks soojuspumpasid, mis on tavalistest elektrisoojenditest neli korda efektiivsemad. See kütte elektrifitseerimine kasvatab veelgi nõudlust rohelise elektrienergia järele.

Kolmandaks: me toodame rohelist energiat nelja allikat kombineerides: meie oma taastuvenergiaallikad, võib-olla „puhas süsi", võib-olla tuumaenergia ja lõpuks, väga viisakalt, teiste riikide taastuvenenergiaallikad.

Teiste riikide taastuvenergia allikate rivis on kõrbetest kogutav päikeseenergia kõige paljulubavam. Kõrbetes on rahumeelse rahvusvahelise koostöö abil kindlasti potentsiaali toota iga elaniku jaoks päevas.

On teil küsimusi? Lugege edasi.

Parem transport
Parem transport

Kaasaegse tehnoloogia abil on võimalik ehitada sõidukeid, mis vähendavad kliimamuutusi põhjustavate kasvuhoonegaaside emissiooni ilma, et kasutaja jaoks muutuks nende välimus, iseloom või esitus.

California Air Resources Board

Rongipilt

Umbes üks kolmandik meie tarbitavast energiast kulub transpordile. Kas tehnoloogia abil on võimalik seda tarbimist vähendada? Selles peatükis vaatleme me võimalusi selle eesmärgi saavutamiseks: kuidas saavutada suurim võimalik transpordis kasutatava energia vähenemine ja samal ajal lõpetada fossiilkütuste kasutamine transpordis.

Jooni 20.1: Selle peatüki alguspunkt: linnas liikumiseks mõeldud luksustraktor. Keskmine Suurbritannia auto kulutab läbimiseks 8,56 liitrit kütust ehk ligikaudu energiat iga kilomeetri läbimiseks. Kas saaksime kuidagi paremini?

Transport figureeris kolmes trabimist käsitlevas peatükis: Autod, Lennukid ja Asjad (maanteetransport ja laevatransport). Seega, peame käsitlema kahte liiki transporti: reisijatevedu ja kaubavedu. Meie reisijateveo ühikuks on reisija-kilomeeter (r-km). Kui auto viib ühe reisija kaugusele, siis saame 100rkm reisijatevedu. Kui see auto viib neli inimest sama kaugele, siis saame 400r-km. Sarnaselt on meie kaubaveo ühikuks tonn-kilomeeter (t-km). Kui veoauto viib 5t kaupa kaugusele, siis saame 500t-km kaubavedu. Kaubaveo energia tarbimist mõõdame ühikuga „ reisija-kilomeetri kohta" ja kaubaveo energiatarvet ühikutes „ tonn-kilomeetri kohta." Pane tähele, et need mõõtühikud töötavad teisipidi kui ühik „miili-galloni kohta": samal ajal kui meile meeldivad sõidukid, mis liiguvad ühe galloni kütusega palju miile, on energia tarbimisel kasulik see, kui kulutame vähe 100r-km kohta.

Alustame seda peatükki sellega, et arutame, kuidas vähendada maismaatranspordi energiavajadust. Selleks peame mõistma, mille peale energia maismaatranspordis kulub. Toome siinkohal ära kolm ideed, mida selgitatakse täpsemalt autosid hõlmavas tehnilises peatükis.

  1. Kui transport toimub lühikeste vahemaade taha ning sisaldab paljusid peatusi, kulub energia peamiselt sõiduki ja selle sisu kiirendamiseks. Võtmeidee sellise transpordi energiavajaduse vähendamiseks on massi vähendamine ja peatustevaheliste vahemaade suurendamine. Aidata võib kapidurdamisel eralduva soojusenergia salvestamine, mida seejärel hiljem kasutada saab. Lisaks sellele aitab see, kui me lihtsalt liigume aeglasemalt ja vähem.
  2. Kui transport toimub autode või rongidega ühtlastel kiirustel ning pikkadel distantsidel, kulub enamus energiast õhutakistuse ületamisele, sest sõidukit tuleb kiirendada ainult korra. Võtmeidee sellises transpordis väiksema hulga energia kulutamiseks on liikuda aeglasemalt ja vähem ning kasutada pikki, õhukesi sõidukeid.
  3. Kõik reisimise liigid sisaldavad endas energia muundamise ahelat, võttes mingisuguse kütuse energia ning kasutades seda sõiduki edasilükkamiseks. Selline energia muundamine on paratamatult mittetäiuslik. Näiteks tavalises fossiilkütuseid kasutavas sõidukis kasutatakse vaid energiast lükkamiseks, umbes energiast läheb kaotsi - see kulub mootori ja radiaatori soojendamiseks. Seega on viimane idee väiksema hulga energia kulutamiseks teha energia muundamine efektiivsemaks.

Need tähelepanekud viivad meid kuue sõidukite disaini ja efektiivsemat maismaatranspordis kasutamist puudutava printsiibi juurde. Nendeks on: a) sõidukite frontaalse pindala vähendamine inimese kohta; b) sõiduki massi vähendamine inimese kohta; c) sõitmine ühtlase kiirusega ning pidurite kasutamise vältimine; d) aeglasemalt sõitmine; e) vähem sõitmine ja f) energia muundamise ahela efektiivsemaks muutmine. Uurime nüüd erinevaid võimalusi, kuidas neid printsiipe rakendada.

Kuidas paremini veereda

Laialt on kasutusel statistika, mis ütleb midagi stiilis „ainult protsent autode poolt kasutatud energiast läheb juhi liigutamiseks” – mis justkui viitab sellele, et, olles pisut taibukamad suudaksime me muuta autod korda efektiivsemateks. Vastus on jah, peaaegu – kuid seda vaid juhul, kui rakendame eelpool välja toodud printsiipe äärmusteni.

Joonis 20.2: Krokodilli meeskonna ökoauto kasutab kilomeetri läbimiseks . Foto: Meeskond Krokodill www.teamcrocodile.com

Üks näide äärmuseni viidud autodisainist on ökoauto, mille esiosa on väikese pindalaga ning mis kaalub vähe ning millega rekordite purustamiseks tuleb sõita madalal ja ühtlasel kiirusel. Krokodilli meeskonna ökoauto (joonis 20.2) kulutab kilomeetri läbimiseks liitrit kütust ( kohta), sõites kiirusega . See kaalub 50kg, on madalam kui teemärgistuskoonus ning mahutab kergesti ühe teismelise juhi.

Hmm. Ma arvan, et kui me suuname joonisel 20.1 kujutatud linnatraktori juhi selle ökoauto juurde ning soovitame tal hoida kiiruse alla kilomeetri tunnis, võib ta ikkagi märgata muutusi nii sõiduki väljanägemises, tunnetuses ja võimekuses. Nii et idee, et autod saavad vabalt olla korda efektiivsemad, on müüt. Me tuleme energiasäästlike autode väljakutse juurde varsti tagasi. Aga kõigepealt vaatame mõnd teist säästlikuma maismaatranspordi viisi.

Joonis 20.3: „Beebid sõidukis.“ Selle transpordivahendi energiakulu on iga reisija-kilomeetri kohta.

Joonisel 20.3 on kujutatud mitut reisijat mahutavat sõidukit, mis on tavalisest bensiiniautost vähemalt korda energia-efektiivsem: jalgratas. Jalgratas kulutab teepikkuse kohta ligikaudu sama palju energiat kui ökoauto. Selle kiirus on sama mis ökoautol, selle mass on isegi väiksem (sest inimene asendab kütusepaaki ja mootorit) ning selle efektiivne frontaalne pindala on suurem, sest jalgrattur ei ole nii voolujooneliseks disainitud.

Joonis 20.4: See kaheksa vaguniga rong, liikudes maksimaalkiirusega 161 kilomeetrit tunnis, kulutab täiskoormuse korral reisija-kilomeetri kohta energiat.

Joonis 20.4 näitab teist võimalikku asendust bensiiniautole: rongi, mille energiakulu täieliku täituvuse korral on 1,6kW reisija-kilomeetri kohta. Erinevalt ökoautost ja jalgrattast ei pea rong oma efektiivsuse säilitamiseks aeglaselt sõitma ning selle reisijad ei pea olema kergekaalulised. Rongid kompenseerivad suure kiiruse ja raske kere väikse frontaalse pindalaga inimese kohta. Kui jalgratta ja tavalise auto frontaalne pindala inimese kohta on vastavalt umbes 0,8m2 ja 0,5m2, siis täis linnalähirongil Cambridge'ist Londonisse on see 0,02m2.

Aga - ups - nüüd me sattusime ebameeldivale teemale – väljavaatele jagada sõidukit „kõigi nende jubedate inimestega.” Aga surume end peale ja küsime: Kui palju saab tarbimist vähendada, kui võtame isiklike bensiinineelajate asemel kasutusele suurepärase integreeritud ühistranspordi?

Ühistransport

Oma parimal kujul on ühistransport palju energiatõhusam kui isikliku autoga sõitmine. Diiselmootoriga rong, mis mahutab 49 reisijat, tarbib 28,25 liitrit kilomeetri kohta ning sõidab kiirusega kilomeetrit tunnis, kasutab reisija-km kohta. Seda on  kolm korda vähem kui üht inimest vedav auto. Vancouveri trollibussid kasutavad 270kWh sõiduki-km kohta ning arendavad keskmist kiirust . Kui selline trollibuss veab reisijat, siis kulutatakse reisija-km kohta . Vancouveri SeaBus'i transpordi kulu on kiirusel 83kWh sõiduki-km kohta. See mahutab inimest, nii et 100% täituvuse korral on reisijateveo hinnaks 100r-km kohta. Londoni metroorongid kasutavad tipptunnil 4,4kWh 100r-km kohta – see on korda parem tulemus kui isiklikul autol. Isegi suurel kiirusel liikuvad rongid, mis rikuvad kahte meie energia säästmise printsiipi, liikudes autodest kaks korda kiiremini ja olles väga massiivsed, on palju energiasäästlikumad: 100% täituvusega rongi energiakulu on 100r-km kohta – see on 27 korda väiksem kui autodel!

Joonis 20.5: Mõningad ühistranspordiliigid ning nende energiakulu parimal juhul. Metroo, nii seest kui väljast nähtuna. Kaks kiirrongi. Elektrirong kulutab iga istme liigutamiseks kilomeetri võrra vaid . Diiselrong kulutab . San Francisco trollibussid. Vancouveri merebuss. Foto: Larry
Joonis 20.6: Mitte kõik rongid ei ole täiesti täis. Kolm meest ja tšello – selle kell 10:30 väljuva, Edinburghist Kings Crossi sõitva rongi ainukesed reisijad.

Peame oma planeerimises siiski realistideks jääma. Mõned rongid, trammid ja bussid ei ole täis (joonis 20.6). Nii et keskmine ühistranspordi energiakulu on eelpool mainitud numbritest suuremad. Milline on ühistranspordisüsteemide keskmine energiakulu ja mis on realistlik hinnang selle parimale võimalikule väärtusele?

Aastatel 2006-2007 oli Londoni metroo koguenergiakulu, kaasa arvatud valgustus, liftid, depood ja töökojad, 100r-km – viis korda parem kui tavalisel autol. Samadel aastatel oli Londoni busside energiakulu 32kWh 100r-km kohta. Energiakulu ei ole muidugi ainus oluline asi. Reisijatele on oluline kiirus ning metroorongid pakuvad suuremaid kiirusi (keskmiselt ) kui bussid (). Ärijuhtidele on oluline rahaline kulu: metroorongide personalikulud reisija-kilomeetri kohta on madalamad kui bussidel.

Joonis 20.7: Mõningad ühistranspordiliigid ning nende keskmine energiakulu. Vasakul: Mõned punased bussid. Paremal: Croydon Tramlink. Foto: Stephen Parascandolo.

Croydon Tramlink süsteemi koguenergia kulu (joonis 20.7) 2006-2007 (kaasa arvatud trammidepood ja trammipeatused) oli 100r-km kohta, pakkudes keskmist kiirust

Kui hea saab ühistransport olla? Võib-olla saame sellele anda ligikaudse hinnangu kui vaatame Jaapani andmeid. 19kWh 100r-km kohta ja 100r-km kohta vastavalt busside ja rongide jaoks on paljulubav. Rongid on veel selle poolest head, et saavutavad kaks meie eesmärki – vähendavad energiatarbimist ja sõltuvust fossiilkütustest. Busside ilmne eelis on nende lihtsus ja paindlikkus, aga saavutada sellist paindlikkust ja samal ajal loobuda fossiilkütustest võib osutuda keeruliseks.

Kokkuvõttes: ühistransport (eriti elektrirongid, trammid ja bussid) näib paljulubav viis inimeste transportimiseks – kui hindame neid reisija-km kohta kuluva energia võtmes - need võivad olla kuni korda paremad kui autod. Aga kas on veel võimalusi, kui inimesed ikkagi tahavad erasõiduki paindlikkust?

Tabel 3.1 Jaapani transpordivahendite üldine efektiivsus (1999).


Energiakulu ( reisija-km kohta)

Auto

68

Buss

Rong

Õhutransport

Meretransport

Isiklikud autod: tehnoloogia, seadusandlus ja stiimulid

Isiklike autode energiatarbimist saab vähendada. Seda tõestab turul müüdavate autode efektiivsuste suur varieeruvus. Ühesainsas autoesinduses oli 2006. aastal võimalik osta Honda Civic 1.4, mis kasutab kilomeetri läbimiseks umbes 44kWh, ning Honda NSX 3.2, mis kasutab 116kWh  km kohta (joonis 20.9).

Joonis 20.9: Süsinik-heitgaasid mõningate Suurbritannias müügil olevate autode jaoks, ühikutes grammi kilomeetri kohta. Horisontaaltelg näitab heitgaaside hulka ning siniste tulpade kõrgus näitab vastava heitgaasiga mudelite müügil olevat hulka aastal 2006. Allikas: www.newcarnet.co.uk. Teine horisontaaltelg näitab ligikaudset energiakulu, eeldades, et keemilise energia kohta tekib 240g .
Joonis 20.11: Elektriautodele kehtivad parkimise erireeglid Ann Arboris, Michiganis.

Asjaolu, et inimesed ostavad rõõmsalt autosid nii laiast efektiivsuste vahemikust on tõestuseks sellest, et meil on tarbijate suunamiseks energiasäästlikumate autode poole vaja lisastiimuleid ja seadusandlust. On olemas mitmesuguseid mooduseid, kuidas panna tarbijaid eelistama bensiinineelajast Honda NS 3.2 asemel Honda Civic'ut: tõusev kütusehind, uute autode ostmisel tasutavate maksude tõstmine proportsionaalselt auto eluajal ennustatavalt kulutatava energiaga, teemaksude tõstmine kütuseneelajatele, priviligeeritud parkimine ökonoomsetele autodele (joonis 20.10) või kütuse normeerimine. Kõik sellised meetmed on ebapopulaarsed vähemalt mõningate valijate seas. Võib-olla oleks paremaks seadusandlikuks taktikaks mõistliku energiaefektiivsuse nõudmine selle asemel, et jätkata piiranguteta valikuvabadusega. Me võime näiteks mingil hetkel lihtsalt keelata selliste autode müügi, mille energiakulu on rohkem kui km kohta ja pärast seda ajapikku vähendada seda lage 60kWh-ni km kohta, seejärel -ni km kohta ja nii edasi. Alternatiivina võiksime anda tarbijatele rohkem valikuid, kuid regulatsioonid nõuaksid autotootjatelt kõigi oma müüdavate autode energiatarbimise vähendamist. Täiendavad piirangud sõidukite kaalule ja frontaalpindalale võiks samuti vähendada kütusetarbimist ja parandada teiste liiklejate ohutust (joonis 20.11). Praegu valivad inimesed autosid oma maitse-eelistuste demonstreerimiseks. Rangete efektiivsusnõuetega oleks meil jätkuvalt suur valikuvabadus, kuid kõik valikud oleks siis energiaefektiivsed. Te võite valida ükskõik millise värvi, juhul kui see on roheline.

Joonis 20.11: Hiigelautod on täpselt nii suured, et varjavad nii vaatevälja kui ka jalakäijad.

Milliseid teisi lahendusi saaksime kasutada seni, kuni ootame poliitikute ja valijate ühtmeelt efektiivsete autode teemal?

Jalgrattad

Minu lemmiklahenduseks on suurepärased rattateed ning vastav seadusandlus (näiteks madalamad kiiruspiirangud, regulatsioonid, mis kokkupõrke olukorras annavad õiguse jalgratturile). Joonisel 20.12 on toodud Hollandis, Enschedes asuv ringtee.

Joonis 21.12: Ringtee Enschedes, Hollandis.
Joonis 20.13: Mõned Hollandi jalgrattad.

Pildil on näha kaks ringi: autodele mõeldud rada asub seespool ning jalgratturitele mõeldud rada väljaspool. Neid kahte rada eraldab vähemalt autolaiune teeriba. Eesõiguse seadused on samad, mis Suurbritannia ringteedel, kuid ringilt väljuvad autod peavad andma teed ringil jätkavatele ratturitele (just nagu Briti autod annavad eesõiguse sebral teed ületavatele jalakäijatele). Suurepäraste rattateede olemasolu korral inimesed kasutavad neid – sellest annavad aimu Enschede rongijaama ümbrusesse pargitud lõputu arv jalgrattaid (joonis 20.13).

Miskipärast ei vasta Suurbritannia jalgrattateed kohe kuidagi Hollandi standarditele (joonis 20.14).

Joonis 20.14: Samal ajal Suurbritannias. Parempoolne foto: Mike Armstrong.
Joonis 20.15: Velo'v rattalaenutusjaam Lyonis.

Prantsusmaal Lyoni linnas võeti 2005. aastal kasutusse väga populaarseks osutunud eraomanduses olev avalik jalgrattavõrgustik Velo'v. Lyoni rahvaarv on 470000 ning nende kasutada on jalgratast, mis on -ruutkilomeetrisel alal 175 rattalaenutusjaama vahel jaotatud. Kesklinnas jalutades asub lähim jaam alati vähem kui meetri kaugusel. Kasutajad saavad rattavõrgustikuga liituda -Eurose liikmemaksu abil ning saavad seeläbi rattaid tasuta laenutada igaks alla minutit kestvaks sõiduks. Pikemaajaliseks sõiduks maksavad kasutajad kuni 1 Euro tunnis. Lyoni lühiajaliselt külastavad turistid saavad 1 Euro abil osta nädalaajalise liikmekaardi.

Muud seadusandlikud võimalused

Jooni 20.16: Sellise ummiku korral on jalutamine palju kiirem.

Kiiruspiirangute muutmine on kõige lihtsam nupp, mida kruttida. Reeglina kulutavad aeglaselt sõitvad autod vähem energiat (vt Peatükk 2, Autod). Piisava harjutamise abil õpiksid autojuhid ökonoomsemalt sõitma: gaasi- ja piduripedaali kasutamise vähendamine ning alati võimalikult kõrge käigu kasutamine võivad viia kuni väiksema kütusekuluni.

Teiseks kütusekulu vähendamise viisiks on liiklusummikute arvu vähendamine. Peatumine ja taaskäivitamine, kiirendamine ja aeglustamine on kõik palju ebaefektiivsemad liikumisviisid kui ühtlase kiirusega sõitmine. Paigalseisvas liikluses istumine on eriti halb viis kütusekulu kokkuhoiuks!

Liiklusummik tekib olukorras, kus korraga on teel liiga palju sõidukeid. Üheks ummikute vähendamise viisiks on panna rohkem reisijaid vähemasse arvu sõidukitesse. Selle muutuse mõju uurimise lihtsaks viisiks on arvutada nende kahe sõiduviisi jaoks kuluv teeala. Võtame näiteks peaaegu ummikus teejupi, millel soovitatavaks liikumiskiiruseks on kilomeetrit tunnis. Sellise kiiruse korral on autode vaheliseks ohutuks kauguseks 77 meetrit. Kui eeldame, et iga meetri järel asub üks auto ning et iga auto sisaldab inimest, vabastab inimese ühte bussi panemine tervelt kaks kilomeetrit teepinda!

Ummikuid saab vähendada heade alternatiivide abil (jalgrattateed, ühistransport) ning nõudes lisamakse kasutajatelt, kes ummikutesse oma panuse annavad. Selle peatüki märkmetes püüan ma kirjeldada ausat ja lihtsat meetodit ummikumaksude haldamiseks.

Autode efektiivsemaks muutmine

Eeldades, et arenenud maade armusuhe autodega lähiajal ei lõppe, siis milliseid tehnoloogiaid saaksime me energiakulude tuntavaks vähendamiseks kasutada? - kuni -protsendiline vähendamine on lihtne – me oleme mõningaid viise juba arutanud, seehulgas autode väiksemaks ja kergemaks muutmine. Teiseks võimaluseks on üleminek bensiinilt diislile. Diiselmootorite valmistamine on küll kallim, kuid need on enamasti suurema efektiivsusega. Kuid kas leidub mõni tehnoloogia, mille abil saaksime energiamuundamise ahela efektiivsust radikaalselt parandada? (Meenutagem, et tavalises bensiinikütust kasutavas autos muutub energiast soojuseks ning see puhutakse läbi radiaatori lihtsalt välja!) Ning mis saab meie eesmärgist loobuda fossiilkütustest?

Selles alapeatükis kirjeldame me viite tehnoloogiat: regeneratiivpidurdus, hübriidautod, elektriautod, vesinikuautod ning suruõhuautod.

Regeneratiivpidurdus

Sõiduki pidurdamisel tekkivat energiat on võimalik püüda neljal erineval viisil:

  1. Elektriaku või superkondensaatori laadimine läbi ratastega ühendatud elektrigeneraatori
  2. Rataste jõul töötavad hüdraulilised mootorid tekitavad väikeses kanistris salvestatavat suruõhku
  3. Energiat saab salvestada hooratta abil
  4. Pidurdamisel tekkivat energiat saab salvestada gravitatsioonienergiana, sõites pidurdamise eesmärgil nõlvast üles. See gravitatsioonienergia salvestamise variant pole aga eriti paindlik, sest sobivas kohas peaks alati nõlv olema. See variant on kõige sobivam just rongidele ning seda illustreerib hästi Londoni metroosüsteemi Victoria liin – kõik selle jaamad asuvad küngastel. Need künkad aeglustavad saabuvaid ronge automaatselt ning lahkuvad rongid kiirendavad, sest sõidavad allamäge. Selline küngastega jaamade ülesehitus säästab energiast ning teeb rongid kiiremaks.

Elektriline regeneratiivpidurdus (mis kasutab energia salvestamiseks akut) püüab kinni ligikaudu auto pidurdamisel eralduvast energiast, vähendades linnaliikluses sõitmiseks kuluvat energiahulka ligikaudu võrra.

Joonis 20.17: Artemis Intelligent Poweri modifitseeritud BMW 530i, mis kasutab digitaalset hüdraulikat. All vasakul: 6-liitrine akumulaator (punane kanister), mis suudab survestatud lämmastiku abil salvestada ligikaudu energiat. All paremal: kaks -kilovatist hüdraulilist mootorit – üks iga tagumise ratta jaoks – mis mõlemad kiirendavad ning aeglustavad autot. Auto saab oma energia jätkuvalt tavalisest 190kW bensiinimootorist, kuid tänu hüdraulilisele ülekandele ning regeneratiivsele pidurdamisele kasutab see vähem kütust.
Joonis 20.18: Hooratta abil töötav regeneratiivpidurdussüsteem. Foto: Flybird Systems.

Hoorataste ja hüdraulika abil töötavad regeneratiivsüsteemid töötavad akusüsteemidest veidi paremini, püüdes kinni vähemalt 70% pidurdusenergiast. Joonisel 20.17 on toodud bensiinimootoriga hübriidauto, millel on digitaalselt juhitav hüdraulika. Tavalise sõitmise korral kasutab see auto vähem kütust kui originaalne bensiiniauto. Linnas sõitmisel on selle energiakulu poole väiksem – 131kWh/100km asemel 62kWh kohta. (Selle võimekuse tõusu põhjuseks on nii regeneratiivpidurdus kui ka hübriidtehnoloogia.) Hüdraulika ja hoorattad on mõlemad regeneratiivpidurduse kasutamiseks paljulubavad, sest väikeste süsteemidena suudavad need kontrollida suurel hulgal energiat. Vaid kilogrammi kaaluv hooratas (joonis 20.18), mis on mõeldud ralliauto energiasalvestuseks, suudab salvestada 400kJ () energiat - piisav hulk energiat, et kiirendada tavaline auto -kilomeetrise tunnikiiruseni. See suudab võtta vastu ning edastada energiat. Sarnase võimsusega elektriakud kaaluksid umbes kilogrammi. Seega – kui sa juhuslikult juba praegu sellisel hulgal akusid oma autos ei oma - kasutaks elektriline regeneratiivpidurdussüsteem pidurdusenergia salvestamiseks kondensaatoreid. Superkondensaatorite energiasalvestus- ning edastusvõime on hoorattaga sarnane.

Hübriidautod

Joonis 20.19: Toyota Prius – Jeremy Clarksoni arvamuse kohaselt „väga kallis, väga keerukas, mitte eriti roheline, aeglane, odavalt ehitatud ning mõttetu viis ringi liikumiseks.“

Hübriidautod, nagu näiteks Toyota Prius (joonis 20.19), on palju efektiivsemate mootoritega ning kasutavad elektrilist regeneratiivpidurdust, kuid ausalt öeldes ei erine tänapäeva hübriidautod teistest sõidukitest just eriti palju (joonis 20.9).

Joonisel 20.9 toodud horisontaalsed tulbad esitavad mõningaid autosid, mille hulgas on ka kaks hübriidautot. Kui keskmise uue Suurbritannia auto heitgaaside hulgaks on 168g, tekitab hübriidne Prius iga kilomeetri kohta ligikaudu grammi süsinikdioksiidi, nagu ka mitmed teised mittehübriidsed autod: VW Polo Blue Motion tekitab 99g/km ning Smart vaid 88g/km.

Teiseks hübriidautoks sellel joonisel on Lexus RX 400h, mida reklaamitakse lausega „VÄHE HEITGAASE. SÜÜTUNNE PUUDUB.“ Siiski on selle heitgaaside hulgaks 192g/km – rohkem, kui keskmisel Suurbritannia autol! Reklaamistandardite Ameti hinnangul eksis see reklaam tõesuse, võrdluse ning keskkonnaalaste väidete reklaamireeglite vastu. „Meie hinnangul tekkis lugejatel arusaam, mille kohaselt antud sõiduk tekitab keskkonnale kas väga vähe või üldse mitte mingit kahju, mis on vale, ning et selle heitgaaside hulk teiste autodega võrreldes on madal, mis ei vasta samuti tõele.“

Tegelikkuses on hübriidtehnoloogiate abil võimalik hoida kokku 2030% kütust. Seega pole need joonisel 20.17 toodud bensiini/elektri ning bensiini/hüdraulika hübriidsõidukid transpordiprobleemi tegelikult lahendanud. -protsendiline fossiilkütuse kulu vähendamine on küll silmapaistev, kuid selle raamatu standarditele see ei vasta. Raamatu ava-eesmärgiks oli kas fossiilkütustest täielikult lahti saamine või siis nende vähendamine vähemalt võrra. Kas see on ilma ainult jalgrattaid kasutamata üldse võimalik?

Elektrisõidukid

2001. aasta juunis esitleti REVA elektriautot ning Suurbritanniasse eksporditi see nimega G-Wiz. G-Wiz´i elektrimootori maksimaalseks võimsuseks on 13kW ning pidevvõimsuseks 4,8kW. Selle mootor kasutab samuti regeneratiivpidurdust. Energiaallikana kasutab G-Wiz kaheksat 6-voldist pliiahappeakut, mis täielikult laetuna võimaldavad läbida „kuni 77 kilomeetrit.“ Täielik laadimine kulutab 9,7kWh elektrit. Nende arvude abil saame arvutada kilomeetri läbimise transpordikulu, milleks on 13kWh.

Joonis 20.20: Elektrisõidukid. Vasakult paremale: G-Wiz; Sinclair C5 lagunev kere; Citroën Berlingo ning Elettrica.
Joonis 20.21: G-Wiz'i laadimiseks vajalik energia versus sõidetav vahemaa. Mõõtmised sooritati pistikupesas.

Tootjad esitavad alati oma toodete võimalikke parimaid tulemusi. Mis juhtub aga tegelikult? G-Wiz'i tegelikud tulemused Londonis sõites on toodud joonisel 20.21. Pärast -kordset täielikku laadimist on selle G-Wiz'i transpordikulu kohta – umbes neli korda parem kui tavalisel fossiilkütuseautol. Parimaks tulemuseks oli kohta ning halvimaks 33kWh kohta. Kui sind huvitavad süsinikdioksiidi heitkogused, siis kohta vastab 105g kilomeetri kohta eeldades, et elektri jalajälg on iga kohta.

Joonis 20.22: Tesla Roadster: 100km kohta. www.teslamotors.com

G-Wiz asub oma võimekuselt spektri ühes otsas. Mis saab siis, kui nõuame veidi rohkem – rohkem kiirendust, suuremat kiirust ning suuremaid vahemaid? Spektri teisest otsast leiame Tesla Roadsteri. 2008. aasta Tesla Roadsteri sõiduulatus on 354km, selle liitium-ioon akud salvestavad 53kWh energiat ning kaaluvad 450 kilogrammi (120Wh/kg). Sõiduk kaalub kokku 1220 kilogrammi ning selle mootori maksimumvõimsus on 185kW. Mis on selle muskelauto energiakulu? Hämmastaval kombel on see parem kui G-Wiz'il: kilomeetri kohta. Tõestus selle kohta, et 354km-ne sõiduulatus on enamikele inimestele enamuse ajast sobilik, tuleneb sellest, et vaid 8,3% pendeldajatest elavad töökohast rohkem kui kilomeetri kaugusel.

Ma olen uurinud mitmete elektrisõidukite näitajaid – need on toodud selle peatüki lõpumärkmetes – ning need paistavad selle kokkuvõttega sobivat: elektrisõidukite transpordikuluks on ligikaudu kilomeetri kohta. See on viis korda parem kui meie tavaline fossiilauto ning tunduvalt parem kui hübriidautod. Hurraa! Me ei pea end ökonoomse transpordi saavutamiseks ühistranspordis nagu kilud karbis tundma – tänu elektriautodele saame me vabalt ringi reisida, nautides kõiki üksinda sõitmise vabadusi ja naudinguid.

Idatuul

Selle tulemuse tähistamise puhul oleks asjakohane esitada selle peatüki kokkuvõttev diagramm joonisel 20.23, millel on toodud nii juba kirjeldatud kui ka hiljem arutatavate erinevat tüüpi transpordivahendite energiakulu.

Olgu, võidusõit on läbi ning ma kuulutasin välja kaks võitjat: ühistransport ning elektrisõidukid. Kuid kas finišijoone suudavad ületada veel mingid variandid? Suruõhuautode ning vesinikautode teemal pole me veel arutada jõudnud. Kui need osutuvad elektriautodest paremateks, ei muuda see pikas perspektiivis eriti midagi: ükskõik millist neist tehnoloogiatest me kasutame, tuleb neid sõidukeid laadida „rohelise“ energia abil.

Suruõhuautod

Õhu jõul töötavad autod pole uus idee. Aastatel 1879 kuni 1911 liikusid Nantesi ja Pariisi tänavatel sajad suruõhu ning kuuma vee abil töötavad trammid. Joonisel 20.24 on näidatud 1958. aastast pärit pneumaatiline Saksamaa rong. Minu arvates pole energia efektiivsuse seisukohalt energia salvestamiseks mõeldud suruõhu-tehnoloogia sama hea kui elektriakud. Probleemiks on see, et õhu kokkusurumisel tekkivat soojust ei kasutata efektiivselt ära ning õhu paisumisel tekkiva külmaga on täpselt sama probleem. Suruõhk võib elektriakudest aga muude aspektide poolest parem olla. Näiteks saab õhku tuhandeid kordi kokku suruda ilma, et see ära kuluks! Siinkohal on huvitav ära märkida ka see, et Aircar'i esimeseks tooteks oli tegelikult elektriline motoroller. [www.theaircar.com/acf]

Joonis 20.24: Vasakul: Nantesi suruõhutramm, millele laetakse peale õhku ja auru. Nantesi trammide tööshoidmiseks kasutati -protsendilise täituvuse korral 4,4kg sütt (36kWh) iga sõiduk-kilomeetri kohta ehk 115kWh reisija-kilomeetri kohta. [5qhvcb] Paremal: Suruõhurong, mis kaalus 9,2 tonni, tekitas 175-baarist rõhku ning oli võimsusega 26kWh. Foto: Rüdiger Fach, RolfDieter Reichert ja Frankfurdi Raudteemuuseum.

Räägitakse, et Tata Motors toodab Indias suruõhuautosid, kuid on raske öelda, kas need muutuvad taas populaarseteks, sest keegi pole kaasaegsete prototüüpide kohta ühtegi näitajat avaldanud. Selliste sõidukite peamiseks piiranguks on järgnev tõsiasi: suruõhu-energiasalvestuse energiatihedus on vaid umbes 1128Wh kilogrammi kohta, mis on sama nagu pliihappeakudel ning ligikaudu viis korda väiksem kui liitium-ioon akudel. (Vt joonis 26.13, millel on toodud teiste energiasalvestustehnoloogiate detailid.) Seega saab suruõhuautode sõiduulatus olla vaid sama hea kui algsetel elektriautodel. Suruõhu-energiasalvestussüsteemidel on akude üle kolm eelist: pikem eluiga, odavam konstruktsioon ning väiksem hulk vastikuid kemikaale.

Vesinikautod

Vesinik on minu meelest üks meediatrikk. Oleksin väga õnnelik, kui keegi selle väite ümber lükkaks, kuid ma ei näe viisi, kuidas vesinik meid meie energiaprobleemidega aidata saaks. Vesinik pole mingi imeline energiaallikas – see on lihtsalt energiakandja, just nagu taaslaetav aku. Energiakandjana pole see üldse eriti efektiivne ning omab mitmeid praktilisi puudujääke.

Joonis 20.25: Hummer H2H: rohelise revolutsiooni Ameerikalik omaksvõtt. Foto: General Motors.

Ajakiri Nature kiitis „vesiniku ökonoomsust“ artiklis, milles kirjutati California kuberneri Arnold Schwarzeneggeri vesiniku jõul töötavast Hummerist (joonis 20.25). Artiklis kirjeldadi Arnoldi nägemust sellest, kuidas vesinikuautod asendavad tulevikus saastavad autod, nimetades teda „päriselu kangelaseks.“ Kuid sellise vesiniku-kangelaslikkuse  taustal tuleb küsida üks kriitiline küsimus: kust võetakse energia selle vesiniku saamiseks? Lisaks toimub praegu energia muundamine vesinikuks ning sellest vabastamine väga ebaefektiivselt.

Siin on mõned numbrid.

  • CUTE (Clean Urban Transport for Europe) projekti eesmärgiks oli demonstreerida kütuselement-busside ja vesiniku tehnoloogia teostatavust ja usaldusväärsust. Vesinikbusside energiakulu oli 80200% suurem kui tavalistel diiselbussidel.
  • BMW Hydrogen 7 vesinikauto kütusekulu on 254kWh kilomeetri kohta – 220% suurem kui keskmisel Euroopa autol.

Joonis 20.26: BMW Hydrogen 7. Energiakulu: 254kWh kohta. Foto: BMW

Kui meie ülesandeks oleks „palun lõpetada fossiilkütuste kasutamine transpordis eeldusel, et meile kättesaadav roheline energia on lõputu ning tasuta,“ siis oleksid sellised energiat pillavad lahendused nagu vesinik tõepoolest konkurentsivõimelised (kuigi vesinikuga on ka teised probleemid). Kuid roheline energia ei ole tasuta. Praegusele tarbimisele vastava rohelise energia tootmine saab olema tõeline väljakutse. Fossilkütuse väljakutse on energia väljakutse. Kliimamuutuse probleem on energia probleem. Me peame keskenduma lahendustele, mis kasutavad vähem energiat, mitte „lahendustele,“ mis kasutavad rohkem! Ma ei tea ühtegi maismaatranspordivahendit, mille energiakulu oleks suurem kui sellel vesinikautol. (Ainsateks veel hullemateks transpordivahenditeks on jetid, mis kasutavad kilomeetri läbimiseks umbes 500kWh, ning biodiisli abil töötav kiirkaater Earthrace, mida millegipärast kutsutakse öko-kaatriks, kuid mis kasutab 800kWh reisija-kilomeetri kohta.)

Joonis 20.27: Earthrace „öko-kaater“. Foto: David Castor

Vesiniku pooldajad võivad küll öelda, et „BMW Hydrogen 7 on ainult esialgne prototüüp ning et see on suurte musklitega luksusauto – see tehnoloogia muutub paremaks.“ Jah, ma tõesti loodan seda, sest sellel on veel pikk tee ees. Ka Tesla Roadster (joonis 20.22) on varajane prototüüp ning see on samuti suurte musklitega luksusauto. Samas on see rohkem kui kümme korda efektiivsem kui Hydrogen 7! Võite vabalt kogu oma raha vesinikutehnoloogiasse panna ning kui see võidab, on kõik hästi. Kuid tundub rumal toetada tehnoloogiat, mis on ajast väga kaugel maas. Lihtsalt vaadake joonist 20.23 – kui ma poleks vertikaalse telje ülaosa skaalat kokku surunud, poleks vesinikautod sellele üldse mahtunudki!

Joonis 20.28: Vesinik-kütuseelemendi jõul töötav sedaan Honda FCX Clarity, mille kõrval on võrdluseks toodud Jamie Lee Curtis. Foto:  automobiles.honda.com

Honda poolt toodetav kütuseelement-auto FCX Clarity on tõepoolest parem – see kulutab 69kWh kohta. Kuid mina ennustan, et pärast kogu seda nullemissiooni kära mõistame me, et vesinikautod kasutavad täpselt sama palju energiat kui kõik tänapäeva keskmised fossiilautod.

Toon siinkohal ära veel mõningad vesinikuga seotud probleemid. Oma mahukuse tõttu pole vesinik, seda nii kõrge rõhu all gaasina kui ka vedelikuna (milleks vajalik temperatuur on 253C) hoiustades, teiste vedelate kütustega võrreldes eriti mugavaks energiasalvestusviisiks. Isegi 700-baarise rõhu juures (milleks on vaja päris suurt rõhuanumat) on selle energiatihedus (ühikruumala kohta) vaid bensiini energiatihedusest. BMW Hydrogen 7 krüogeenanum kaalub kilogrammi ning sisaldab kilogrammi vesinikku. Lisaks sellele on teada, et vesinik lekib igasugustest praktilistest anumatest välja. Kui pargite oma vesinikauto rongijaama parklasse ning naasete selle juurde nädal hiljem, siis on enamus vesinikust kaduma läinud.

Mõningad küsimused elektrisõidukite kohta

Sa näitasid, et elektriautod on energiaefektiivsemad kui fossiilautod. Kuid kas need on ka siis paremad, kui meie eesmärgiks on vähendada emissioone, sest selle elektri toodavad ju samuti fossiilkütust kasutavad elektrijaamad?

Seda on üpriski kerge arvutada. Eeldame elektrisõiduki energiakuluks 20kWh(e) kilomeetri kohta. (Ma arvan, et 15kWh(e) kohta on täiesti võimalik, kuid olgem selles arvutuses skeptilised.) Kui elektrivõrgustiku süsinik-jalajälg on 500gkWh(e) kohta, siis on selle sõiduki tegelikuks emissiooniks 100gCO2 kilomeetri kohta. See on sama hea tulemus kui parimatel fossiilautodel (joonis 20.9). Kokkuvõtvalt võib öelda, et üleminek elektriautodele on juba praegu hea idee – seda enne rohelistele energiaallikatele üleminekut.

Nii elektriautode kui ka fossiilautode tootmiseks ning kasutamiseks kulub energiat. Elektriautode kasutamine on ehk odavam, kuid kui need akud ei pea eriti kaua vastu, siis kas meil ei tuleks mitte rohkem tootmiskuludele mõelda?

Jah, see on õige tähelepanek. Minu transpordidiagramm näitab ainult kasutuskulusid. Kui elektriautod vajavad iga paari aasta tagant uusi akusid, võivad minu numbrid olla liiga madalad. Priuse akude tööeaks pakutakse vaid aastat ning uued akud maksavad 3500 Briti naela. Kas keegi tahaks omada aasta vanust Priust ning sellise summa välja käia? On õige eeldada, et enamik Priuseid viiakse aasta möödudes mahakandmisele. See mure puudutab kõiki akude peal töötavaid elektrisõidukeid. Ma olen tõenäoliselt lihtsalt optimistlik, et elektriautodele üle minnes parandaksime me ka akude tehnoloogiat.

Ma elan väga kuumas riigis. Kuidas ma saan elektriautoga sõita? Ma ei saaks ilma suure energiakuluga õhukonditsioneerita üldse hakkama!

Selle nõudmise lahendamiseks on elegantne viis: paigaldage elektriauto ülespoolsetele pindadele 4m2 väärtuses päikesepaneele. Et tekiks vajadus õhukonditsioneeri järgi peab päike kindlasti paistma. 20-protsendilise efektiivsusega paneelide abil saab toota kuni 800W elektrit, mis on auto konditsioneeri varustamiseks piisav. Paneelid võivad aidata autol ka parkimise ajal akusid laadida. Mazda kasutas päikesepaneelidel põhinevat jahutussüsteemi juba 1993. aastal – elemendid ehitati sisse auto klaaskatusesse.

Ma elan väga külmas riigis. Kuidas ma saan elektriautoga sõita? Ma ei saaks ilma suure energiakuluga küttesüsteemita üldse hakkama!

Elektrisõiduki mootor tarbib töötamise ajal ligikaudu 10kW energiat efektiivsusega 9095%. Osa kaotsiläinud energiast – see ülejäänud 510% - hajub mootoris soojusena. Võib-olla ehitatakse külmades riikides kasutamiseks mõeldud elektriautod hoolikalt nii, et seda mootori poolt toodetavat soojust, mis jääb suurusjärku 250500W, kasutatakse auto sisemuse kütmiseks. Selline hulk energiat aitab kindlasti aknaid puhastada või inimesi soojendada.

Kas liitium-ioon akud on õnnetuse korral ohutud?

Mõningad liitium-ioon akud on lühise või ülekuumenemise korral ohtlikud, kuid akutööstus toodab juba praegu ohutumaid akusid, näiteks liitium-fosfaadi abil. Leheküljel www.valence.com on toodud üks sellekohane lõbus ohutusvideo.

Kas maailmas leidub nii suure hulga elektriautode tootmiseks piisavalt liitumit?

Maailma liitiumireservideks hinnatakse maavaradena 9,5 miljonit tonni. Liitium-ioon akust moodustab liitium vaid . Kui me eeldame, et iga sõiduk sisaldab kilogrammi väärtuses akusid, on meil iga sõiduki kohta vaja 6kg liitiumi. Seega saaksime nende hinnanguliste reservide abil ehitada miljardit sõidukit. See on rohkem kui maailmas on praegu autosid kokku (ligikaudu miljard) – kuid mitte palju rohkem, mistõttu võib liitiumi reservide hulk siiski muret tekitada, eriti kui võtta arvesse tuumaenergia tööstuse plaani kasutada liitiumit oma reaktorites (peatükk Tuumaenergia?).

Merevees leidub liitiumit tuhandeid kordi rohkem, mistõttu moodustab see suure hulga meie tagavarast. Liitiumialane ekspert R. Keith Evans ütleb, et „mure liitiumi saadavusega selle rakendamiseks hübriid- või elektriautode akudes ning muudes tuleviku rakendustes on alusetu.“ Ning niikuinii arendatakse juba praegu välja teisi, liitiumivabasid akutehnoloogiaid, seehulgas taaslaetavad tsink-õhu akud [www.revolttechnology.com]. Ma arvan, et elektriautod on tulevik!

Lendamise tulevik?
Joonis 20.29: Airbus A380.

Airbusi sõnul on hiigelsuur A380 „väga kütuseefektiivne lennuk.“ Tegelikult kulutab see reisija kohta vaid 12% vähem kütust kui Boeing 747. Boeing kuulutas ka ise välja mõningad läbimurded: nende uus 747-8 Intercontinental, mida reklaamitakse selle planeeti päästvate omaduste poolest, on (vastavalt Boeingi reklaamile) vaid efektiivsem kui 747-400.

Seda tagasihoidlikku arengut (võrreldes autodega, kus tehnoloogialased edasiarengud efektiivsuses on kaks või isegi kümme korda paremad) selgitatakse tehnilises peatükis Lennukid II. Nimelt võitlevad lennukid füüsikaseaduste poolt põhjustatud piirangute vastu. Iga lennuk, ükskõik milline on selle suurus, peab õhus püsimiseks ning edasi liikumiseks kulutama vähemalt 0,4kWh energiat iga tonn-kilomeetri kohta. Lennukeid on juba tunduvalt optimiseeritud ning nende efektiivsuse suuri edasiarenguid tulevikus oodata ei ole.

Joonis 20.30: TSS Rijndam.

Mingil hetkel olin ma kindel, et pikamaatranspordi probleemi lahendamiseks tuleb meil minna tagasi lennukite-eelsesse aega: ookeani-liinilaevad. Seejärel vaatasin ma numbreid. On kurb tõsiasi, et liinilaevad kasutavad reisija-kilomeetri kohta rohkem energiat kui hiigellennukid. QE2 kasutab reisija-kilomeetri kohta neli korda rohkem energiat kui hiigellennuk. Olgu – tegemist on luksuslaevaga – kuid kas aeglasema, turistidele mõeldud liinilaevade tulemused on paremad? Aastatel 1952 kuni 1968 kasutati Atlandi Ookeani ökonoomseks ületamiseks kahte Hollandis ehitatud liinilaeva, mida tunti „Ökonoomsuskaksikute“ nime all: Maasdam ja Rijnsdam. Nende laevade sõidukiiruseks oli 16,54 sõlme (), mistõttu võttis reis Suurbritanniast New Yorki koguni kaheksa päeva. Nende energiakulu -protsendilise täituvuse ehk 893 reisija korral oli 103kWh reisija-kilomeetri kohta. Tavapärase -protsendilise täituvuse korral oli energiakuluks 121kWh reisija-kilomeetri kohta – enam kui kaks korda rohkem kui hiigellennukil. Kui laevade suhtes õiglane olla, ei paku need vaid transporti: reisijatele ja töötajatele tagatakse kaheksaks päevaks soe õhk, kuum vesi, valgus ja meelelahutus. Laeva energiakulu, mis QE2 korral on ligikaudu 3000kWh reisija kohta päevas, on koju jäämise korral kulutatavast energiast muidugi kordades suurem.

Seega tuleb kahjuks tunnistada, et laevad lennukeid energiakulu osas üle ei trumpa. Kui soovime tulevikus ilma fossiilkütuseid kasutamata pikki vahemaid läbida, on huvitavaks variandiks võib-olla tuumaenergial töötavad laevad (joonised 20.31 ja 20.32).

Aga kaubatransport?

Rahvusvaheline kaubatransport on fossiilkütuste kasutamisel üllatavalt efektiivne, mistõttu tuleks esmalt välja juurutada teetranspordi sõltuvus fossiilkütustest ning alles seejärel tegeleda laevadega. Kuid fossiilkütused on lõplikud maavarad ning tulevikus peavad ka laevad töötama mõne muu energia jõul. Võib-olla saaksime ikkagi biokütuseid kasutada.

Teiseks võimaluseks oleks kasutada tuumaenergiat. Maailma esimene kauba- ning reisijateveoks mõeldud tuumaenergial töötav laev oli NS Savannah, mis alustas oma tööd 1962. aastal osana president Dwight D. Eisenhoveri uuesti initsiatiivist Atoms for Peace ehk Aatomid rahu nimel (joonis 20.31). reisijat ning 14000 tonni kaupa vedanud Savannah -megavatist mootorit hoidis töös üks 74-megavatine tuumareaktor, mis andis sõidukiiruseks sõlme (). Seega oli Savannah kaubatranspordi kuluks 0,14kWh tonn-kilomeetri kohta. Iga tankimise vahel võis see laev läbida 500000 kilomeetrit. Juba praegu on kasutuses mitmeid tuumaenergia jõul töötavaid laevu – seda nii sõjaväes kui ka tsiviilharudes. Venemaa omab näiteks kümmet tuumaenergial töötavat jäälõhkujat, millest seitse on jätkuvalt aktiivsed. Joonisel 20.32 on toodud jäälõhkuja Yamal, millel on kaks 171-megavatist reaktorit ning mille mootorid toodavad 55MW.

„Pea nüüd kinni! Sa pole magnetlevitatsiooni veel maininudki!“

Maglev-rong Pudongi Rahvusvahelises Lennujaamas Shanghais

Saksa firma Transrapid, kes ehitas Hiina linna Shanghai jaoks maglev-rongi (joonis 20.33), on öelnud: „Müra, energiakulu ning maakasutuse osas pole Transrapid Superspeed Maglev süsteemile mitte ühtegi konkurenti. See uuenduslik mittekontaktne transpordisüsteem võimaldab transporti ilma keskkonda ohverdamata.“

Magnetlevitatsioon on üks mitmest tehnoloogiast, mis energiateemade arutamisel liialt palju tähelepanu saab. Energiakulu aspektist pole see tehnoloogia teiste kiirrongidega võrreldes üldsegi nii vaimustav kui meediakära väidab. Transrapidi kodulehel võrreldakse Transrapid rongi InterCityExpress (ICE) rongiga, mis on elektriline kiirrong.

Tabel 3.2

Kiirrongide võrdlus 200km/h kiirusel


Transrapid

2,2kWh istekoha-kilomeetri kohta

ICE

istekoha-kilomeetri kohta

Peamised põhjused, miks maglev on veidi parem kui ICE, on järgnevad: magnetpropulsioon-mootor on efektiivsem; rongi enda mass on väiksem, sest enamik propulsioonisüsteemist asub rööbastes ning mitte rongis endas; rongi mahub rohkem reisijaid, sest kuna mootorid ei asu rongis, kasutatakse seda lisaruumi istmete jaoks. Ja kuna need andmed on pärit maglevi firma kodulehelt, proovivad nad neid muidugi ilustada!

Minu tuttavad, kes Transrapid rongi Shanghais näinud on, on öelnud, et täiskiiruse juures on see „umbes sama vaikne kui reaktiivmootoriga lennuk.“

Märkused ja edasine lugemine

Laialt on kasutusel statistika, mis ütleb midagi stiilis „ainult protsent autode poolt kasutatud energiast läheb juhi liigutamiseks”. Selles müüdis kasutatav protsent varieerub ringi levides tegelikkuses üpriski palju. Paljude sõnul „kulub juhi liigutamiseks energiast.“ Mõned ütlevad, et „juhi liigutamiseks kulub vaid kolm kümnendikku sellest ühest protsendist.“ [4qgg8q] Minu arvates pole ükski neist arvudest ei korrektne ega abistav.

Joonis 20.34: Londonis on üheksa sõidukit kümnest G-Wiz'id. (Ja statistikast on vaid väljamõeldis).

Jalgratas on umbes sama efektiivne kui ökoauto. Tavalise jalgrattaga sõites tuleb kilomeetri läbimiseks kiirusega kulutada ombes energiat. Täpsemate andmete ja viidete jaoks vt peatükk Autod.

Cambridge'ist Londonisse suunduv kaheksavaguniline rong (joonis 20.4) kaalub 275 tonni ning veab 584 istuvat reisijat. Selle maksimumkiiruseks on ning võimsus 1,5MW. Kui kõik istmed on täidetud, kasutab see rong täiskiirusel sõites maksimaalselt reisija-kilomeetri kohta.

Joonis 20.35: kilomeetri läbimiseks kulutatav energiahulk ühe sõitjaga autos võrreldes täiesti täis elektrilise kiirrongiga.

Londoni metroosüsteem. Victoria liin koosneb neljast 30,5-tonnisest ning neljast 20,5-tonnisest vagunist (millest esimene veab mootoreid). Täiskoorma korral kaalub keskmine rong 228 tonni ning selle maksimumkiiruseks on . Rongi keskmiseks kiiruseks on aga ligikaudu . Kui enamus rongi istmeid on täidetud, on selles ligikaudu 350 reisijat. Täiskoormuse korral võib see arv ulatuda aga 620 reisijani. Sellisel täistunnil on rongi energiakuluks umbes reisija-kilomeetri kohta. (Catling, 1966).

Kiirrong.

Diiselmootoriga Intercity 125 rong (joonisel 20.5 paremal) kaalub 410 tonni. 201-kilomeetrise tunnikiirusega sõitev rong kulutab umbes 2,6MW energiat. Täieliku täituvuse korral on selles rongis ligikaudu inimest. istme-kilomeetri keskmine kütusekulu on umbes 0,84 liitrit [5o5x5m], andes transpordikuluks ligikaudu istme-kilomeetri kohta. Class 91 elektrirong (joonisel 20.5 vasakul) liigub kiirusega ning kulutab 4,5MW. Roger Kempi andmetel on selle rongi keskmine energiakulu istme-kilomeetri kohta [5o5x5m]. Valitsuse dokumendi [5fbeg9] kohaselt kasutavad nii ida- kui ka lääneranniku põhiliinid umbes kilomeetri kohta (kogu rong). Nende rongide istmete arvud on vastavalt 526 ja 470. See teeb istme-kilomeetri kohta 2,93,2kWh.

Kõigi Londoni metroorongide kogu energiakulu oli reisija-kilomeetri kohta. ...Kõigi Londoni busside kogu energiakulu oli 32kWh reisija-kilomeetri kohta. Allikas: [679rpc]. Rongi- ja bussikiiruste allikas: Ridley ja Catling (1982).

Croydon Tramlink.

www.tfl.gov.uk/assets/downloads/corporate/TfL-environment-report-2007.pdf, www.tfl.gov.uk/assets/downloads/corporate/Lond Travel-Report-2007-final.pdf, www.croydon-tramlink.co.uk.

...lahenduseks on suurepärased rattateed... Suurbritannia tänavaehitusjuhend [www.manualforstreets.org.uk] julgustab tänavaid ehitama nii, et muutuks loomulikuks kiiruseks. Vt ka Franklin (2007).

Aus ja lihtne meetod ummikumaksude haldamiseks. Stephen Salter kirjeldas mulle suurepärast viisi ummikumaksude tasumise automatiseerimiseks. Lihtne päevane ummikumaks, mis hetkel Londonis kehtib, saadab autojuhtidele vaid robustse signaali; kui autoomanik on otsustanud ühe päeva eest maksta ning ummikualasse sõita, pole tal mingil juhul plaanis selles alas vaid veidi ringi sõita. Lisaks ei saa ta mingit boonust selle eest, kui ta valib oma teekonna läbi ummikuvabade tsoonide.

Joonis 20.36: Trammid töötavad hästi nii Istanbulis kui ka Prahas.

Selle asemel, et kasutada tsentraalset süsteemi, mis eelnevalt otsustab, kus ja millal ummikumaksuga tsoonid asuvad, pakkus Salter nende alade ning sõidukite liikumise kuluka jälgimissüsteemi põhjal välja lihtsama, detsentraliseeritud ning anonüümse meetodi nõudmaks maksmist nendes alades vaid ummikute tegeliku toimumise ajal. See süsteem toimuks üle kogu riigi. Seletan järgnevalt, kuidas see töötaks. Meil on vaja seadet, mis vastaks küsimusele „kui aeglane on liiklus, milles ma hetkel sõidan?“ Ummiku heaks hindamismeetodiks on vaadata, kui palju teisi aktiivseid sõidukeid asub sinu ümber. Kiiresti edeneva liikluse korral on vahemaad autode vahel suuremad kui aeglase liikluse korral. Kõige tihedamini on liiklus pakitud just ummikute korral. Teatud sõiduki ümbruses asuvate töötavate sõidukite hulka saaks hinnata anonüümselt autodesse paigaldatud raadiosaatja/vastuvõtja (justkui hästi odava telefoni) abil, mis edastaks ühtlase sagedusega lühikesi raadiosignaale kui auto mootor töötab ning loeks ka teiste autode poolt edastatavaid signaale. Ummikumaks oleks vastuvõetud signaalide arvuga proportsionaalne ning seda saaks maksta näiteks tanklates ajal, mil kütust tangitakse. See raadiosaatja/vastuvõtja asendaks praegust Suurbritannia teemaksude süsteemi.

Hoorataste ja hüdraulika abil töötavad regeneratiivsüsteemid püüavad kinni vähemalt 70% pidurdusenergiast. Veoautodes kasutatakse regeneratiivpidurduseks suruõhku; eaton.com'i informatsiooni põhjal püüab „hüdrauliline kiirendusabi“ kinni 70% kineetilisest energiast. Flybirdsystems.com hooratta süsteem püüab samuti kinni 70% kineetilisest energiast. www.flybridsystems.com/F1System.html

Elektriline regeneratiivpidurdus püüab kinni . Allikas: E4tech (2007).

energiat välja andvad elektriakud kaaluksid umbes kilogrammi. Heade liitium-ioon akude erivõimsus on 300W/kg (Horie et al., 1997; Mindl, 2003).

Keskmine uus Suurbritannia auto tekitab iga kilomeetri kohta 168g . See arv on 2006. aasta kohta (King, 2008). Ameerika Ühendriikide keskmise sõiduauto heitgaaside hulk oli 225g kilomeetri kohta (King, 2008).

Toyota Priuse mootor on energiaefektiivsem. Priuse bensiinimootor kasutab erinevalt traditsioonilisest Otto tsüklist hoopiski Atkinsoni tsüklit. Elektrienergia ning kütuseenergia kavala kombineerimise abil vastavalt hetkel vajatud energiahulgale on Priuse mootor auto kere kohta tavalisest väiksem. Kuna Priuse mootor suurendab kütusekasutuse efektiivsust, on selle mootor efektiivsem kui tavaline bensiinimootor.

Hübriidtehnoloogiate kütusekulu on kuni madalam. Näiteks selgub Hitachi hübriidrongide uurimusraportist (Kaneko et al., 2004), et kõrge efektiivsusega energiatootmine ning regeneratiivpidurdus „kasutavad kütust võrreldes tavaliste diiselmootoritega ligikaudu efektiivsemalt.”

Vaid 8,3% pendeldajatest elavad töökohast rohkem kui kilomeetri kaugusel. Allikas: Eddington (2006). Elektriauto sõiduulatuse sõltuvust selle akude suurusest on kirjeldatud peatükis Autod.

Palju elektriautosid. Kõik need on kirjeldatud allpool suvalises järjekorras. Nende võimekust kirjeldavad numbrid on peamiselt tootjate poolt. Nagu varemalt nägime, ei vasta reaalsed numbrid alati tootjate väidetele.

Joonis 20.37: Think Ox. Foto: www.think.no.

Think elektriautod Norrast. Viieukseline Ox omab -kilomeetrist sõiduulatust. Selle akud kaaluvad 350 kilogrammi ning auto kaalub kokku kilogrammi. Selle energiakulu on ligikaudu kilomeetri kohta. www.think.no

Elektriline Smart. „Seda elektrilist versiooni hoiab töös -hobujõuline mootor, selle sõiduulatuseks on 113 kilomeetrit ning maksimaalkiiruseks . Laadimine toimub läbi tavalise pistiku ning maksab umbes £1,20, andes elektrijaamas vastavaks heitgaaside hulgaks 60g/km süsinikdioksiidi. (Võrdluseks: tavaline bensiinimootoriga Smart toodab .) Täielik laadimine võtab umbes kaheksa tundi, kuid laetuse korral saab seda protsendini laadida vaid kolme ja poole tunniga.” [www.whatcar.com/news-article.aspx?NA=226488]

Berlingo Electrique 500E, linnaliikluses kasutamiseks mõeldud kaubaauto (joonis 20.20), omab 27 nikkelkaadmiumakut ning -kilovatist mootorit. Selle kandevõimeks on 500kg. Maksimaalkiirus: , sõiduulatus: . 25kWh kilomeetri kohta. (Hinnangu lahkeks esitajaks oli üks Berlingo omanik.) [4wm2w4].

Joonis 20.38: Mitsubishi Motors Corporation'i i MiEV.  Sellel on 47-kilovatine mootor, see kaalub 1080 kilogrammi ning selle maksimaalkiiruseks on .

Elektrilise i MiEV hinnanguline sõiduulatus on kilomeetrit ning sellel on akupank. See teeb kilomeetri kohta – parem kui G-Wiz – ning kui kahe täiskasvanud Eurooplase mahutamine G-Wiz'i on üpriski keerukas, on Mitsubishi prototüübil neli ust ning neli täissuurusega istet (joonis 20.38). [658ode]

Kaheistmelise General Motorsi EV1 sõiduulatus oli kuni 124 kilomeetrit laengu kohta ning selle nikkelmetallakud hoiustasid 26,4kWh energiat. See teeb energiakuluks 1122kWh kilomeetri kohta.

Joonis 20.39: Lightning: 11kWh kilomeetri kohta. Foto: www.lightningcarcompany.co.uk.

Lightning (joonis 20.39) omab nelja -kilovatist harjadeta mootorit – ühte igal rattal -, regeneratiivpidurdust ning kiirlaadimisega Nanosafe liitiumtitanaat akusid. 36kWh mahtuvus annab sõiduulatuseks 320 kilomeetrit. See teeb 11kWh kilomeetri kohta.

Joonis 20.40: Aptera. kilomeetri kohta. Foto: www.aptera.com.

Aptera. See suurepärane libe kala on kaheistmeline sõiduk, mille energiakuluks on väidetavalt kilomeetri kohta. Selle takistustegur on 0,11 (joonis 20.40). Hetkel arendatakse nii elektri- kui ka hübriidmudeleid.

Joonis 20.41: Loremo. kilomeetri kohta. Foto: evolution.loremo.com.

Nagu ka Apteral on Loremo (joonis 20.41) esiosa väikese pindalaga ning see omab seetõttu madalat takistustegurit (). Müüki tuleb see nii fossiilkütuse- kui ka elektrilise variandina. Sellel on kaks täiskasvanutele mõeldud istet ning kaks tahapoole suunatud lastele mõeldud istet. Loremo EV saab omama liitium-ioon akusid ning selle eeldatav energiakulu on kilomeetri kohta, maksimaalkiirus ning sõiduulatus 153 kilomeetrit. See kaalub vaid kilogrammi.

eBox. eBoxil on 35kWh mahutavusega liitium-ioon aku, mis kaalub 280kg. Sõiduulatuseks on 225290 kilomeetrit. Selle mootori tippvõimsus on 120kW ning pidevvõimsuseks 50kW. Energiakulu on kohta.

Ze-0. Viieistmeline viie uksega auto. Maksimaalkiirus: . Sõiduulatus: kilomeetrit. Kaal, kaasa arvatud akud: 1350kg. Pliihappeakude mahtuvus on 18kWh. Mootori võimsus on 15kW. Energiakulu: 22,4kWh kohta.

e500. Fiati-sarnane Itaalia auto, millel on kaks ust ning istekohta. Maksimaalkiirus: . Sõiduulatus linnas: kilomeetrit. Aku: liitium-ioon polümeer.

MyCar. MyCar on Itaalias disainitud kaheukseline auto. Maksimaalkiirus: . Maksimaalne sõiduulatus: 96 kilomeetrit. Pliihappeakud.

MegaCity. Kaheistmeline auto, mille maksimaalne pidevvõimsus on 4kW ning maksimaalkiirus : 11,5kWh kohta. Tühimass (ilma akudeta) on 725kg. Pliiakude mahtuvus on .

Xebra väidetavaks sõiduulatuseks on 4,75kWh laengu kohta. Energiakulu kohta. Maksimaalkiiruseks on . Pliihappeakud.

Joonis 20.42:  TREV. kohta. Foto: www.unisa.edu.au.

TREV. Kaheukseline Taastuvenergiasõiduk on Lõuna-Austraalia Ülikooli poolt välja töötatud prototüüp (joonis 20.42). Selle kolmerattalise sõiduulatus on 150km, maksimaalkiirus ning see kaalub kilogrammi. Sõiduki liitium-ioon polümeerakud kaaluvad vaid 45kg. Reaalse 3000-kilomeetrise reisi korral oli sõiduki energiakuluks 6,2kWh kohta.

Venturi Fetishi aku mahutab 28kWh ning kaalub 248 kilogrammi. Auto kaalub kokku 1000kg. Sõiduulatus: 160250km. See teeb energiakuluks 1117kWh kohta.  www.venturifetish.fr/fetish.html

Joonis 20.43: Toyota RAV4 EV. Foto: Kenneth Adelman, www.solarwarrior.com.

Toyota RAV4 EV. See elektriline sportmaastur oli müügis aastatel 1997 kuni 2003 (joonis 20.43). RAV4 EV kandis -voldist 95-ampertunnist NiMH akud, mis mahutasid 27,4kWh energiat. Sõiduulatuseks oli 130190km. See annab energiakuluks 1421kWh kohta. RAV4 EV oli väga populaarne näiteks Jersey politseijaoskonnas.

Phoenix SUT. Kalifornias valmistatud viieistmeline sport-veoauto sõiduulatusega kuni 210 kilomeetrit tänu 35kWh liitium-ioon akudele. (See teeb energiakuluks kohta.) Akusid saab spetsiaalse pistiku abil laadida vaid minutiga. www.gizmag.com/go/7446/

Modec kaubaauto. Modec suudab tarnida kahe tonni väärtuses kaupa kilomeetri kaugusele. Tühimass 3000kg.  www.modec.co.uk

Smith Ampere. Väiksem kaubaauto 24kWh liitium-ioon akudega. Sõiduulatus „üle kilomeetri.” www.smithelectricvehicles.com

Elektriline minibuss samalt firmalt  www.smithelectricvehicles.com: liitium-ioon akud. 90kW mootor ning reaktiivpidurdussüsteem. Sõiduulatus „kuni kilomeetrit.” istekohta. Sõiduki tühimass on 3026 kilogrammi. Kasulik koormus 1224 kilogrammi. See annab sõiduki parimaks energiakuluks 25kWh kohta. Kui sõiduk on täiesti täis, oleks selle transpordikulu hämmastavad reisija-kilomeetri kohta.

Elektriline buss. Thunder Sky bussi sõiduulatus on kilomeetrit ning laadimisaeg kolm tundi. www.thundersky.com

Joonis 20.44: Vectrix: 2,75kWh kohta. Foto: www.vectrix.com.

Elektrilised motorollerid. Vectrix on üsnagi võimekas motoroller (joonis 20.44). Selle aku (nikelmetalli hübriid) mahutavus on 3,7kWh. sõidukiirusega saab sellega sõita kuni kilomeetrit ning selleks tuleb rollerit tavalisest pistikust kaks tundi laadida. 110km on sama mis 2,75kWh kilomeetri kohta. Maksimaalkiirus . Sõiduki kaal on 210kg ning maksimumvõimsus 20kW. www.vectrix.com

Oxygen Cargo on väiksem motoroller, mis kaalub 121 kilogrammi ning mille sõiduulatus on 61 kilomeetrit. Laadimisaeg on 23 tundi. Maksimumvõimsus: 3,5kW; maksimaalkiirus: . Sellel on kaks liitium-ioon akut ning regeneratiivpidurdussüsteem. Sõiduulatust saab lisaakude abil suurendada – neist igaüks mahutab 1,2kWh ning kaalub 15kg. Energiakulu: kohta.

Suruõhu-energiasalvestuse energiatihedus on vaid umbes 1128Wh kilogrammi kohta. Teoreetiline piir täiusliku isotermaalse rõhu korral: kui õhku surutakse aeglaselt 5-liitrisesse mahutisse -baarise rõhu all, on kilogrammis õhus salvestatud potentsiaalseks energiaks 0,16kWh. Praktikas kaalub selline spetsiaalne terasest -liitrine rõhumahuti umbes 7,5kg, kevlarist või süsinikkiududest valmistatud anum aga . Üldine saavutatav energiatihedus oleks umbes 1128Wh kilogrammi kohta. Teoreetiline energiatihedus on sama sõltumata mahuti ruumalast.

Arnold Schwarzennegger...tankimas vesiniku jõul töötavat Hummerit. Nature 438, 24. november 2005. Ma ei ütle, et vesinik ei saa mitte kunagi transpordi jaoks kasulik olema, kuid ma lootsin, et selline lugupeetud ajakiri nagu Nature suhtuks vesiniku-teemasse veidi kriitilisemalt ning ei läheks meediakäraga kaasa.

Vesinik ja kütuseelemendid pole edasi liikumiseks õige valik. Bushi administratsiooni ja Kalifornia osariigi otsus vesiniku-teemaga kaasa minna on viimaste aastate halvim otsus.

James Woolsey, USA Puhaste Kütuste Assotsiatsiooni nõukogu esimees, 27. november 2007.

2008. aasta septembris kirjutas The Economist: „Peaaegu kõik on nõus, et tulevikus töötavad kõik autod akudel.”

Teisalt, et kuulda veidi rohkem vesinikupõhise transpordi toetajatelt, vt Rocky Mountain instituudi lehekülgi „HyperCar” kohta: www.rmi.org/hypercar/.

Euroopa Puhta Linnatranspordi projekti põhjal tarbivad vesinikubussid 80200% rohkem energiat kui tavalise diiselbussi korral. Allikas: CUTE (2006); Binder et al. (2006).

BMW vesinikuauto tarbib kolm korda rohkem energiat kui keskmine auto. Pool BMW Hydrogen 7 pagasiruumist täidab selle -liitrine vesinikumahuti, milles on 8kg vesinikku, andes sõiduulatuseks kilomeetrit [news.bbc.co.uk/1/hi/business/6154212.stm]. Vesiniku kütteväärtus on 39kWh kilogrammi kohta ning vesiniku tootmise parim energiakulu on 63kWh (millest 52kWh on maagaas ning 11kWh elekter) (CUTE, 2006). Seega on -kilogrammise mahuti täitmise energiakulu vähemalt 508kWh; kui see mahuti tõepoolest annab sõiduulatuseks kilomeetrit, on kilomeetri läbimise energiakulu 254kWh.

Hydrogen 7 ning vesinik-kütuseelementi kasutavad sarnased autod on mõnes mõttes lihtsalt meie tähelepanu hajutavad sõidukid. David Talbot, MIT Techonology Review  www.technologyreview.com/Energy/18301/

Honda kütuselement-auto FCX Clarity kaalub 1625 kilogrammi, mahutab 4,1 kilogrammi vesinikku 345-baarise rõhu juures ning selle sõiduulatuseks on 450 kilomeetrit, läbides tavaliste sõidutingimuste korral ühe kilogrammi vesiniku kohta 91 kilomeetrit [czjjo], [5a3ryx]. Eeldades ülalkirjeldatud vesinikutootmise viisi, mille peamiseks energiaallikaks on maagaas, on selle auto transpordikulu 69kWh kilomeetri kohta.

Honda võib veenda ajakirjanikke arvama, et vesinikuautod on nullemissiooniga, kuid kahjuks ei saa nad petta kliimat. Merrick Godhaven

Liitium moodustab liitium-ioon akust . Allikas: Fisher et al. (2006).

Liitiumialane ekspert R. Keith Evans ütleb, et „mure liitiumi saadavusega ... on alusetu.“ - Evans (2008).

Kaks Hollandis ehitatud liinilaeva, nimega „Ökonoomsuskaksikud.“  www.ssmaritime.com/rijndam-maasdam.htm.

QE2: www.qe2.org.uk.

Transrapid maglev rong. www.transrapid.de.

Nutikam kütmine
Nutikam kütmine

Eelmises peatükis õppisime, et elektrifikatsioon kahandaks transpordi energiakulu 80% võrra, moodustades viiendiku selle praegusest tasemest. Ühistransport ning rattasõit on autosõidust kuni 40% efektiivsemad. Kuidas on aga lood kütmisega? Kui palju energiat saaksime tehnoloogia või elustiilimuutuste abil säästa?

Hoone kütmiseks kasutatava energiahulga saame, kui korrutame omavahel kolm suurust:

Joonis 21.1: Minu maja.

Lubage ma selgitan seda valemit (mida kirjeldatakse täpsemalt peatükis Kütmine II) näite abil. Minu maja on kolme magamistoaga paarismaja, mis ehitati umbes 1940. aastal (joonis 21.1). Hoone sise- ja välitemperatuuride erinevuse keskmine väärtus sõltub termostaadi seadistusest ning ilmast. Kui termostaat on pidevalt kraadi peal, võib keskmine temperatuurierinevus olla kuni 9C. Hoone leke kirjeldab seda, kui kiiresti soojus selle temperatuurierinevuse tõttu läbi seinte, akende ja pragude välja pääseb. Seda leket nimetatakse mõnikord hoone soojuskao näitajaks. Selle näitaja ühikuks on päevas ühe kraadi temperatuurierinevuse kohta. Kütmine II peatükis arvutatakse minu maja lekkeks 2006. aastal 7,7kWh/p¨aev/C. Korrutis

näitab, kui kiiresti soojus majast soojusjuhtivuse ja ventilatsiooni läbi välja pääseb. Kui keskmine temperatuurierinevus on näiteks 9C, siis on soojuskadu

See on rohkem kui Soojendamise ja jahutamise peatükis saadud ruumi küttekulu. Seda kahel põhjusel: esiteks eeldab see valem, et kogu soojus tuleb katlast, kuid tegelikkuses tuleb osa soojusest ka juhuslikest soojusallikatest, nagu näiteks inimesed, elektroonikaseadmed ning Päike; teiseks eeldasime Soojendamise ja jahutamise peatükis, et 20C juures hoiti vaid kahte ruumi – kogu hoone sellel temperatuuril hoidmiseks on vaja rohkem energiat.

Olgu, kuidas saame siis kütmiseks kulutatavat energiahulka vähendada? Selleks on, nagu ikka, kolm võimalust:

  1. Keskmise temperatuurierinevuse vähendamine. See saavutatakse termostaadi maha keeramise abil (või kui tunnete mõnda väga kõrgel kohal olevat isikut, siis ilma muutes).
  2. Hoone lekete vähendamine. Seda saab teha hoone soojustust parandades – kolmekordsed aknad, tuuletõmbe vähendamine, pehmed tekid. Või midagi radikaalsemat: tirime hoone maha ja asendame selle paremini soojustatud majaga. Või siis vähendades inimese kohta käiva maja suurust. (Lekkimine on tavaliselt seda suurem mida suurem on hoone põrandapind, sest järelikult on suuremad ka seinapindala, akende hulk ning katus.)
  3. Küttesüsteemi efektiivsuse tõstmine. Võite ju arvata, et kõlab hästi, kuid tegelikult oleme palju rohkemaks võimelised.
Jahutav tehnoloogia: termostaat

Rääkides kõrge tasuvusega tehnoloogiast ei leidu paremat kui on termostaat (koos villase kampsuniga). Temperatuuri alla keerates kasutab teie hoone koheselt vähem energiat. See on justkui maagia! Iga termostaadil maha keeratud kraad vastab Suurbritanias ligikaudu -protsendilisele soojuskao vähenemisele. Termostaadi maha keeramisel -lt kraadilt -kraadini väheneb soojuskadu ligi poole võrra. Juhuslike soojusallikate tõttu on küttekulude pealt säästmine isegi suurem kui see soojuskao vähendamine.

Joonis 21.2: Kaheteistkümne identse küttesüsteemiga identse maja soojuskulu. Kõigi majade põrandapindala oli 86m2 ning nende leke 2,7kWh/p/C. Allikas: Carbon Trust (2007).

Kahjuks on sellel suurepärasel energiasäästu meetodil ka kõrvalmõjud. Mõned inimesed nimetavad termostaadi maha kruttimist elustiilimuutuseks ning pole sellega üldse rahul. Esitan hiljem selle elustiiliprobleemi kõrvaldamiseks mõningaid lahendusi. Seniks aga tõestame, et „targa küttesüsteemiga hoone kõige olulisemaks targaks komponendiks on selle elanik.“ Joonisel 21.2 toodud andmed pärinevad Carbon Trust uurimusest, milles vaadeldi kaheteistkümne identse modernse maja soojustarvet. Tänu sellele uurimusele näeme, et majas nr 1 elav perekond kulutas kaks korda rohkem soojusenergiat kui perekond Villased majas number 12. Peame siiski nende numbrite osas tähelepanelikud olema: majas number 1 elav perekond kulutab 43kWh päevas. Kui see tundub hullumeelne, siis meenutagem, et hetk tagasi hindasime minu maja energiakuluks veelgi rohkem! Tõepoolest – minu keskmine gaasitarve aastatel 1993 kuni 2003 oli veidi rohkem kui 43kWh päevas (Joonis 7.10). Ning enda arvates olin ma väga kokkuhoidlik! Probleem on majas endas. Kõigi Carbon Trust uuringu modernsete majade leke oli 2,7kWh/p/C, kuid minu maja leke oli  7,7kWh/p/C. Lekkivate majade inimesed...

Sõda lekkimise vastu

Mida küll teha vanade lekkivate hoonetega ilma, et peaksime kutsuma buldooseri? Joonisel 21.3 on näidatud vanade era-, paaris- ja rõduga hoonete küttekulud erinevate lekkekindlust parandavate muutuste järel. Lagede ja seinte soojustamise abil väheneb keskmise vana maja soojuskadu ligikaudu protsendi võrra. Tänu juhuslikele soojusallikatele tähendab see -protsendiline soojuskao vähenemine ligikaudu -protsendilist energiakulu vähenemist.

Joonis 21.3: Hinnang erinevate Suurbritannia majade küttekuludele. Allikas: Eden ja Bending (1985). Vaatame, kas need andmed on vettpidavad.
Ühe juhtumi uuring

Tutvustasin juba varem teile oma maja. Jätkame sealt samast. 2004. aastal paigaldasin ma meie vana gaasikatla asemele kondensatsioonikatla. (Kondensatsioonikatel kasutab väljundgaaside abil sisse tuleva õhu soendamiseks soojusülekannet.) Samal ajal eemaldasin ma ka meie maja kuumaveeboileri (see tähendab, et vett soojendatakse vaid vastavalt tarbimisele) ning asetasin kõigi magamistubade radiaatoritele termostaadid. Uue kondensatsioonikatlaga oli kaasas ka uus soojuskontroller, mille abil ma saan päeva eri aegadele seada erineva temperatuuri. Tänu nendele muutustele vähenes minu energiatarve -lt kilovatt-tunniselt päeva keskmiselt 32kWh-ni päevas.

Joonis 21.4: Minu kodu gaasitarve aastatel 1993 kuni 2007. Jooned näitavad ühe aasta kogutarvet kilovatt-tundides. Iga aasta kohta toodud number esitab selle aasta keskmist tarbimist kilovatt-tundides päeva kohta. Mõõdiku näidud on toodud siniste täppidega. Selgub, et mida tihedamini ma oma näidikut kontrollin, seda vähem gaasi ma tarbin!

Joonis 21.5: Seinaõõnsuste soojustamine.

See langus -lt kilovatt-tunnilt päevas -le on üpriski rahuldav, kuid see pole piisav, kui meie eesmärgiks on kahandada ühe isiku süsinik-jalajälg alla ühe tonni aastas. gaasi vastab rohkem kui kahele tonnile süsinikdioksiidile aastas.

2007. aastal hakkasin ma oma energiamõõdikutele rohkem tähelepanu pöörama. Lasin ära soojustada oma maja seinaõõnsused (joonis 21.5) ning parandasin lagede soojustust. Asendasin oma vana tagaukse kahekordse klaasiga uksega ning lisasin majaesisele rõdule kahekordse klaasiga lisaukse (joonis 21.6). Kõige olulisem aga oli see, et hakkasin rohkem tähelepanu pöörama oma termostaadi seadistusele. Selle tähelepanu tulemuseks oli gaasitarbe vähenemine veel poole võrra. Viimase aasta tarve oli vaid 13kWh/p!

Joonis 21.6: Uus esiuks.

Kuna see juhtum sisaldab endas igasuguseid hoone parandusi ning käitumismuutuseid, on raske välja selgitada, millised muutused olid olulisimad. Minu arvutuste kohaselt (peatükis Kütmine II) vähendas lisasoojustus maja leket võrra, 7,7kWh/p/C  lekkelt 5,5kWh/p/C lekkeni. See on siiski palju suurem leke kui ühelgi moodsal majal. Vana maja lekke vähendamine on kohutavalt keeruline!

Minu peamiseks nipiks on seega termostaadi kruttimine. Milline on mõistlik termostaadi seadistus? Tänapäeval tundub, et enamike inimeste jaoks on  17C kannatamatult külm. Kuid keskmine talvehooaja temperatuur Briti kodudes on 13C! See, kui külm või soe mingi temperatuur kellegi jaoks tundub, oleneb nende hetke ning viimase tunni aja tegevustest. Minu soovituseks on termostaadi näidu peale mitte mõelda. Selle asemel, et termostaat mingile kindlale väärtusele sättida, jätke see lihtsalt suuremaks osaks ajast mingile madalale väärtusele (näiteks või 17C) ning kui tunnete külma, keerake temperatuuri lühiajaliselt juurde. See on sama lugu nagu tuledega raamatukogus. Kui me küsime endalt „Kui hästi peaksid raamaturiiulid valgustatud olema,“ siis vastame kindlasti: „Piisavalt, et saaksime raamatu pealkirja välja lugeda.“ Seetõttu oleksid alati kasutuses kõige heledamad tuled. See küsimus eeldab aga, et peame valgustust parandama – kuid me ei pea seda tegema. Me võime võtta kasutusele lülitid, mille lugejad ise sisse lülitavad ning hiljem taas välja lülitavad. Samamoodi ei pea termostaat pidevalt 20C peal olema.

Enne termostaadi seadistuse teema lõpetamist peaksin mainima ka õhukonditsioneeri. Kas ka teid ajab närvi, kui sisenete suvel hoonesse, mille õhukonditsioneeri termostaat on seatud  18C peale? Nende hoonete hullud haldajad sunnivad kõiki viibima kliimas, mida talvisel ajal peaksid kõik liiga külmaks! Jaapanis soovitatakse valitsuse poolt välja antavates jahutusalastes juhtnöörides panna õhukonditsioneeride seadistuseks  28C.

Paremad hooned

Kui teil tekib võimalus ehitada täiesti uus hoone, siis on teil mitmeid võimalusi garanteerida, et selle kütteenergia tarve oleks palju väiksem kui vanadel hoonetel. Joonisel 2.2 nägime, et moodsate hoonete soojustusstandardid on palju paremad kui 1940ndatel ehitatud kodudel. Kuid Suurbritannia ehitusstandardid võiksid olla veel palju paremad, nagu selgitame peatükis Kütmine II. Parimate tulemuste saamiseks on kolm head lahendust: (1) väga paks kiht soojustust põrandates, seintes ning katustes; (2) hoone lekkekindlaks muutmine ning aktiivse ventilatsiooni kasutamine, et tagada värske õhk ning eemaldada seisev ja niiske õhk, kusjuures soojusvaheti püüab eemaldatud õhust passiivselt soojust; (3) hoone ehitamine viisil, mil see kasutab võimalikult palju ära päikesevalgust.

Kütmise energiakulud

Seni on see peatükk keskendunud temperatuuri kontrollimisele ning lekkimisele. Vaatame nüüd järgmise võrrandi kolmandat tegurit:

Kui efektiivselt saab kütteenergiat toota? Kas meie kütteenergia on odav? Hetkel pärineb Suurbritannia hoonete kütteenergia peamiselt fossiilkütuse (maagaasi) põletamisest boilerites, mille efektiivsus on 7890%. Kas me saaksime lõpetada fossiilkütuste kasutamise ning samas muuta hoonete kütmise veelgi efektiivsemaks?

Joonis 21.7: Eggborough. Elektrijaam, mis ei osale targa kütmise plaanis.

Üks tehnoloogia, mida peetakse Suurbritannia kütteprobleemi lahenduseks, on „kombineeritud soojus- ja elektrienergia“ ehk CHP (Combined heat and power) või siis selle sugulane mikro-CHP. Selgitan kombineeritud soojus- ja elektrienergia põhimõtet ka lähemalt, kuid ütlen kohe ära, et see on minu arvates halb idee, sest kütmise jaoks leidub palju parem tehnoloogia nimega soojuspump, mida ma samuti veidi hiljem selgitan.

Kombineeritud soojus- ja elektrienergia

Tavaliste suurte elekrijaamade kohta arvatakse, et need on kohutavalt ebaefektiivsed, kaotades pidevalt korstendest ja jahutustornidest soojust. Veidi haritum arvamus mõistab, et soojusenergia elektrienergiaks muutmisel ei saa me soojuse külma kohta viimisest ei üle ega ümber (joonis 21.8).

Joonis 21.8: Elektrijaama tööpõhimõte. Peab leiduma külm koht, milles aur kondenseerub, pannes turbiini pöörlema. Selleks külmaks kohaks on tavaliselt kas jahutustorn või jõgi.

Kütteseadmed lihtsalt töötavad nii. Külm koht lihtsalt peab olema. Siiski öeldakse, et me võiks seda „jääksoojust“ kasutada hoonete kütmiseks ning seda tornides või vees mitte jahutada. Selle idee nimi ongi „kombineeritud soojus- ja elektrienergia“ ehk koostootmine ning seda on mandri-Euroopas juba mitmekümne aasta jooksul kasutatud. Suurlinnades integreeritakse lihtsalt suured elektrijaamad piirkonna küttesüsteemiga. Selle idee modernse taassünni ehk mikro-CHP pooldajad väidavad, et peaksime ehitama väikeseid elektrijaamu üksikutesse hoonetesse või paari hoone peale – need jaamad varustaksid elektri ja soojusega neid hooneid ning lisaelekter läheks otse võrku.

Joonis 21.9: Kombineeritud soojus- ja elektrienergia. Väikese piirkonna küttevõrk neelab energia, mida muidu oleks kasutatud jahutustornis.

On kindlasti mingil määral tõsi, et Suurbritannia on praegu kaugkütte ning kombineeritud soojus- ja elektrienergia alal üsna tagurlik, kuid seda diskussiooni piirab arvandmete puudus ning kaks spetsiifilist viga. Esiteks kasutatakse kütuse erinevate kasutusviiside võrdlemisel efektiivsuse valet mõõtu – selles eeldatakse, et elektri ning soojusenergia väärtus on sama. Tõde on aga see, et elekter on väärtuslikum kui soojusenergia. Teiseks eeldatakse tihti, et traditsioonilise elektrijaama „jääksoojust“ saab kasuliku eesmärgi nimel kinni püüda ilma elektrijaama elektritootmist mõjutamata. See pole kahjuks aga tõsi, nagu numbrite abil ka näeme. Kasuliku soojuse kliendini transportimisel väheneb toodetava elektri hulk mingil määral. Kombineeritud soojus- ja elektrienergia koguvõit on tihti palju väiksem kui meediakajastuse põhjal võiks tunduda.

Kombineeritud soojus- ja elektrienergia alasele ratsionaalsele arutluskäigule on viimaseks piiranguks alles hiljuti esile kerkinud müüt, mille kohaselt muudab tehnoloogia detsentraliseerimine selle mingil moel rohelisemaks. See tähendab et arvatakse, et suured kesksed fossiilkütust kasutavad elektrijaamad on pahad, kuid et suur hulk pisemaid kohalikke mikro-elektrijaamasid on väga hea. Kui selline detsentraliseerimine on tõepoolest hea idee, siis peaks see „väike on parem“ tõsiasi kajastuma ka arvandmetes. Detsentraliseerimine peaks ennast õigustada suutma. Arvudest selgub aga, et tsentraalsel elektritootmisel on nii majanduslikus kui ka energia mõttes mitmeid eeliseid. Kohalik elektritootmine on kasulik vaid suurte hoonete korral ning see eelis on vaid .

Suurbritannia valitsus on võtnud eesmärgiks kasvatada kombineeritud soojus- ja elektrienergia tootmise 2010. aastaks -gigavatini, kuid minu meelest on gaasipõhise soojus- ja elektrienergia tootmise suurendamine viga. Selline kombineeritud soojus- ja elektrienergia pole roheline: see kasutab fossiilkütust ning kinnitab fossiilkütuste kasutamist veelgi. Teades, et soojuspumbad on parem tehnoloogia, peaksime me minu arust gaasipõhise kombineeritud soojus- ja elektrienergia lihtsalt vahele jätma ning kohe soojuspumbadele üle minema.

Soojuspumbad

Nagu ka kaugküte ning kombineeritud soojus- ja elektrienergia, on soojuspumbad mandri-Euroopas juba ammu laialdaselt kasutuses. Mingil põhjusel aga mitte Suurbritannias. Soojuspumbad on põhimõtteliselt tagurpidi töötavad külmkapid. Katsuge oma külmiku tagaseina: see on soe. Külmkapp liigutab soojust ühest kohast (selle sisemusest) teise (selle tagapaneelile). Seega on üheks hoone kütmise viisiks keerata külmkapp pahupidi – panna külmiku sisemus aeda, jahutades aia õhku, ning jätta külmiku tagapaneel oma kööki, soendades maja sisemust. Iga elektrivõrgust tõmmatud kilovati energia kohta pumpab pahupidine külmkapp teie aiast sisse kolm kilovatti soojust: kokku lisandub teie majja neli kilovatti soojust. Seega on soojuspumbad elektriradiaatoritest ligikaudu neli korda efektiivsemad. Kui elektriradiaatori efektiivsus on 100%, on soojuspumba efektiivsus 400%! Soojuspumba efektiivsust nimetatakse tihti selle kasutusteguriks ehk COP-ks. Kui seadme efektiivsus on 400%, on selle kasutustegur .

Joonis 21.10: Soojuspumbad
Joonis 21.11: Õhksoojuspumba, mille kasutustegur on , toapoolne ja õuepoolne osa. Toapoolse osa kõrval on suuruse võrdluseks toodud ka üks pastapliiats. Üks selline Fujitsu seade toodab 0,845kW elektri abil 3,6kW soojust. See töötab ka tagurpidi, jahutades 0,655kW elektri abil teie maja 2,6kW võrra.

Soojuspumpasid saab ehitada mitmel viisil (joonis 21.10). Soojuspump jahutab teie aias olevat õhku soojusvaheti abil (tavaliselt umbes ühe meetri kõrgune valge karp, joonis 21.11) – sellisel juhul nimetatakse seda seadet õhksoojuspumbaks. Teise variandina jahutab soojuspump suure hulga (mitukümmend meetrit pikkade) maa-aluste torude abil maapinda – sellisel juhul on selle seadme nimeks maasoojuspump. Õhku saab pumbata ka läbi jõgede ja järvede.

Mõned soojuspumbad pumpavad õhku mõlemas suunas. Kui õhksoojuspump töötab tagurpidi, jahutab see elektri abil hoone sees olevat õhku ning soojendab välisõhku. Seda nimetatakse õhu konditsioneerimiseks. Mitmed õhukonditsioneerid ongi tõepoolest sel viisil töötavad soojuspumbad. Maasoojuspumbad võivad samuti õhku konditsioneerida. Seega saab ühte ja sama seadet kasutada talvel õhu soojendamiseks ning suvel jahutamiseks.

Mõnikord öeldakse, et maasoojuspumbad kasutavad geotermilist energiat, kuid see pole asja õige nimi. Nagu nägime peatükis Geotermiline, pakub geotermiline energia suures osas maailmas pindalaühiku kohta ülitillukest energiahulka (ligikaudu ). Soojuspumpadel pole selle tillukese energiahulgaga midagi pistmist ning neid saab kasutada nii jahutamiseks kui ka kütmiseks. Soojuspumbad kasutavad maapinda lihtsalt soojuse kogumiseks või selle hoiustamiseks. Soojuse pideva kogumise ajal maapinnast taastub see soojus tegelikult Päikeselt tuleva energia abil.

Selles peatükis peame rääkima veel kahest asjast. Peame võrdlema soojuspumpasid kombineeritud soojus- ja elektrienergiaga ning arutlema maasoojuspumpade piirangute üle.

Soojuspumpade ning kombineeritud soojus- ja elektrienergia võrdlus

Varem arvasin, et kombineeritud soojus- ja elektrienergia on iseenesestmõistetav. „Loomulikult peaksime elektrijaamade jääksoojust jahutustornide asemel hoonete kütmisel ära kasutama!“ Tegelike CHP-süsteemide arvandmete tähelepanelikul uurimisel jõudsin aga järeldusele, et elektri saamiseks ning hoonete kütmiseks leidub ka paremaid viise.

Järgnevalt koostan ma kolme sammuga ühe graafiku. See graafik näitab, kui palju elektri- või soojusenergiat saame keemilise energia abil toota. Horisontaaltelg näitab elektrilist efektiivsust ning vertikaaltelg soojusefektiivsust.

Tavalahendus ilma CHP-ta

Esimese sammuna näitame puhast elektrit ning puhast soojust tootvaid tavalisi elektrijaamasid ning küttesüsteeme.

Puhast elektrit ning puhast soojust tootvate tavaliste elektrijaamade ning küttesüsteemide efektiivsus

Kondensatsioonikatelde (üleval vasakul asuv täpp, A) efektiivsus on , sest soojusest väljub korstna kaudu. Suurbritannia gaasielektrijaamade (paremal all asuv täpp, B) efektiivsus gaasi keemilise energia elektrienergiaks muundamisel on hetkel 49%. Kui soovite kasutada elektrist ning maagaasist saadud soojuse segu, võime põletada elektrijaamas ja katlas sobival hulgal gaasi. Seega saab selle uue standardlahenduse abil toota joone AB suvalise punkti väärtusega märgitud hulgal elektri ja soojusefektiivsust, kasutades elektri ja soojuse tootmiseks kahte erinevat seadet.

Ajaloolise perspektiivi eesmärgil on joonisele märgitud ka vana standardlahendus (tavaline katel, mille efektiivsus on 79%) ning paarikümne aasta tagune elektritootmismeetod (kivisöe-elektrijaam, mille efektiivsus on ligikaudu 37%).

Kombineeritud soojus- ja elektrienergia

Järgmisena lisame joonisele kombineeritud soojus- ja elektrienergia süsteemid. Need süsteemid toodavad keemilise energia abil nii elektrit kui ka soojust.

Puhast elektrit ning puhast soojust tootvate tavaliste elektrijaamade ning küttesüsteemide efektiivsus koos kombineeritud soojus- ja elektrienergia süsteemide efektiivsustega.

Kõik täidetud täpid tähistavad Suurbritannias asuvate tegelike kombineeritud süsteemide toodangut vastavalt nende tüübile. Seest tühjad täpid kirjega „CT“ näitavad Carbon Trusti esitatud ideaalsete kombineeritud süsteemide toodangut. „Nimbus“ kirjega seest tühjad täpid pärinevad tootjapoolsetest tooteandmetest. Kirjega „ct“ märgitud täpid tähistavad Carbon Trust'i poolt esitatud andmeid kahest tegelikust süsteemist (Freeman'i Haigla ja Elizabeth House).

Sellelt jooniselt peaks peamise asjana silma hakkama tõsiasi, et kombineeritud süsteemide elektrilised efektiivsused on tunduvalt väiksemad kui vaid elektrit tootvate jaamade 49-protsendiline efektiivsus. Seega pole soojus „lihtsalt tasuta jääktoodang.“ Soojustootmise suurendamine muudab toodetud elektri hulka.

On üpriski tavapärane, et need kaks arvu (elektri- ja soojustoodangu efektiivsus) liidetakse koguefektiivsuse saamiseks kokku – näiteks annaks väljalaske-kondensatsiooniturbiini -protsendiline elektritoodangu efektiivsus ning 66-protsendiline soojustoodangu efektiivsus kokku 76%. See on minu meelest aga väga eksitav järeldus. Selle sama mõõtühiku kohaselt on ju kondensatsioonikatla -protsendiline efektiivsus suurem kui kõigil kombineeritud süsteemidel! Me ei saa ei üle ega ümber faktist, et elektrienergia on väärtuslikum kui soojus.

Mitmed sellel joonisel esitatud kombineeritud soojus- ja elektrienergia täpid on paremad kui „varasemad viisid“ (elektrienergia saamine kivisöest ning soojuse saamine tavalistest kateldest). Ning ideaalsed kombineeritud süsteemid on veidi paremad kui „uued viisid“ (elektri saamine gaasist ja soojuse saamine kondensatsioonikateldest). Kuid peame meeles pidama, et see väike erinevus ei ole ilma kõrvalmõjudeta – kombineeritud süsteem annab soojust vaid hoonetele, millega see seotud on, samas kui kondensatsioonikatlad võivad asuda küttevõrgustiku igas punktis. Tavalahendusega võrreldes pole kombineeritud süsteemid oma elektri- ja soojustoodangu suhtes eriti paindlikud. Kombineeritud süsteem töötab kõige paremini olukorras, kus see toodab vaid kindlal hulgal soojus- ja elektrienergiat. See väike paindlikkus vähendab jaama efektiivsust näiteks olukorras, kus toodetakse lisasoojust. Tavalise maja elektritarve toimub tavaliselt võrdlemisi lühikeste etappidena, mistõttu seda ei saa soojustarbega eriti hästi võrrelda. Viimasena tuleb mainida probleemi, milles mõningad mikro-CHP süsteemid lisaelektri olemasolu korral seda väga hästi peavõrku ei jaga.

Nüüd lisame joonisele ka soojuspumbad, mis kasutavad elektrivõrgust saadud energiat välise sooja õhu hoonetesse pumpamiseks.

Puhast elektrit ning puhast soojust tootvate tavaliste elektrijaamade ning küttesüsteemide efektiivsus koos kooskombineeritud soojus- ja elektrienergia süsteemide ning soojuspumpade efektiivsustega.

Need peaaegu vertikaalsed rohelised jooned kujutavad elektri ja soojuse kombinatsioone, mis on saavutatavad soojuspumpadega, mille kasutustegur on vastavalt kas või . Siinkohal eeldatakse ka, et soojuspumpade poolt kasutatav lisa-elektrienergia on toodetud kas tavalises või väga moodsas gaasi jõul töötavas elektrijaamas ning et soojuspumbaga hoone ning riikliku elektrivõrgu ehk elektrijaama vahelise transpordi jooksul on energiakadu vaid .

Selle moodsa gaasielektrijaama efektiivsus on optimaalsete tingimuste korral 53%. (Kujutan ette, et Carbon Trust ning Nimbus kasutasid nende poolt pakutud numbrite arvutamiseks sama eeldust). Tulevikus on soojuspumbad kindlasti veel paremad, kui mina siin eeldanud olen. Jaapanis näiteks, kus seadusandlus soodustab suuri efektiivsust tõstvaid muutusi, on saadaval soojuspumbad kasutusteguriga .

Pangem tähele, et soojuspumbade abil saame kasutada süsteemi, millel võib olla „rohkem kui -protsendiline efektiivsus.“ Näiteks võivad soojuspumbale elektrit tootvad „parimad gaasi-elektrijaamad“ toota -protsendilise efektiivsusega elektrit ning -protsendilise efektiivsusega soojust, andes „koguefektiivsuseks“ 110%. Ükski kombineeritud süsteem ei suuda sellise tootlikkusega võistelda.

Lubage ma selgitan seda lähemalt. Soojuspumpade efektiivsus on suurem kui kondensatsioonikatlal – seda ka siis, kui soojuspumba elekter tuleb maagaasi põletavast elektrijaamast. Kui me tahame maagaasi abil kütta paljusid hooneid, võime neisse paigaldada kas -protsendilise efektiivsusega kondensatsioonikatlad või siis kasutada seda sama maagaasi uues elektrijaamas elektri tootmiseks ning paigaldades kõikidesse hoonetesse hoopiski soojuspumbad. Selle lahenduse efektiivsus jääb kuhugi 140 ja 185 protsendi vahemikku. Me ei pea soojuspumpade kasutamiseks oma aeda suurt auku kaevama või siis põrandakütet kasutama. Parimad õhksoojuspumbad (mille tarbeks on vaja vaid pisikest õuepoolset karpi, just nagu õhukonditsioneeril), kasutusteguriga üle , saavad sooja vett otse radiaatoritesse edastada. Joonisel 21.22 toodud õhksoojuspump edastab sooja õhku otse kontorisse.

Seega ütleksin kokkuvõtvalt, et kuigi kombineeritud soojus- ja elektrienergia kõlab hea ideena, pole see hoonete kütmiseks ning maagaasist elektri tootmiseks tõenäoliselt just parim idee, eeldades, et neisse hoonetesse saaks paigaldada ka õhk- või maasoojuspumba. Õhksoojuspumpadel on veelgi enam eeliseid, mida samuti mainida tuleks: soojuspumpa saab kasutada igas hoones, millel on elektriühendus; soojuspumpa saab kasutada ükskõik millise elektriallika abil – ka siis, kui maagaas on otsa saanud või bensiinihind tõuseb taevani; lisaks on soojuspumbad paindlikud: neid saab vastavalt hoone elanike vajadustele kas sisse või välja lülitada.

Pean veel rõhutama, et see kriitiline võrdlus ei tähenda, et kombineeritud soojus- ja elektrienergia on alati halb idee. Ma võrdlesin siinkohal vaid tavaliste hoonete kütmist, sest need vajavad vaid väga tavalist soojust. Kombineeritud süsteeme saab kasutada aga ka kõrgetasemelise soojusenergia tootmiseks tööstushoonetele (näiteks 200C). Selliste tööstuslike lahenduste puhul ei ole soojuspumbad eriti head, sest nende kasutustegur oleks palju madalam.

(Soojuspumpade) kasvupiirangud

Kuna maapinna temperatuur mõne meetri sügavusel püsib pidevalt umbes 11C juures, olgu tegu kas suve või talvega, on maapind teoreetiliselt soojuspumba soojuse saamiseks parem paik kui õhk, sest talvel võib õhk olla või kraadi külmem kui maapind. Seega soovitavad soojuspumbaalased nõustajad võimaluse korral õhksoojuspumba asemel maasoojuspumpa eelistada. (Kui sise- ja välistemperatuuride vahe on suur, töötavad soojuspumbad väiksema efektiivsusega.)

Kuid maapinnas pole lõpmatul hulgal soojust. Soojus peab kusagilt ju tulema, kuid maapind pole eriti hea soojusjuht. Kui me neelame maapinna soojust liiga kiiresti, muutub ka maapind jääkülmaks ning maasoojuspumba efektiivsus väheneb.

Kui lähedale üksteisele saab maasoojuspumpasid asetada?

Suurbritannias on soojuspumpade peamiseks tööks talvisel ajal hooneid kütta. Selle soojuse peamiseks allikaks on Päike, mis maapinda otsese kiirguse ning õhu soojusjuhtivuse abil täiendavalt soojendab. Maapinnast soojuse eemaldamise kiirus peab vastama kahele piirangule: see ei tohi põhjustada talvisel ajal maapinna temperatuuri liiga suurt langust ning talvel maapinnast võetud soojus tuleb suvel sinna uuesti tagasi panna. Kui on mingigi võimalus, et seda talvel kasutatud soojust suve jooksul maapinda tagasi ei panda, tuleb seda protsessi teha aktiivselt – näiteks kasutada soojuspumba süsteemi suve jooksul tagurpidi (ning seeläbi hoone õhku konditsioneerida).

Arutame siinkohal ka mõningaid numbreid. Kui suurt tükki maapinda on ühe maasoojuspumba jaoks vaja? Eeldame, et meie naabruskond on üpriski suure inimtihedusega – näiteks 6200 inimest ruutkilomeetri kohta (160m2 inimese kohta) – tüüpilise Briti eeslinna inimtihedus. Kas me saaksime kõik maasoojuspumpasid kasutada ilma, et meil läheks vaja aktiivset suvist soojuse maapinda tagasi viimist? Peatükis Kütmine II toodud arvutus annab meile ettevaatlikuks vastuseks ei: kui me tahame, et kõik naabruskonna elanikud tõmbaksid maapinnast soojust kiirusega inimese kohta (mis on minu hinnangul tavaline talvine küttevajadus), lõppeks see sellega, et maapind külmuks talvel ära. Maapinna külmumise vältimiseks peaks soojuse eemaldamise kiirus olema alla inimese kohta. Seega: kui me tahame kõik minna üle maasoojuspumpadele, peame me oma plaanidesse lisama suure hulga suvist maapinna soojendamist, tagades nii talveks piisaval hulgal maasoojust. See suvine maa soojendamine võiks kasutada õhukonditsioneeri sooja õhku või katusele asetatud Päikese abil töötavaid küttepaneele. (Suvist Päikese soojust kasutatakse maapinnas talviseks kütmiseks juba praegu ära Kanadas asuvas Drake Landing Päikese Kogukonnas [www.dlsc.ca].) Alternatiivina võiksime ka siin-seal kasutada õhksoojuspumpasid, et saada kogu vajatav soojus – eeldades, et meil on selle pumpamiseks vajalikul hulgal elektrit. Suurbritannias ei lange temperatuur väga palju alla nulli, mistõttu Põhja-Ameerika ja Skandinaavia mure soojuspumpade talvise kütteefektiivsuse languse kohta Suurbritannias tõenäoliselt ei kehti.

Tabel 3.3 Ruutmeetrid inimese kohta.

Pindala inimese kohta (m2)
Bangalore37
Manhattan
Pariis
Chelsea66
Tokyo72
Moskva97
Taipei
Haag152
San Francisco156
Singapur156
Cambridge, MA164
Sydney
Portsmouth


Minu järeldus: kas me saame vähendada kütmiseks kuluvat energiahulka? Jah. Kas me saame samas ka fossilkütuste kasutamise lõpetada? Jah. Kuid kõige lihtsamat lahendust ehk hoonete soojustamist ja termostaadi kruttimist unustamata peaksime asendama kõik meie fossiilkütuse abil töötavad kütteseadmed elektri jõul töötavate soojuspumpadega, vähendades seega energiakulu praeguste numbritega võrreldes võrra. See elektrifitseerimise plaan nõuab loomulikult rohkem elektrit. Kuid isegi kui see lisaelekter tuleks gaasielektrijaamadest, oleks see siiski palju parem küttesüsteem kui praegused lahendused, milles me lihtsalt gaasi põletame. Soojuspumbad on tulevikukindlad, võimaldades meil hooneid ükskõik millise elektriallika abil kütta.

Korstnapilt

Vastumeelsed inimesed ütlevad, et õhksoojuspumpade kasutustegur on halb – vaid või . Kuid nende informatsioon on ajast ja arust. Kui me oleme hoolikad ning ostame vaid parimaid pumpasid, on ka tulemused palju paremad. Jaapani valitsus võttis vastu ligi kümnendi kestva efektiivsusplaani, mis on õhukonditsioneeride ülesehitust kõvasti parandanud. Tänu sellele plaanile on neil nüüd õhksoojuspumbad kasutusteguriga . Need soojuspumbad oskavad toota nii sooja vett kui ka õhku.

Teine soojuspumpade vastane argument on: „Me ei saa lasta inimestel efektiivseid õhksoojuspumpasid oma kodudesse paigaldada, sest nad kasutaksid neid suvel õhu jahutamiseks.“ Vabandage väga – ma olen samuti lohaka õhukonditsioneeri kasutamise vastu, kuid need soojuspumbad on neli korda efektiivsemad kui ükski teine talvine küttemeetod. Näidake siis palun mõnda paremat lahendust. Puidugraanulid? Muidugi võiksid mõned puidukogujad puitu põletada. Kuid meil pole piisavalt puitu, et me kõik saaksime seda endale lubada. Metsas elavatele inimestele on piisavalt puitu. Kõigi teiste jaoks on soojuspumbad.

Märkused ja edasine lugemine

Joonis 21.14: Londoni linnapea reklaam 2007. aasta „Omatehtud parandused planeedile“ kampaaniast. Tekst ütleb: „Keerake maha. Kui iga Londoni majapidamine krutiks oma termostaati ühe kraadi võrra alla, toodaksime aastas 837000 tonni süsinikdioksiidi vähem ning säästaksime miljonit naela.“ [london.gov.uk/diy] See säästmine tähendaks inimese kohta 0,12 tonni süsinikdioksiidi vähem. See moodustab ühe inimese aastasest jalajäljest ( tonni) umbes ning on hea idee. Hästi tehtud, Ken!

Lagede ja seinte soojustamise abil väheneb keskmise vana maja soojuskadu ligikaudu protsendi võrra. Eden ja Bending (1985)

Keskmine talvehooaja temperatuur Briti kodudes on  13C.Allikas: Tööstus- ja kaubandusosakond (2002a, peatükk 3.11)

Suurbritannia on kaugkütte ning kombineeritud soojus- ja elektrienergia alal üsna tagurlik. Suurbritannia elektrijaamades toodetav jääksoojus vastaks kogu riigi küttetarbele (Wood, 1985). Taanis panustas kaugküttesüsteem 1985. aastal kogu riigi küttekuludesse , transportides soojust kuuma survevee abil või rohkema kilomeetri kaugusele. Ida-Saksamaal köeti keskküttesüsteemi abil 1985. aastal miljonit majapidamist 7kW-ga. Kaks kolmandikku sellest soojusest pärines elektrijaamadest. Rootsis asuva Vasterasi linna küttekuludest moodustas elektrijaamade jääksoojus 1985. aastal 98%.

Soojuspumbad elektriradiaatoritest ligikaudu neli korda efektiivsemad. Vt 222.gshp.org.uk.

Mõningate juba praegu Suurbritannias müüdavate soojuspumpade kasutustegur on üle [yok2nw]. Lisaks toetab valitsus veesoojuspumpade ostmist rahaliselt, kui nende soojuspumpade kasutustegur on üle 4,4 [2dtx8z].

Leidub tööstuslikke maasoojuspumbasid, mille kasutustegur jahutamisel on ning kütmisel [2fd8ar].

... on saadaval soojuspumbad kasutusteguriga . HPTCJ (2007) andmetel on alates 2006. aastast olnud Jaapanis müügil soojuspumbad kasutusteguriga 6,6. Tänu seadusandlusele kasvas soojuspumpade võimekus -lt -le vaid kümne aasta jooksul. HPTCJ (2007) kirjeldab õhksoojuspump-veesoojendit nimega Eco Cute, mille kasutustegur on . Eco Cute tuli turule 2001. aastal. www.ecosystem-japan.com.

Veel lugemist soojuspumpade kohta:

ehpn.fiz-karlsruhe.de/en/,
www.kensaengineering.com, www.heatking.co.uk, www.iceenergy.co.uk.

Efektiivne elektrikasutus
Efektiivne elektrikasutus
Joonis 22.1: IKEAst pärit kohutav vahelduvvoolu lambiadapter – isegi kui lamp on välja lülitatud, kasutab adapter ise peaaegu !

Kas me saaksime elektritarvet vähendada? Jah, lihtne moodus seda teha on lülitada elektriseadmed välja ajal, mil me neid parasjagu ei vaja. Ka energiaefektiivsed lambipirnid vähendavad meie tarbimist.

Peatükis Tehnovidinad me juba rääkisime vidinatest. Mõned vidinad on ebaolulised, kuid mõned tarbivad kohutaval hulgal energiat! Minu kontoris olev laserprinter, mis enamuse ajast lihtsalt istub, neelab – ligikaudu päevas! Minu tuttav ostis IKEAst lampi. Selle kohutav adapter (joonis 22.1) neelab (0,25kWh päevas) vaatamata sellele, kas lamp on sisse või välja lülitatud. Kui lisada siia mõned muusikakeskused, DVD-mängijad, ruuterid ja juhtmeta seadmed, siis võid jõuda järeldusele, et saaksime oma kodu elektritarvet vähendada ligi poole võrra!

Rahvusvahelise Energiaagentuuri andmetel moodustavad ooterežiimil olevad elektroonikaseadmed ligikaudu kodusest elektritarbimisest. Suurbritannias ja Prantsusmaal on keskmine ooterežiimi energiakulu majapidamise kohta ligikaudu 0,75kWh päevas. Probleemiks pole mitte ooterežiim ise vaid viis, kuidas seda rakendatakse. On täiesti võimalik ehitada ooterežiimiga süsteeme, mis tarbiksid vähem kui 0,01W. Kuid tootjad, kes raha kokku hoida soovivad, tekitavad tarbijatele lisakulusid.

Joonis 22.2: Väljalülituse efektiivsus. Ma mõõtsin vereimejate välja lülitamise järgset säästetud energiahulka nädala jooksul ajal, mil ma olin iga päev enamuse ajast tööl, mistõttu nii päeval kui öösel istus enamus seadmeid kasutult, välja arvatud külmik. Väikesed energiatarbe suurenemise perioodid põhjustas mikrolaineahi, röster, pesumasin või tolmuimeja. Teisipäeval lülitasin enamiku oma vereimejatest välja: kaks muusikakeskust, DVD-mängija, modem, WIFI-ruuter ja automaatvastaja. Punase joonega on näidatud „kedagi pole kodus“ perioodi esialgset taset ning rohelise joonega „kedagi pole kodus“ perioodi taset pärast seda muutust. Energiatarve langes 45W võrra ehk päeva kohta.

Vampiiritapmise eksperiment

Joonis 22.3: Minu majapidamise koguelektrikulu kilovatt-tundides aastatel 1993 kuni 2008. Hallide joontega on toodud aastad 1993 kuni 2003. (Et joonis oleks veidi selgem, vältisin ma joontele aastaarvu tähistamist.) Värviliste joontega on toodud aastad alates 2004. Paremal küljel toodud skaala näitab keskmist energiatarvet kilovatt-tundides aastas. Vampiirieksperiment leidis aset 2007. aasta 2. oktoobril. Vampiiride väljaajamise ja energiasäästlike lambipirnide paigaldamise kombinatsioon vähendas minu elektritarvet väärtuselt väärtuseni .

Joonisel 22.2 on toodud minu kodus tehtud eksperimendi tulemused. Esmalt mõõtsin ma kahe päeva jooksul oma elektritarbimist ajal, mil ma olin kas kodust eemal või magasin. Järgneva kolme päeva jooksul jätkasin ma mõõtmisi, kuid lülitasin välja kõik seadmed, mis ma muidu sisse jätsin. Leidsin, et säästsin 45W energiat, mis teeb elektriarvena naela aastas (elektri hind on penni ühiku kohta).

Alatest ajast, mil hakkasin oma näitudele tähelepanu pöörama, on minu elektri kogutarve poole võrra vähenenud (joonis 22.3). Olen seda taset seal ka hoidnud, muutes näitude lugemise iganädalaseks harjumuseks, ning lülitan jätkuvalt kõik vereimejad välja. Kui seda võlutrikki kõigis kodudes ja töökohtades korrata, saavutaksime me loomulikult suuri sääste. Koos mõne oma tuttavaga paneme me hetkel Cambridge´is kokku veebilehte, mis muudaks regulaarse näitude lugemise lõbusaks ja informatiivseks. See veebileht, ReadYourMeter.org soovib aidata inimestel viia läbi minuga sarnast eksperimenti, oma tulemusi tõlgendada ning tarbimise vähendamise abil head tunnet tekitada.

Ma tõepoolest loodan, et see näiturite tark kasutamine ka tulemusi annab. Tuleviku joonise-Suurbritannias aastal 2050 aga eeldan ma, et kõik sellised elektrisäästud muutuvad tühiseks, sest toimunud on mingisugune kasvuime. Kasv on üks meie ühiskonna juhtmõtteid: inimesed saavad rikkamaks ning saavad seetõttu endale rohkem vidinaid lubada. Üha suuremate nõudmistega arvutimängude hulga suurenemine sunnib suurendama arvutite energiatarvet. Viimase kümnendi arvuteid peeti üpriski kõvadeks, kuid nüüd on need justkui kasutud ning tuleb kiiremate ja paremate masinatega asendada.

Märkused ja edasine lugemine

Ooterežiimil elektroonikaseadmed moodustavad ligikaudu 8% kodusest elektritarbimisest. Allikas: Rahvusvaheline Energiaagentuur (2011)

Ooterežiimialaseks lisainformatsiooniks vt www.iea.org/textbase/subjectqueries/standby.asp.

Taastuvad fossiilkütused?

On vältimatu reaalsus, et fossiilkütused on järgmiste kümnendite energiaallikate segus jätkuvalt olulisel kohal.

Suurbritannia valitsuse kõneisik, aprill 2008

Meie praegune progressiivne olek on vaid ajutine.

William Stanley Jevons, 1865

Eelnevas kolmes peatükis arutlesime peamiste energiakulu vähendavate tehnoloogiate ning elustiilimuutuste teemal. Leidsime, et saaksime transpordi energiakulu (ning fossiilkütuste kasutamist) vähendada poole võrra, kui hakkaksime kasutama vaid elektrisõidukeid. Leidsime, et saaksime kahandada kütmiseks kulutatavat energiahulka (ning fossiilkütuste kasutamist), kui soojustaksime oma hooneid paremini ning kasutaksime fossiilkütuste asemel elektrilisi soojuspumpasid. Seega jah – me saame tarbimist vähendada. Kuid siiski paistab isegi selle väiksema energiahulga katmine Suurbritannia enda taastuvate energiaallikate abil suure väljakutsena (joonis 18.7). On aeg rääkida energia tootmise mitte-taastuvatest lahendustest.

Joonis 23.1: Söetransport Kingsnorthi jõujaama (võimsusega 1940MW) 2005. aastal. Fotod: Ian Boyle www.simplonpc.co.uk.
Joonis 23.2: „Jätkusuutlikud fossiilkütused.“

Võtame näiteks teadaolevad fossiilkütuste varud, millest enamuse moodustab kivisüsi: 1600Gt sütt. Jagame need võrdselt kuue miljardi inimese vahel ära ning põletame neid „jätkusuutlikult“. Mida peame me silmas, kui kasutame lõpliku resursi kasutamisel sõna „jätkusuutlik“? Siin on minu kasutatav lihtne definitsioon: põletamiskiirus on „jätkusuutlik,“ kui resurssidest piisaks aastaks. Üks tonn sütt annab keemilist energiat, mistõttu 1600Gt sütt miljardi inimese vahel jagatuna üle aasta tähendaks päevas inimese kohta. Tavaline elektrijaam muudaks selle keemilise energia elektriks umbes 37-protsendilise efektiivsusega, mis tähendab umbes päevas inimese kohta. Kui me aga hoolime kliimast, siis me eeldatavasti seda tavalist elektrijaama kasutada ei soovi. Pigem sooviksime kasutada „puhast sütt“ ehk „süsinikku koguvat ja säilitavat sütt“ - tehnoloogiat, mida hetkel kasutatakse väga vähe, kuid mis imeb korstnast lenduvatest gaasidest enamiku süsinikdioksiidi välja ning paigutab selle maapinda kaevatud auku. Sel viisil elektrijaamade saaste vähendamine tähendab olulist energiakulu – see kahandaks toodetavat elektrihulka ligikaudu protsendi võrra. Seega saaksime söereservide abil „jätkusuutlikult“ toota vaid päevas inimese kohta.

Joonis 23.3: Vanu lehti sööv Caterpillar. Foto: Peter Gunn.

Võime seda „jätkusuutlikku“ söepõletamise kiirust – aastas – võrrelda praeguse söetarbimisega: aastas (ning see on tõusuteel).

Aga kui räägime ainult Suurbritanniast? Arvatakse, et Suurbritannias on alles veel sütt. Olgu, kui me jagame miljoni inimese vahel saame tonni inimese kohta. Kui me tahame aastat kestvat lahendust, vastab see päevas inimese kohta. Süsinikku koguva ja säilitava elektrijaama kasutamisel saaksime selle jätkusuutliku Suurbritannia söelahenduse abil toota päevas inimese kohta.

Meie järeldus on üheselt mõistetav: puhas kivisüsi on vaid vahepeatus.

Kui me töötame kasvuhoonegaaside saaste vähendamiseks välja „puhta söe“ tehnoloogia, siis peame olema hoolikad ning end mitte enneaegselt kiitma – peame arvudele ausalt otsa vaatama. Söepõletusprotsess ei vabasta kasvuhoonegaase mitte ainult elektrijaamas vaid ka söekaevanduses. Söe kaevandamisel lendub metaani, süsinikmonoksiidi ning süsinikdioksiidi – kõik otse söe vahekihtidest nende paljastamise hetkel ning samuti ka kasutamata kildist ning mudakividest. Tavalise elektrijaama korral põhjustab see söekaevanduse saaste jaama kasvuhoonegaaside jalajälje suurenemist ligikaudu võrra, mistõttu on „puhtal“ söe-elektrijaamal mingi mõju ka meie arvudele. Samasugune arvestusprobleem on ka maagaasiga: kui näiteks maagaasist lekib teekonnal maa sees asuvast august kuni elektrijaamani, siis on see juhuslik metaanisaaste võrdne (kasvuhooneefektilt) elektrijaama süsinikdioksiidi saaste -protsendilise kasvuga.

Uued söetehnoloogiad

Stanfordis asuv firma directcarbon.com töötab välja Direct Carbon kütuseelementi, mis muundab kütuse ning õhu otse elektriks ning süsinikdioksiidiks ilma vee ja auruturbiinideta. Nad väidavad, et see söest elektri tootmise viis on tavalisest elektrijaamast kaks korda efektiivsem. 

Märkused ja edasine lugemine

Minu lihtne definitsioon: põletamiskiirus on „jätkusuutlik“, kui resurssidest piisaks aastaks. Selle valiku pretsedendina kasutas Hansen et al. (2007) võrdlust „rohkem kui aastat“ on sama mis „igavesti.“

Üks tonn sütt =29,3GJ=8000kWh keemilist energiat. See arv ei sisalda kaevandamise, transpordi ja süsiniku sidumise energiakulusid.

Süsiniku kogumine ja säilitamine (CCS). CCS tehnoloogiaid on mitmeid. Suitsugaasivoost süsinikdioksiidi välja imemine on üks; teised gaasistavad sütt ning eraldavad süsinikdioksiidi enne põlemist. Vt Metz et al. (2005). Esimese CCS-tehnoloogiat kasutava prototüüp-elektrijaama avas 2008. aasta 9. septembril Rootsi firma Vattenfall [5kpjk8].

Suurbritannia kivisüsi. 2005. aasta detsembril arvati olemasolevate kaevanduste reservideks 350 miljonit tonni. 2005. aasta novembris hinnati võimalikud pealmaakaevanduste reservid 620 miljonile tonnile ning maa-aluse söe gaasistamise potentsiaal vähemasti miljardile tonnile. [yebuk8]

Söe kaevandamine vabastab kasvuhoonegaase. Kaevandamisega seotud metaani vabanemise kohta vt www.epa.gov/cmop/, Jackson ja Kershaw (1996), Thakur et al. (1996). Globaalne söekaevanduse metaanisaaste on ligikaudu aastas. See moodustab söe põletamise kasvuhoonegaasidest ligikaudu .

Briti söe vahekihtide keskmine metaanisisaldus on 4,7m3 iga tonni söe kohta (Jackson ja Kershaw, 1996). See metaan on atmosfääri lendumise korral globaalse kliimasoojenemise potentsiaalilt 5% ohtlikum kui söe põletamisel vabanev süsinikdioksiid.

Kui maagaasist lekib on see võrdne süsinikdioksiidi saaste -protsendilisele kasvuga. Juhuslik metaanisaaste on oma kasvuhooneefektilt kuni kaheksa korda ohtlikum kui metaani põletamisel tekkiv süsinikdioksiidi saaste. Kaheksa korda – mitte tavaline „23 korda,“ sest „23 korda“ tähistab sama massiga metaani ja süsinikdioksiidi hulga soojenemisefekti suhet. Üks tonn metaani muutub põletamisel 2,75 tonniks süsinikdioksiidiks. Lekkimise korral on see võrdne 23 tonni süsinikdioksiidiga. Ning 23/2,75 annab 8,4.

Edasist lugemist: Maailma Energeetikanõukogu [yhxf8b]

Edasist lugemist maa-alusest söe gaasistamisest: [e2m9n]

Tuumaenergia?
Sissejuhatus
Joonis 24.1: Tuumaelektrijaamades toodetud elektrienergia inimese kohta erinevates riikides 2007.aastal -des päevas inimese kohta.

Me tegime vea, pannes tuumaenergia tuumarelvadega ühte patta kokku, justkui kõik tuumaenergiaga seotu oleks kurjast. See on sama suur viga kui vaadelda tuumameditsiini tuumarelvadega samadel alustel. 

Patrick Moore, Greenpeace International endine direktor

Tuumaenergia tuleb meile kahel viisil. Tuumade lõhustamist me oskame kasutada elektrijaamades; see kasutab kütuseks uraani, üht erakordselt rasket elementi. Termotuumasünteesi me veel ei oska elektrijaamades kasutada; see kasutaks kütusena kergeid elemente, eriti vesinikku. Tuumade lõhustumine jagab raskete aatomite tuumad keskmise surusega tuumadeks ja sealjuures vabaneb energia. Termotuumareaktorid sulatavad kerged tuumad keskmise suurusega tuumadeks ja sealjuures vabaneb energia. 

Mõlematel tuumaenergia vormidel: tuumade lõhustumisel ja termotuumareaktsioonil on üks tähtis omadus: tuumaenergia ühe aatomi kohta on ligikaudu miljon korda suurem kui ühe aatomi kohta saadav keemiline energia tüüpilistes kütustes. See tähendab, et tuumareaktorit kasutavas elektrijaamas on kütuse ja jäätmete kogused kuni miljon korda väiksemad kui samasuguse võimsusega fossiilkütuseid kasutavas elektrijaamas. 

Proovime neid ideid isikustada. „Keskmine Briti kodanik" tarbib fossiilkütuseid ligikaudu 16kg päevas ( sütt, 4kg naftat ja 8kg gaasi). See tähendab, et iga päev võetakse meie hüvanguks maa seest august välja, transporditakse, töödeldakse ja põletatakse fossiilkütuseid sama palju kui kaalub pinti piima. Keskmise Briti fossiilkütuste tarbimise harjumus tekitab aastas tonni süsinikdioksiidi, see teeb 30kg päevas. Eelmises peatükis tegime me ettepaneku püüda jääk-süsinkdioksiid kinni, suruda see kokku tahkesse või vedelasse vormi ning transportida kusagile hoidlasse. Kujutage ette, et mõni inimene oleks vastutav kogu tema tekitatud süsinikdioksiidi eest. 30kg süsinikdioksiidi päevas on paras seljakotitäis!

Seevastu sama kogus energia tootmiseks kui seda tekib 16kg fossiilkütuste põletamisel kulub tavalises tuumareaktoris 2g uraani; ja tekkivad jäätmed kaaluvad veerand grammi. (Muide, 2g uraani ei ole üks miljondik 16kg-st, sest tänapäevased reaktorid põletavad vähem kui neisse pandud uraanist.) grammi uraani saamiseks päevas peavad kaevurid kaevandama uraanimaaki päevas.

Nii et tuumareaktorisse minevad ja sealt välja tulevad materjalikogused on võrreldes fossiilkütuste kasutamisega kaasnevate materjali voogudega väikesed. „Väike on ilus,” aga asjaolu, et tuumajäätmeid on vähe, ei tähenda, et see ei ole probleem; see on lihtsalt „imeliselt väike" probleem.

Taastuv tuumaenergia

Joonis 24.1 näitab riigiti, kui palju toodeti 2007. aastal tuumaelektrijaamades elektrit.

Tabel 3.4

Miljonit tonni uraani
Austraalia
Kasahstan0,82
Kanada0,44
USA0,34
Lõuna-Aafrika Vabariik0,34
Namiibia0,28
Brasiilia0,28
Venemaa0,17
Usbekistan0,12
Maailmas kokku (tavalise maavarana)4,7
Fosfaadi deposiidid
Merevesi4500


Tabelis 3.4 on toodud teadaolevad kättesaadavad uraani varud. Tabeli ülemine pool näitab „mõistlikul viisil kättesaadavaid varusid” ning selliseid „eeldatavalt olemasolevaid varusid,” mille hind oleks vähem kui 130 dollarit kilogrammi uraani kohta seisuga 1. jaanuar 2005. Need on läbiuuritud varud. Maailma erinevais paigus on ladustatud kujul olemas ka üle miljoni tonni kasutatud uraani.

Kas tuumaenergia saab olla „jätkusuutlik”? Jätame hetkeks kõrvale tavalised küsimused ohutusest ning jäätmete ladustamisest. Kui nii, siis vajavad vastust eelkõige küsimused: „Kui kaua saab inimkond elada tuumade lõhustamise energiast? Kui suured on uraani ja teiste lõhustatavate kütuste varud? Kas meil on vaid mõne aastakümne jagu uraani või piisab sellest sajanditeks?”

Et arvutada uraanist saadava „jätkusuutliku“ energia hulka, võtsin ma arvesse kogu maapinnast ning mereveest kättesaadava hulga, jagasin selle võrdselt miljardi inimese vahel ning küsisin: "Kui kiiresti tohime me seda kasutada, kui sellest peab jätkuma aastaks?"

Peaaegu kogu kättesaadav uraan asub ookeanites, mitte maapinnas: merevesi sisaldab 3,3mg uraani ühe kuupmeetri vee kohta, mis teeb kokku 4,5 miljardit tonni üle kogu maailma. Nimetasin ookeanis leiduvat uraani „kättesaadavaks,“ kuid see on veidi ebatäpne. Enamus ookeani vetest on üpriski ligipääsmatud ning ookeanide suur konveier liigub meist mööda vaid kord umbes aasta jooksul. Mitte keegi pole veel demonstreerinud tööstuslikus skaalas funktsioneerivat viisi, mil uraani mereveest kätte saada. Seega teeme eeldused kahes erinevas situatsioonis: esmalt vaid maapinnast kaevandatud uraani kasutades ning teiseks ka mereveest saadud uraani kasutades.

Maapinnast kättesaadav uraan, mille hind oleks alla 130 dollari kilogrammi kohta, moodustab koguhulgast umbes ühe tuhandiku. Kui hinnad tõuseksid üle 130 dollari kilogrammi kohta, muutuks ka vähesel hulgal uraani sisaldavate fosfaadikaevanduste kasutamine majanduslikult kasulikuks. Uraani kättesaamine fosfaatidest on täiesti võimalik – seda tehti Ameerikas ja Belgias juba enne 1998. aastat. Kaevandatava uraani hindamiseks liidan ma kokku nii tavalise uraanimaagi kui ka fosfaadid, saades tulemuseks 27 miljonit tonni uraani (tabel).

Vaatleme kahte viisi, mil uraani reaktorites kasutatakse: (a) laialdaselt kasutatav ühekordse tuumkütusetsükliga meetod saab oma energia peamiselt   isotoobist (mis moodustab uraanist vaid ) ning ei vaja ülejäänud  238U; (b) kiired reaktorid, mille ehitamine on kallim, muudavad 238U sünteesitavaks plutoonium 239-ks ning saavad uraanist ligikaudu korda rohkem energiat.

Ühekordse tuumkütusetsükliga reaktorid, maapinnas leiduva uraani kasutamine

Joonis 24.3: Töölised lükkamas uraani kütusevardaid X-10 grafiitreaktorisse.

Ühe gigavatine ühekordse tuumkütusetsükliga tuumajaam kasutab aastas 162 tonni uraani. Seega kestaks kogu teadaolev uraani resurss miljardi inimese jaoks aastat juhul, kui toodaksime iga inimese kohta päevas  0,55kWh tuumaenergiat. Sellise jätkusuutliku hulga tootmiseks on meil vaja vaid 136 tuumaelektrijaama, mis moodustaks poole maailmas praegu toodetavast tuumaenergiast. On täiesti võimalik, et me alahindame siinkohal uraani potentsiaali, sest kuna hetkel uraanipuudust ei ole, pole riigid uurimustöödeks motiveeritud ning viimane uraanimaagi ülevaade viidi läbi 1980ndatel. Seega on võimalik, et uraani leiukohti avastatakse veel. Üks aastal 1980 avaldatud uurimustöö ennustas, et madala kvaliteediga uraanimaake on korda rohkem kui need 27 miljonit tonni, mida me oma arvutustes kasutasime.

Joonis 24.4: Kolme Miili Saare tuumaelektrijaam.

Kas meie praegune kaevandatud uraani kasutamine ühekordsel meetodil on jätkusuutlik? Seda on raske öelda, sest tulevikus toimuva kaevandamise osas on nii suur ebakindlus. Praeguse tarbimiskiiruse juures võiksime me oma ühekordse tuumkütusetsükliga reaktoreid veel sajandeid töös hoida. Kuid kui meil on plaanis toota maailmas korda rohkem tuumaenergiat, et lõpetada fossiilkütuste kasutamine ning võimaldada elatustaseme kasvu, peame olema valmis tunnistama, et ühekordse tuumkütusetsükliga reaktorid ei ole jätkusuutlik tehnoloogia.

Kiired reaktorid, maapinnas leiduva uraani kasutamine

Kiired reaktorid kasutavad uraani korda efektiivsemalt, sest neis põletatakse kogu uraanium – nii  238U kui ka (vastupidiselt ühekordsetele reaktoritele, milles kasutatakse peamiselt  ). Kui me ei viska ära ühekordse tuumkütusetsükliga reaktorites juba kasutatud kütust, saaks ka juba kasutatud uraani kütusena kasutada – vähem raiskamist! Kaevandatava uraani (pluss kasutatud uraani jääkide) kasutamisel korda efektiivsemates kiiretes reaktorites saaksime tulemuseks 33kWh inimese kohta päevas. Suhtumine kiiretesse reaktoritesse ulatub väitest „See on ohtlik läbikukkunud eksperimentaaltehnoloogia, millest ei tohiks isegi rääkida“ väiteni „Me saame ning peame kiireid reaktoreid kohe ehitama hakkama.“ Mul puudub piisav ülevaade, et kiirete reaktorite tehnoloogia riske kommenteerida ning ma ei soovi eetilisi vaatepunkte faktidega segamini ajada. Ainus eetiline arvamus, mis mul on, on see, et me peame leidma plaani, mis ka tegelikult töötaks.

Joonis 24.5: Dounreay Tuumaenergia Arendamise Ettevõte, mille peamiseks eesmärgiks oli kiirete reaktorite tehnoloogia väljatöötamine. Pilt: John Mullen.

Ühekordse tuumkütusetsükliga reaktorid, ookeanites leiduva uraani kasutamine

Ookeanites leiduv uraani, pärast selle eraldamist ning ühekordse tuumkütusetsükliga reaktorites kasutamist, annab energiana tulemuseks

Kui kiiresti saaks uraani ookeanitest eraldada? Ookeanivee liikumine on aeglane: pool sellest veest asub Vaikses Ookeanis, ning selle sügavaim vesi liigub ookeani suure konveieri abil pinnale vaid iga aasta järel. See annab eralduskiiruseks tonni aastas. Ühekordsete reaktorite kasutamisel annaks see energiakoguseks

mis miljardi inimese vahel jagatuna annab inimese kohta päevas. (Hetkel on maailmas 369 gigavati väärtuses tuumareaktoreid – niisiis vastab see tulemus praeguse tuumaenergia tootmishulga neljakordistamisele). Kokkuvõtvalt võin öelda, et uraani eraldamine ookeanitest muudaks tänapäeva ühekordse tuumkütusetsükliga reaktorid „jätkusuutlikeks“ eeldadusel, et uraaani reaktorid suudavad katta ookeanist uraani eraldamise energiakulud.

Ühendkuningriikides toodetav tuumaenergia hulk oli varasemalt inimese kohta päevas, kuid see kahaneb pidevalt.

Kiired reaktorid, ookeanites leiduva uraani kasutamine

Kuna kiired reaktorid on korda efektiivsemad, annaks sama koguse uraani eraldamine ookeanitest 420kWh päevas inimese kohta.  Lõpuks ometi – jätkusuutlik arv, mis on praegusest tarbimisest suurem! Kuid seda vaid siis, kui kasutame koos kahte tehnoloogiat, millest ühte on vähe arendatud ning teine ebapopulaarne: uraani eraldamine ookeanitest ning kiired reaktorid.

Jõgedes leiduva uraani kasutamine

Ookeanites leiduvale uraanile lisanduvad ka jõed, mis kannavad aastas 32000 tonni uraani. Kui saaksime sellest kätte , saaksime piisavalt kütust, et hoida töös gigavati väärtuses ühekordse tuumkütusetsükliga reaktoreid või gigavati väärtuses kiireid reaktoreid. Kiired reaktorid toodaksid päevas inimese kohta.

Kõik need numbrid on esitatud kokkuvõtvalt joonisel 24.6.

Joonis 24.6: Uraani „jätkusuutlik“ energia. Võrdluseks: praegusel hetkel on maailmas toodetav tuumaenergia hulk 1,2kWh inimese kohta päevas.

Aga kulutused?

Nagu selles raamatus juba tavaliseks saanud, ei pööra ma oma peamistes arvutustes majanduslikule poolele eriti palju tähelepanu. Kuna aga ookeaniuraani-põhise energia potentsiaal on meie „jätkusuutlike" tootmisvariantide hulgas üks olulisemaid, tundus paslik uurida, kas see uraani-energia number on ka majanduslikult usutav.

Jaapani teadlased leiutasid mereveest uraani eraldamiseks meetodi, mille maksuvus on - dollarit ühe kilogrammi uraani kohta (võrdluseks: hetkel on maagist saadava uraani maksuvus umbes dollarit kilogrammi kohta). Kuna uraan sisaldab traditsiooniliste energiaallikatega võrreldes ühe tonni kohta palju rohkem energiat, ei mängiks uraani hinna - või -kordne hinnatõus tuumaenergia kulu osas suurt rolli: tuumaenergia hinda mõjutab tuumaelektrijaamade ehitamise maksumus ning kasutamise lõpetamine, mitte kütuse hind. Isegi -dollariline kilohind tõstaks tuumaenergia hinda vaid 0,3 penni võrra kohta. Uraani eraldamise hinda saaks vähendada, kui kombineeriksime seda mõne teise merevee kasutusviisiga, näiteks elektrijaamade jahutamisega.

See pole veel kõik: kas Jaapani meetodit saaks kasutada suure hulga uraani eraldamiseks? Mis on kogu selle merevee töötlemise kulu? Jaapani eksperimendis kogusid kolm 350 kilogrammi kaaluvat uraani püüdvat materjali täis puuri 240 päeva jooksul „rohkem kui kollast uraanimulda,“ see on ligikaudu kilogrammi aastas. Nende puuride ristlõikepindala oli 48 ruutmeetrit. Ühe gigavatise ühekordse tuumkütusetsükliga tuumaelektrijaama töös hoidmiseks on meil vaja aastas 160000 kilogrammi uraani – me vajame ligi korda rohkem uraani kui Jaapani eksperimendis koguti. Kui me tahame Jaapani meetodit, mis eraldas uraani mereveest passiivselt, kasutada suurel skaalal, tuleks ühe gigavatise võimsuse saavutamiseks kasutada puure, mille kogumispindala oleks 4,8 ruutkilomeetrit ning mis sisaldaksid 350000 tonni absorbeerivat materjali. See on rohkem kui ühe reaktori mass!

Pannes need suured numbrid mõistlikumasse raami: kui uraani abil saaks toota näiteks inimese kohta, toodaks iga -gigavatine reaktor energiat ühele miljonile inimesele, kellest igaüks vajab 0,16 kilogrammi uraani aastas. Seega kuluks iga inimese jaoks üks kümnendik sellest Jaapani eksperimendist – 35 kilogrammi ning -ruutmeetrine pindala. Seega on sellise uraani eraldamise tehase ehitamise mõte oma mõõtmetelt sama, kui öelda, et iga inimene peaks omama kümne ruutmeetrise pindalaga päikesepaneele ning et igal inimesel peaks olema ühetonnine auto ning ka parkimisplats selle jaoks. See on tõepoolest suur investeering, kuid mitte täiesti ebareaalne. Ning see põhineb ühekordse tuumkütusetsükliga reaktorite põhjal tehtud arvutustele. Kiirete reaktorite jaoks on tarvis korda vähem uraani, mistõttu peaks uraanikoguja kaal inimese kohta olema vaid kilogrammi.

Toorium

Toorium on uraanisarnane radioaktiivne element. Tooriumi leidub maakoores ligi kolm korda rohkem kui uraani ning varemalt kasutati seda gaasilampide hõõgsukkade valmistamisel. Tooriumi sisaldus mullas on tavaliselt ligikaudu kuus osakest miljoni kohta ning mõned mineraalid sisaldavad 12% tooriumoksiidi. Merevees on tooriumi vähe, sest tooriumoksiid ei lahustu vees. Tavalistes reaktorites põletatakse toorium täies ulatuses (vastupidiselt tavalistele uraanireaktoritele, milles kasutatakse vaid ligikaudu looduslikku uraani). Tooriumit kasutatakse tuumareaktorites näiteks Indias. Kui uraanimaak ühel hetkel otsa hakkab lõppema, muutub toorium tõenäoliselt peamiseks tuumkütuseks.

Tabel 3.5: Teadaolevad tooriumi varud maailmas monasiitides (majanduslikult tulusalt kasutatavad).
RiikVarud(1000 tonni)
Türgi380
Austraalia
India
Norra
USA
Kanada
Lõuna-Aafrika Vabariik35
Brasiilia
Teised riigid95
Maailmas kokku1580


Tooriumreaktorid toodavad ühe tonni tooriumi kohta 3,6 miljardit soojust ehk -gigavatine reaktor kasutab 40%-efektiivsusega generaatorite korral aastas umbes tonni tooriumi. Arvatakse, et kogu maailmas leidub umbes miljoni tonni väärtuses tooriumi tagavarasid – seda on neli korda rohkem kui tabelis toodud teadaolevad tagavarad. Kuna tooriumi kaevandamine pole hetkel eriti tulus, näib tõenäoline, et see number on alahinnatud – nagu ka uraani tagavarade hinnanguline kogus. Eeldades, nagu uraanigi puhul, et miljardit inimest kulutavad need tagavarad aasta jooksul ära, on toodetav „jätkusuutlik“ energiakogus inimese kohta.

Joonis 24.8: Tooriumi kasutusvõimalused.

Noobeli preemia laureaadi Carlo Rubbia ning tema kolleegide välja mõeldud alternatiivse tooriumi tuumareaktori, energiavõimendi ehk kiirendipõhise süsteemi abil saaks miljonist tonnist tooriumist toota teravatt-aastat energiat ehk 60kWh inimese kohta päevas läbi aasta. 40% elektriks muundamise efektiivsuse korral oleks see aastaks 24kWh inimese kohta päevas. Lisaks oleksid energia võimendis tekkivad jäätmed ka palju vähem radioaktiivsed. Teadlaste sõnul oleks tulevikus majanduslikult mõistlik kaevandada palju rohkem tooriumi kui praegune miljoni tonni suurune hinnang. Kui nende hinnang – korda rohkem – on õige, saaks energiavõimendi ning tooriumi abil toota 60000 aastat järjest 120kWh inimese kohta päevas.

Maa kasutamine
Joonis 24.9: Sizewell'i elektrijaamad. Esiplaanil toodud Sizewell A tootis 420 megavatti ning suleti 2006. aasta lõpus. Sizewell B toodab gigavatti. Photo: William Connolley.
Joonis 24.10: Sizewell'i pindala on alla 1 ruutkilomeetri. Sinisega toodud ruut katab ühe ruutkilomeetri. © Crown autoriõigus; Ordnance Survey.

Kujutame ette, et Suurbritannia otsustab päris tõsiselt fossiilkütustest loobuda ning ehitab palju uusi tuumareaktoreid – olgugi, et see pole ehk päris „jätkusuutlik." Kas need transpordis ja kütmises kasutatava süsinikupõhise kütusehulga tuntavaks vähendamiseks ehitatavad reaktorid mahuksid Suurbritanniasse ära? Meil on vaja teada tuumajaamade võimsust pindala kohta – see on umbes 1000W/m2 (joonis 24.10).

Kujutame ette, et tuumaenergiat toodetakse võimsusega päevas inimese kohta ehk gigavatti (ligikaudu nii palju tuumaenergiat toodetakse Prantsusmaal), mille saaks jagada ära tuumaelektrijaama vahel, millest igaüks kataks  ühe ruutkilomeetri. See on umbes 0,2% Suurbritannia territooriumist. Kui asetada need jaamad paarikaupa üle kogu ranniku (mille pikkus on ligikaudu 3000 kilomeetrit), asuks iga kilomeetri järel kaks tuumaelektrijaama. Seega: kuigi vajatav pindala on üsna tagasihoidlik, kataksid need elektrijaamad ligikaudu meie rannikust ( kilomeetrit sajast).

Tuumarajatiste puhastamise majanduslik mõju

Milline on tuumaelektrijaamade kasutamisjärgse puhastamise kulu? Tuumarajatiste tegevuse lõpetamist haldava riikliku organi järgmise aasta iga-aastane eelarve on miljardit naela. Tuumaenergia tööstus müüs ligikaudu aasta jooksul Suurbritannia kodanikele energiat päevas, mistõttu on nimetatud riikliku organi kulud penni kohta. See on päris suur riiklik toetus, kuigi mitte nii suur kui avamere tuuleenergia riiklik toetus ( penni kohta).

Ohutus

Suurbritannia tuumarajatiste ohutus on jätkuvaks mureaineks. Sellafieldis asuv THORP taastöötluskeskus, mis ehitati 1994. aastal 1,8 miljardi naela eest, lekkis katkisest torust 2004. aasta augustist kuni 2005. aasta aprillini. Kaheksa kuu jooksul lekkis 85000 liitrit uraanirikast vedelikku kogumiskaevu, mis pidanuks lekke avastama juba alates liitrist. Leke jäi aga avastamata, sest tuumajaama operaatorid ei olnud läbi viinud turvasüsteemide toimimist tagavaid kontrolle. Ning operaatoritel oli komme turvaalarme niikuinii ignoreerida.

Ohutussüsteemil ei puudunud ka tagavaralahendused. Läbikukkunud turvaalarmidele vaatamata oleksid rutiinsed pistelised kontrollid pidanud tuvastama uraani ebatavalise sisalduse kogumiskaevus ühe kuu jooksul lekke algusest. Ent operaatorid tihti ei viinudki neid kontrolle läbi, sest nad olid liiga „hõivatud.” Kui mõõtmised uraani ebatavalise sisalduse ka tegelikult tuvastasid (28. august 2004, 26. november 2004 ning 24. veebruar 2005), sellest kedagi ei informeeritud.

2005. aasta aprilliks oli lekkinud tonni uraani, kuid siiski polnud ükski lekkeavastamissüsteemidest leket tuvastanud. Lekke avastasid viimaks arvepidajad, kes märkasid, et nad said tulemuseks vähem uraani kui nende kliendid enda sõnul sisse panid. Hea oli, et see erafirma oma tuludest tõesti hoolis! Tuumaelektrijaama ülema poolne kriitika oli lahja: „Jaama juhtimiskultuur toimis viisil, milles instrumentide turvaalarmidel lasti vastava vea kontrollimise ja parandamise asemel lihtsalt edasi töötada.“

Kui me laseme erafirmadel uusi reaktoreid ehitada, siis kuidas saame garanteerida, et neis vastatakse ka kõrgeimatele ohutusnõuetele? Ma ei tea.

Samas ei tohi me lasta tuumaenergiaga seotud ohtudel paanikat tekitada. Tuumaenergia iseenesest pole ülimalt ohtlik. See on lihtsalt ohtlik, justnagu söekaevandused, kütusehoidlad, fossiilkütuste põletamine ja tuulegeneraatorid. Isegi kui me ei saa garanteerida tuumaõnnetuste vaba tulevikku, tuleks tuumaenergiat hinnata teiste energiaallaikatega võrdlemise teel. Näiteks on söepõhiste elektrijaamade ümber elavad inimesed pidevalt kiiritusohus, sest söetuhk sisaldab tavaliselt uraani. Tõepoolest – teadusajakirjas Science avaldatud artikli andmetel on Ameerika Ühendriikides kivisöe-elektrijaamade läheduses elavad inimesed tugevamas kiirgustsoonis kui tuumajaamade läheduses elavad inimesed.

Erinevate energiaallikate riskide hindamiseks on meil vaja uut ühikut. Ma valisin selleks „surmasid gigavatt-aasta kohta.“ Lubage ma seletan, mida see tähendaks, kui ühe energiaallika surmade arv gigavatt-aasta kohta oleks . Üks gigavatt on energiahulk, mida toodab -gigavatine elektrijaam ühe aasta jooksul pidevalt töötades. Suurbritannia energiatarve on ligikaudu gigavatti ehk gigavatt-aastat aastas. Seega: kui meie elekter tuleks allikatest, mis põhjustavad iga gigavatt-aasta kohta ühe surma, tähendaks see, et Suurbritannia elektritoodang põhjustaks aastas surma. Võrdluseks: Suurbritannia teedel sureb igal aastal 3000 inimest. Seega, kui sa ei poolda just teede keelustamist, peaksid tunnistama, et surm gigavatt-aasta kohta on, vaatamata kurbusele miski, millega me leppima peame. Muidugi oleks surma gigavatt-aasta kohta eelistatavam, kuid vaid hetke mõeldes mõistame, et fossiilkütuste tootmise risk on palju suurem kui surma gigavatt-aasta kohta: tuletagem meelde naftaplatvormide õnnetusi, merel kaotsi läinud helikoptereid, gaasitorude tulekahjusi, rafineerimistehaste plahvatusi ning õnnetusi söekaevandustes. Ainuüksi Suurbritannias sureb fossilkütustega seoses kümneid inimesi aastas.

Arutlegem seega erinevate elektriallikatega seotud tegelikke surmasid. See surmade arv erineb riigiti tunduvalt. Näiteks on Hiinas surmade arv iga tonni toodetud kivisöe kohta korda kõrgem kui enamikes teistes riikides. Joonisel 24.11 on numbritena toodud Paul Scherreri Instituudi ning Euroopa Liidu ühisprojekti  ExternE tulemused, milles võrreldi kõigi energiatootmisviiside mõju. Vastavalt EL-i arvudele põhjustavad enim surmasid kivisüsi, pruunsüsi ja nafta, millele järgnevad turba- ja biomassi energia suremusega üle gigavatt-aasta. Tuumaenergia ja tuuleenergia on parimad, suremusega alla gigavatt-aasta. Hüdroelekter on Euroopa Liidu uurimuse kohaselt parim, kuid on Paul Scherreri Instituudi uurimuse järgi halvim, sest selle raames uuriti erinevaid riike.

Joonis 24.11: Elektritoodangu tehnoloogiate suremused. X: Euroopa Liidu hinnangu tulemused vastavalt ExternE projektile. O: Paul Scherreri Instituut

Oma olemuselt ohutu tuumaenergia

Tuumaõnnetustega seotud muredest ajendatuna töötavad insenerid pidevalt paremate ohutussüsteemidega uute reaktorite leiutamise kallal. Näiteks väidavad nad, et GT-MHR elektrijaam on juba oma olemuselt ohutu ning lisaks muudab see võrreldes tavaliste tuumajaamadega efektiivsemalt soojust elektriks [gt-mhr.ga.com].

Müütarusaamad

Tuumaenergia kaheks peamiseks puuduseks on ehituskulud ja jäätmed. Uurime nende kahe probleemiga seotut veidi.

Tuumajaama ehitamiseks on vaja tohutus koguses betooni ja terast – materjale, mille tootmine hõlmab endas suurt hulka -emissioone.

-gigavatise tuumajaama ehitamiseks kuluva terase ja betooni süsinikjalajälg on ligikaudu tonni süsinikdioksiidi.

Selle „tohutu“ numbri jagamisel tuumareaktori -aastase elueaga saame väljendada süsinikdioksiidi määra standardühikutes (gCO2kWh(e)),

mis on kordades väksem kui vastav fossiilkütuste väärtus 400gCO2/kWh(e). IPCC hinnangul on tuumajaama kogu süsinikumäär (sisaldades ehitamist, kütuse töötlemist ja tuumajaama kasutamise lõpetamist) vähem kui 40gCO2/kWh(e) (Sims et al., 2007).

Ärge saage minust valesti aru: ma ei proovi olla tuumaenergia pooldaja. Ma lihtsalt pooldan aritmeetikat.

Joonis 24.12 Tšernoboli tuumajaam (vasakul) ja mahajäetud Prypiati linn (paremal), kus elasid töölised. Fotod: Nik Stanbridge.
Kas tuumareaktorite jäätmed pole mitte suur probleem?

Nagu selle peatüki alguses märkisime, on tuumareaktorites tekkivate jäätmete maht võrdlemisi väike. Kui kümne kivisöe-elektrijaama tahma mass on neli miljonit tonni aastas (ehk ligikaudu liitrit inimese kohta aastas), toodavad Suurbritannia kümme tuumaelektrijaama jäätmeid vaid 0,84 liitrit inimese kohta aastas - sellest võib mõelda kui pudelist veinist inimese kohta aastas (Joonis 24.13).

Joonis 24.13: Briti tuumajäätmed inimese kohta aastas – nende maht on vaid veidi rohkem kui mahub ühte veinipudelisse.

Enamus neist jäätmetest on madala radioaktiivsuse tasemega, 7% on keskmise tasemega ning kõigest (25ml aastas) on kõrge radioaktiivsusega.

Kõrge radioaktiivsustasemega jäätmed on need vastikud jäätmed – tavaliselt hoitakse selliseid jäätmeid esimesed aastat reaktoris. Neid hoitakse ning jahutatakse suures hulgas vees. aasta möödumisel on jäätmete radioaktiivsus korda väiksem. See tase langeb ka edaspidi – aasta möödumisel on kõrge tasemega jäätmete radioaktiivsus sama mis uraanimaagil. Seega peavad jäätmete ladustamisega tegelevad insenerid töötama välja plaani, mille abil ladustada kõrgetasemelisi jäätmeid tuhandeks aastaks.

Kas see on keeruline probleem? aastat on tõepoolest valitsuste ja riikide eluigadega võrreldes pikk aeg! Kuid need mahud on nii väikesed, et minu arust on tuumajäätmed vaid väike probleem võrreldes kõigi muude jäätmetega, mille me tuleviku põlvkondadele pärandame. milliliitrise mahuga aasta kohta on ühele elueale vastav kogus tuumajäätmeid vähem kui liitrit. Isegi kui me korrutame selle miljoni inimesega, ei tundu ühe eluea mahus tuumajäätmeid võimatu hallata: 105000 kuupmeetrit. See on sama kogus jäätmeid kui palju vett on 35-s olümpiamõõtudega ujumisbasseinis. Kui need jäätmed asetada ühe meetrise kihina, kataksid need ühest ruutkilomeetrist vaid kümnendiku.

Joonise tekst: Madalatasemelised jäätmed, keskmise tasemega jäätmed, kõrgetasemelised jäätmed

Juba praegu on maakeral palju kohti, kuhu inimesed ei tohi minna. Mina näiteks ei tohi minna sinu aeda. Ja sina ei tohi tulla minu aeda. Kumbki meist pole Balmoralis teretulnud. „Sissepääs keelatud" sildid on igal pool. Downing Street, Heathrow lennujaam, sõjaväeehitised, mahajäetud kaevandused – kõik need on keelatud alad. Kas on tõepoolest ettekujuteldamatu tekitada veel üks ühe ruutkilomeetrine ala – võib-olla sügavale maa alla – kuhu järgmise aasta jooksul minna ei tohi?

Võrrelge seda kõrge radioaktiivsusega jäätmete milliliitrit aastas inimese kohta teiste traditsiooniliste jäätmetega, mida me tekitame: olmeprügi – 517kg aastas inimese kohta; ohtlikud jäätmed – 83kg aastas inimese kohta.

Mõnikord võrreldakse uusi võimalikke tuumajäätmeid praeguste (tänu olemasolevatele vanadele tuumareaktoritele) tuumajäätmetega. Toon siinkohal ära Suurbritannia kohta kehtivad numbrid. Olemasolevate tuumarajatiste kasutamise lõpetamise tulemusena on kõrge aktiivsusega jäätmete eeldatav hulk aastani 2120 478000 kuupmeetrit. Sellest mahust (umbes 10000m3) moodustavad kõrge radioaktiivsusega jäätmed (1290m3) ning kasutatud kütus (8150m3), mis kokku sisaldavad 92% aktiivsusest. uue tuumareaktori () ehitamine lisaks sellele kogusummale veel 31900m3 kasutatud kütust. See on sama nagu kümme basseinitäit.

Kui me toodaksime tuumade lõhustamise või termotuumasünteesi abil hästi palju energiat, siis kas see ei aitaks mitte globaalsele soojenemisele kaasa, kuna keskkonda eraldub palju üleliigset energiat?

See on vahva küsimus. Ning kuna me oleme hoolikalt väljendanud kõike selles raamatus vaid üksikute ühikute abil, on sellele üpriski kerge vastata. Kordame esmalt üle globaalse energiatasakaalu võtmenumbrid: atmosfääri, maapinna ja ookeanite poolt neelatava päikeseenergia hulk on 238W/m2; atmosfääris sisalduva kontsentratsiooni kahekordistamisel suurendaksime me neelatavat energiahulka 4W/m2 võrra. See -protsendiline kasv on väidetavalt kliima jaoks halb uudis. Päikese aasta pikkuse tsükli energiavariatsioon on umbes 0,25W/m2. Eeldame nüüd, et aasta pärast on maailma rahvaarv miljardit ning et kõik nad elavad Euroopa elatustaseme järgi, kasutades päevas (mis toodetakse fossiilkütuste, tuumaenergia või geotermilise energia abil). Keskmiselt tähendaks see iga inimese jaoks 51000 ruutmeetri suurust maa-ala. Jagades ühe inimese energiakulu ühe inimese maa-alaga saame, et inimeste energiakasutuse poolt lisatav energia on 0,1W/m2. See moodustab ühe neljakümnendiku meie praegusest, murettekitavast -vatist ruutmeetri kohta ning on veidi väiksem kui 0,25W/m2 energiavariatsiooni mõju. Seega jah – nende eelduste kohaselt oleks inimeste energiatootmise mõju globaalsele kliimamuutusele vaid vaevumärgatav.

Ma kuulsin, et tuumaenergiat ei ole võimalik piisavalt kiiresti ehitada.

Tuumarajatiste kiire ehitamise probleemi on meedias liialdatud, kasutades selleks ekslikku meetodit, mida ma nimetan „maagiliseks võrdluseks.“ Selles meetodis võrreldakse näivalt kahte asja, kuid võrdluse aluseks olevaid omadusi muudetakse poole pealt. The Guardian'i keskkonnaalane toimetaja, kes võttis kokku Oxfordi Uurimisrühma koostatud raporti, kirjutas: „Selleks, et tuumaenergia suudaks järgmise kahe põlvkonna jooksul globaalsesse süsinikdioksiidi heitgaaside vähendamisse tuntava panuse anda, tuleks ehitada umbes 3000 uut reaktorit ehk umbes üks uus reaktor nädalas iga järgmise aasta jooksul. Selliste mõõtmetega erakapitalil põhinevate tuumarajatiste ehitamine ning uraaniga varustamine on vaid unistus ning täiesti võimatu. Seniseks rekordiks on 3,4 uut reaktorit aastas. „3000" kõlab palju suuremana kui 3,4, kas pole? Selles „maagilise võrdluse" meetodi rakenduses ei muutu mitte ainult ajavahemik vaid ka piirkond. Esimene number (3000 uut reaktorit aasta jooksul) kehtib terve planeedi jaoks, samas kui teine number (3,4 reaktorit aastas) on ühes riigis (Prantsusmaal) aasta jooksul ehitatud maksimaalne reaktorite arv!

Joonis 24.14: Graafik alates 1967. aastast kogu maailmas ehitatud ning praegu töötavatest tuumaelektrijaamadest. Ehituskiirus oli kõrgeim 1984. aastal, mil kokku ehitati 30GW väärtuses elektrijaamu.

Palju ausam oleks esitada võrdlus vaid terve planeedi kohta. Prantsusmaal asub 59 kõigist maailma 429-st tuumareaktorist, mistõttu on usutav, et kogu maailmas ühe aasta jooksul ehitatud reaktorite maksimaalne arv on näiteks kümme korda suurem ehk 34 reaktorit aastas. Ning vajatav ehitamiskiirus (3000 uut reaktorit üle aasta) on reaktorit aastas. Seega on väide, et „Selliste mõõtmetega tuumarajatiste ehitamine on vaid unistus ning võimatu“ täielik jama. Jah, see on tõepoolest suur hulk uusi ehitisi, kuid see on täiesti võrreldav juba olemasoleva ehituskiirusega.

Kui mõistlik on minu hinnang, et maailma maksimaalne ehituskiirus oli umbes 34 uut tuumareaktorit maailmas? Vaatame andmeid. Joonisel 24.14 on toodud kõigi maailma tuumarajatiste võimsust ajaskaalal, mis näitab 2007. aasta seisuga töötavaid tuumaelektrijaamu. Ehitamise maksimaalne kiirus oli suurim 1984. aastal ning selle väärtuseks oli (trummipõrin...) umbes 30GW aastas ehk ligikaudu kolmkümmend -gigavatist reaktorit. Selge!

Mida öelda termotuumasünteesi kohta?

Me plaanime panna päikese karpi. Idee on tore. Probleem on selles, et me ei tea, kuidas seda karpi valmistada.

Sebastien Balibar, CNRS'i Teadusdirektor

Joonis 24.15: Eksperimentaalse termotuumasünteesi reaktori sisemus. JET-reaktori pildi peale on asetatud tavalise telekaameraga tehtud foto, millel on kujutatud JET-plasma. Foto: EFDA-JET.

Termotuumasünteesi energia on spekulatiivne ja ekperimentaalne. Oleks alusetu eeldada, et tuumasünteesi probleem kindlasti lahendatakse, kuid ma ennustaksin hea meelega tuumasünteesis toodetavat energiahulka juhul, kui probleem lahendatakse.

Kaks kõige paljulubavamaks peetavat tuumasünteesi reaktsiooni on:

DT reaktsioon, milles deuteerium ja triitium sünteesitakse heeliumiks

DD reaktsioon, milles liidetakse deuteerium ja deuteerium.

Deuteeriumi - looduslikult esinevat vesiniku rasket isotoopi - saab eraldada mereveest. Triitiumit - veelgi raskemat vesiniku isotoopi - looduses suures koguses ei leidu (sest selle poolestusaeg on vaid aastat), kuid seda saab liitiumi abil toota.

ITER on rahvusvaheline projekt, mille eesmärgiks on leida viis pidevalt töötava termotuumasünteesi reaktori ehitamiseks. ITER-i prototüübis hakatakse kasutama DT-reaktsiooni. DT on DD-st parem, sest DT-reaktsioon annab rohkem energiat ning selle reaktsiooniahela alustamiseks on vaja „vaid“ miljoni  kraadist temperatuuri. DD reaktsiooniks on vaja miljonit (Päikese maksimaalne temperatuur on miljonit ).

Laseme fantaasial lennata ning kujutame ette, et ITER-i projekt on edukas. Kui suurt jätkusuutlikku võimsust suudaksime sel juhul tuumasünteesi abil toota? DT-reaktsioonil ehk liitiumil põhinevad elektrijaamad lõpetavad töö, kui liitium saab otsa. Enne seda hetke toimub loodetavasti meie fantaasia teine läbimurre: termotuumasünteesi reaktorid, mis kasutavad kütuseks vaid deuteeriumi.

Nimetagem neid kahte fantaasia-energiaallikat „liitium-sünteesiks“ ja „deuteerium-sünteesiks,“ vastavalt nende tarbeks vajalikule peamisele kütusele. Hindame nüüd, kui palju energiat need allikad suudaksid toota.

Liitium-süntees

Joonis 24.16: Liitiumipõhine termotuumasüntees, mida kasutataks õiglaselt ja jätkusuutlikult, suudaks katta meie praeguse energiatarve. Kaevandatav liitium annaks järgmise aasta jooksul päevas inimese kohta; mereveest eraldatud liitium annaks järgmise miljoni aasta jooksul 105kWh päevas inimese kohta.

Maailma liitiumivarud kaevandatavate maavaradena on hinnanguliselt 9,5 miljonit tonni. Kui kõik see reserv pühendada järgmise aasta jooksul toimuvaks termotuumasünteesiks, saaksime toota päevas inimese kohta.

Liitiumit leidub veel ühes kohas: merevees, kus liitiumi konsentratsioon on 0,17 osakest miljoni kohta. Liitiumi tootmiseks mereveest kiirusega miljonit kilogrammi aastas tuleb hinnanguliselt kulutada 2,5kWh(e) iga grammi liitiumi kohta. Kui sünteesireaktorid toodaksid aga iga grammi liitiumi kohta 2300kWh(e), oleks toodetav energia seega 105kWh inimese kohta päevas ( miljardi inimese korral). Sellise tootmiskiiruse korral kestaksid ookeani liitiumivarud üle miljoni aasta.

Joonise tekst: Deuteerium-süntees: 30000 kWh/päevas inimese kohta, 1000000 aastat,  miljardit inimest

See diagramm on tuumasünteesi võimaliku panuse ühele lehele mahutamise jaoks igast küljest kümme korda väiksemaks tehtud. Võrdluseks on samas skaalas toodud jooniselt 18.1 võetud punased ja rohelised tulbad.

Deuteerium-süntees

Kui me kujutame ette, et teadlastel ja inseneridel õnnestub DD-reaktsiooniahela käivitamise probleem lahendada, on see väga hea uudis. Igas tonnis vees on grammi deuteeriumi ning vaid ühe grammi deuteeriumi ühinemiisel toodetav energiahulk on jahmatav: 1000000kWh. Teades, et ookeanite mass on miljonit tonni inimese kohta, võime järeldada, et meil on piisaval hulgal deuteeriumi ka kümme korda suurema rahvastiku energiatarbe katmiseks võimsusega 30000kWh päevas (see on keskmise Ameeriklase tarbimisest enam kui korda suurem) üheks miljoniks aastaks (joonis 24.17).

Joonis 24.17: Kui deuteeriumipõhine termotuumasüntees on võimalik, saaksime jätkusuutlikku energiat toota miljoniteks aastateks.
Märkused ja edasine lugemine

Joonis 24.1. Allikas: Maailma Tuumaorganisatsioon [5qntkb]. Töötavate tuumareaktorite koguvõimsus on 372GW(e) ning need kasutavad 65000 tonni uraani aastas. Ameerika Ühendriikide tuumareaktorite koguvõimsus on 99GW, Prantsusmaal 63,5GW, Jaapanis 47,6GW, Venemaal 22GW, Saksamaal 20GW, Lõuna-Koreas 17,5GW, Ukrainas 13GW, Kanadas 12,6GW ja Ühendkuningriikides 11GW. 2007. aastal tootsid kõik olemasolevad maailma tuumareaktorid kokku 2608TWh elektrit ehk keskmiselt 300GW või 1,2kWh inimese kohta päevas.

Kiired reaktorid saavad uraanist korda rohkem energiat. Allikas: www.world-nuclear.org/info/inf98.html. Jaapan on hetkel kiirete reaktorite arendamisel esirinnas.

Ühekordse tuumkütusetsükliga ühe gigavatine tuumajaam kasutab aastas 162 tonni uraani. Allikas: www.world-nuclear.org/info/inf03.html. -protsendilise soojusliku efektiivsusega 1GW(e) tuumajaam, mis töötab 83% koormusega, omab järgmist jalajälge: kaevandamine – 16600 tonni uraanimaaki; jahvatamine – 191 tonni uraanioksiidi (mis sisaldab 162 tonni looduslikku uraani); rikastamine ja kütuse tootmine – 22,4 tonni uraanioksiidi (mis sisaldab tonni rikastatud uraani). Rikastamiseks on tarvis 115000 eraldustöö ühikut (separative work unit); vt eraldustöö ühiku energiakulu.

Madala kvaliteediga uraanimaake on korda rohkem kui need 27 miljonit tonni, mida me oma arvutustes kasutasime. Deffeyes ja MacGregor (1980) hindavad 30ppm konsentratsiooniga uraanireservide tagavaraks rohkem kui 3×1010 tonni. (Tavaline Lõuna-Aafrikas 1985. ning 1990. aastal töödeldud uraanimaagi kvaliteet oli osakest miljoni kohta. Fosfaadid sisaldavad tavaliselt osakest miljoni kohta.)

Maailma Tuumaorganisatsiooni kommentaar uraanitagavarade kohta 2008. aasta juunis: „Aeg-ajalt tõstatakse probleem, et olemasolevad tagavarad ei ole võrreldes praeguse kasutuskiirusega piisavad. See aga on kasvupiirangute ekslik käsitlus, sest ei arvesta meie piiratud teadmisi maakoores tegelikult leiduvatest varadest. Meie geoloogiateadmiste kohaselt võime olla kindlad, et seni leitud metall-maavarade resursid moodustavad tegelikest reservidest vaid murdosa.“

„Mõõdetud uraaniresursid – hulk, mida saab majanduslikult kasulikult kaevandustest kätte – sõltuvad varasematest uraanimaagi uuringutest ning esitavad põhimõtteliselt meie praegusi teadmisi ja mitte seda, mis maakoores tegelikult leidub.“

„Praegu hinnatakse maailmas leiduvaks uraani tagavaraks megatonni, millest piisab rohkem kui aastaks. Juba see number tagab resursside olemasolu suurema kindlusega kui enamike teiste mineraalide puhul. Edasised uuringud ja tõusev hind viivad nende resursside lõppedes kindlasti uute tagavarade avastamiseni meie geoloogiliste teadmiste abil.“

„Majandusliku mõtlemisega isikud investeerivad kindlasti nende uute reservide leidmisse kui nad teavad, et see toob neile tulevikus kasu. See nõuab tavaliselt tarneprobleemidest põhjustatud hindade kasvutrendi. Kui majanduslik süsteem töötab õigesti ning maksimeerib kapitaliefektiivsust, ei tohiks maavara reservides kunagi olla rohkem kui paarikümne aasta suurust varu.“

[Maavarade otsingud ei ole tasuta: uraanimaagi otsingute kulu on näiteks kuni dollarit iga kilogrammi uraani kohta (3,4 dollarit MJ kohta), mis moodustab uraanikilogrammi 78-dollarilisest turuhinnast; võrdlusena võib tuua toornafta otsimiskulud, mis on viimase kolmekümne aasta jooksul olnud keskmiselt dollarit barreli kohta (1050 dollarit MJ kohta) ehk 12% turuhinnast.]

„Vastupidiselt metallidele, mis on olnud kõrgelt nõutud juba sajandeid, õppis ühiskond uraani kasutama alles hiljuti. Otsingu-avastamise-tootmise tsükleid on seni olnud vaid üks ning see toimus 1970ndate aastate lõpul toimunud hinnatõusu ajel.“

„On vara rääkida pikaajalisest uraanipuudusest kui kogu tuumaenergiatööstus on nii noor, et seni on vaja läinud vaid ühte resursside täiendamise tsüklit.“ www.world-nuclear.org/info/inf75.html

Edasist lugemist: Herring (2004); Price ja Blaise (2002); Cohen (1983).

OECD andmete põhjal ennustab IPCC, et 2004. aasta kasutusmahtude korral jätkuks tavalistest tagavaradest ning fosfaatidest pärit uraani ühekordse tuumkütusetsükliga reaktorites 670 aastaks, kiiretes reaktorites plutooniumi taastöötlusega aastaks ning kiiretes reaktorites uraani ja kõigi aktinoidide taastöötlusega 160000 aastaks (Sims et al.,2007).

Jaapani teadlased leiutasid meetodi uraani eraldamiseks mereveest. Eeldatud hind 100 dollarit kilogrammi kohta pärineb uurimusest Seko et al. (2003) ning [y3wnzr]; hind 300 dollarit kilogrammi kohta pärineb OECD Tuumaenergia Agentuurilt (2006). Uraani mereveest kogumise meetod hõlmab endas koesarnase struktuuri paariks kuuks vette jätmist; see materjal on valmistatud polümeerkiududest, mis enne vette laskmist kiiritamise teel kleepuvaks tehakse. Need kleepuvad kiud koguvad uraani mahus 2g uraani iga kilogrammi kiudude kohta.

Uraani eraldamise hinda saaks vähendada, kui kombineeriksime seda mõne teise merevee kasutusviisiga, näiteks elektrijaamade jahutamisega. Vesinikku tootva tuumaenergial töötava saare idee esitas esimesena C. Marchetti. Merevesi jahutaks kiireid reaktoreid ning jahutusveest eralduks uraani kiirusega tonni uraani 500000 megatonni merevee kohta.

Tooriumreaktorid toodavad ühe tonni tooriumi kohta 3,6 miljardit soojust. Allikas: www.world-nuclear.org/info/inf62.html. Tooriumreaktorite tööd saab veel kõvasti efektiivsemaks muuta, tänu millele see number võib tulevikus veelgi suurem olla.

Alternatiivne tooriumreaktor, energiavõimendi ehk kiirendipõhine süsteem...Vt Rubbia et al. (1995), web.ift.uib.no/~lillestol/Energy Web/EA.html, [32t5zt], [2qr3yr], [ynk54y].

Teadaolevad tooriumitagavarad maailmas monatsiidi näol. USA Geoloogiaühing, Mineraal-toorainete Kokkuvõte, jaanuar 1999. [yl7tkm] Viidatud UIC Tuumateemade infodokumendis nr 67, .november 2004.

„Kõrgema tooriumisisaldusega mineraal-toorained, näiteks toriit, sobiksid nõudluse kasvu korral tõenäoliseks tooriumiresursiks.“

[yju4a4] jättis välja Türgi kohta käiva numbri, mille leiab siit: [yeyr7z].

Tuumaenergia tööstus müüs ligikaudu 25 aasta jooksul Suurbritannia kodanikele energiat päevas. Aastaks 2006. toodetud koguenergia oli ligikaudu 2200TWh. Allikas: Stephen Salteri poolt läbiviidud Energiaülevaade Šoti Riikliku Partei jaoks.

Tuumarajatiste tegevuse lõpetamist haldava riikliku organi järgmise 25 aasta iga-aastane eelarve on miljardit naela. See eelarve paistab aga muudkui tõusvat. Tuumarajatiste tegevuse lõpetamise kogukulu hiljutiseim number on 73 miljardit.  news.bbc.co.uk/1/hi/uk/7215688.stm

Tuumaelektrijaama ülema poolne kriitika oli lahja... (Weightman, 2007).

Tuumaenergia iseenesest pole ülimalt ohtlik. See on lihtsalt ohtlik. Edasist lugemist riskide teemal: Kammen ja Hassenzahl (1999).

Ameerika Ühendriikides kivisöe-elektrijaamade läheduses elavad inimesed tugevamas kiirgustsoonis kui tuumajaamade läheduses elavad inimesed. Allikas: McBride et al. (1978). Uraani ja tooriumi konsentratsioon kivisöes on vastavalt 1ppm ja 2ppm.

Edasist lugemist: gabe.web.psi.ch/research/ra/rares.html, www.physics.ohio-state.edu/~wilkins/energy/Companion/E20.12.pdf.xp

Tuumaenergia ja tuuleenergia on parimad, suremusega alla gigavatt-aasta. Vt ka Jones (1984). Need suremuse numbrid pärinevad tulevikku hindavatest uurimustöödest. Me võime vaadata ka minevikku.

Suurbritannias on tuumaenergiatööstus siiani tootnud aastas elektrit ning seni on toimunud surmaga lõppenud õnnetus – 1978. aastal said Chapelcrossis surma üks tööline [4f2ekz]. Üks surm kohta on fossiilkütustel põhineva energiatööstusega võrreldes erakordselt väike number.

Kogu maailma kohta on tuumaenergia suremust raske hinnata. Kolme Miili Saare tuumaõnnetus ei tapnud kedagi ning sellega seotud lekked tapsid mõningate hinnangute kohaselt senini ühe inimese. Tšernoboli tuumakatastroof tappis esmase kiirituse tõttu 62 inimest ning hiljem suri kilpnäärmevähki veel kohalikku inimest. Hinnangute kohaselt suri tuumajaama läheduses elanud inimestest veel 4000 ning ülejäänud maailmas veel kokku inimest (kellest miljonit sai mingi kiirituse osaliseks) vähki (Williams ja Baverstock, 2006). Neid surmasid on aga üliraske tuvastada, sest vähk, millest enamus tekib loodusliku kiirguse tõttu, põhjustab niikuinii kõigist surmadest Euroopas.

Tuumaenergia globaalse suremuse üheks hindamisviisiks on jagada see Tšernoboli hinnanguline surmade arv aastatel 1969-1996 toodetud tuumaenergia kogusummaga, milleks oli . See annab suremuseks surma kohta.

Mis puutub tuuleenergiaga seotud surmadesse, raporteeris Caithnessi Tuuleparkide Infofoorum www.caithnesswindfarms.co.uk  aastatel 1970-2007 üle maailma toimunud 49 surma (35 tuuleenergia tööstuse töötajat ning 14 eraisikut). 2007. aastal raporteeris Paul Gipe üle kogu maailma toimunud surmade arvuks 34 [www.wind-works.org/articles/BreathLife.html]. 1990ndate keskpaigas peeti tuuleenergiaga seotud suremuseks surma kohta. Vastavalt Paul Gipe'i andmetele langes tuuleenergiaga seotud suremus 2000. aasta lõpuks surmani kohta.

Seega on nii tuumaenergia kui ka tuuleenergia ajaloolised suremused kõrgemad kui ennustatavad tulevikuväärtused.

-gigavatise tuumajaama ehitamiseks kuluva terase ja betooni süsiniku jalajälg on ligikaudu tonni süsinikdioksiidi. -gigavatine tuumajaam sisaldab 520000m3 betooni ( miljonit tonni) ning 67000 tonni terast [2k8y7o]. Eeldades iga kuupmeetri betooni kohta 240 kilogrammi süsinikdioksiidi, on terase jalajäljeks ligikaudu tonni süsinikdioksiidi iga tonni terase kohta. Seega on 670000 tonni terase jalajälg 170000 tonni süsinikdioksiidi.

Tuumajäätmete arutelu. Allikad: www.world-nuclear.org/info/inf04.html, [49hcnw], [3kduo7].

Uued tuumajäätmed võrreldes vanadega. Radioaktiivsete Jäätmete Haldamise Kommitee (2006).

Maailma liitiumireservid on hinnanguliselt 9,5 miljonit tonni. Peamised tagavarad asuvad Boliivias (56,6%), Tšiilis (31,4%) ja Ameerika Ühendriikides (4,3%). www.dnpm.gov.br

Liitiumit leidub veel ühes kohas: merevees... Uuriti mitmeid erinevaid eraldusmeetodeid (Steinberg ja Dang, 1975. Tsuruta, 2005. Chitakar et al., 2001).

Tuumasünteesi energia liitiumitagavaradest.

Loodusliku liitiumi energiatihedus on ligikaudu 7500kWh grammi kohta (Ongena ja Van Oost, 2006). Hinnangud tuumasünteesireaktorite efektiivsusele selle energia elektriks muutmisel erinevad tuntavalt, ulatudes väärtusest 310kWh(e)/g (Eckhartt, 1995) kuni väärtuseni 3400kWh(e)/g (Steinberg ja Dang, 1975). Mina kasutasin arvu 2300kWh(e)/g, põhinedes järgneval laialdaselt kasutatud numbril: „1GW termotuumasünteesi protsessil põhinev elektrijaam kasutab aastas umbes 100kg deuteeriumi ning tonni looduslikku liitiumit, tootes ligikaudu miljardit .“ [69vt8r], [6oby22], [63l2lp].

Edasist lugemist tuumalõhustamise kohta: Hodgson (1999), Nuttall (2004), Rogner (2000), Williams (2000). Uraani Informatsioonikeskus www.uic.com.au. www.world-nuclear.org, [wnchw].

Kulude kohta: Zaleski (2005).

Jäätmehoidlatest: [shrln].

Kiiretest reaktoritest ja tooriumist: www.energyfromthorium.com.

Edasist lugemist termotuumasünteesi kohta: www.fusion.org.uk, www.askmar.com/Fusion.html.

Kui elaks teiste riikide taastuvenergiast?
Kui elaks teiste riikide taastuvenergiast?

Küsimus, kas Vahemerest saab 21. sajandi koostöö või vastuolu piirkond, on meie üldise ohutuse seisukohalt strateegiliselt oluline.

Joschka Fischer, Saksamaa välisminister, veebruar 2004

Jõudsime seisukohale, et vaid meie enda taastuvenergia abil on fossiilkütustest loobumine keeruline. Ka tuumaenergial on omad probleemid. Mida muud saame aga ette võtta? Noh, ehk saaksime elatuda kellegi teise taastuvenergiast? (See ei tähenda muidugi, et meil oleks teiste inimeste taastuvenergiale mingi õigus, kuid võib-olla oleksid nad huvitatud meile seda müüma?)

Enamik jätkusuutliku eluviisiga seotudenergia allikaid on seotud pinaladega: kui tahate kasutada päikesepaneele, on teil vaja mingit maatükki; kui soovite midagi kasvatada, on teil samuti maatükki vaja. Oma raamatus „Kokkuvarisemine" selgitab Jared Diamond, et kuigi tsivilisatsioonide kokkuvarisemisega on seotud mitmed tegurid, on kõigi nende ühiseks jooneks liiga suur rahvaarv.

Tabel 3.6: Taastuvenergia ehitised peavad oma suuruselt olema hiiglaslikud, sest kõigi nende energiatihedus on madal.

Energiatoodang maapinna või veekogu ühikpindala kohta


Tuuleenergia

Ranniku tuulepark

Loodete laguunid

Loodepargid

6W/m2

Päikesepaneelid

520W/m2

Taimed

Vihmavesi (kõrgendikualad)

Hüdroelektrijaam

Päikesekorsten

0,1W/m2

Päikeseenergia koondamine (kõrbetes)

15W/m2

Taastuvenergia ehitised peavad oma suuruselt olema hiiglaslikud, sest kõigi nende energiatihedus on madal.

Paigad nagu Suurbritannia ning Euroopa on problemaatilised, sest nende asustustihedus on kõrge ning kõik sobivad taastuvenergiaallikad on madala energiatihedusega (vt tabel 3.6). Abi küsimise eesmärgil peaksime otsima riike, mis vastavad kolmele kriteeriumile: a) neil on madal asustustihedus; b) neil on suur pindala; c) nad omavad suure energiatihedusega taastuvenergiaallikaid.

Tabel 3.7: Mõningad riigid, madalast kõrgema asustustiheduseni järjestatuna.

Piirkond

Rahvaarv

Pindala ()

Asustustihedus (inimesi kohta)

Pindala (m2)

inimese kohta

Liibüa

5760000

1750000

305000

Kasahstan

15100000

2710000

178000

Saudi-Araabia

26400000

1960000

74200

Alžeeria

32500000

2380000

14

73200

Sudaan

40100000

2500000

62300

Maailm

6440000000

148000000

23100

Šotimaa

5050000

78700

64

15500

Euroopa Liit

496000000

4330000

115

8720

Wales

2910000

20700

140

7110

Ühendkuningriigid

59500000

244000

243

4110

Inglismaa

49600000

130000

380

2630

Selles tabelis on toodud mõned nendele kriteeriumitele vastavad riigid. Liibüa asustustihedus on näiteks korda väiksem kui Suurbritannial ning selle pindala on korda suurem. Teised, pindalalt rikkad riigid on Kasahstan, Saudi-Araabia, Alžeeria ning Sudaan.

Joonis 25.3: Stirlingi mootor. Need kaunid päikesevalgust koondavad seadmed toodavad 14W/m2 energiat. Foto: Stirling Energy Systems. www.stirlingenergy.com

Kõigis neis riikides on minu arvates kõige paljulubavamaks taastuvenergiaallikaks päikeseenergia, eriti selle koondamine peeglite või läätsede abil. Päikesevalgust koondavaid elektrijaamasid on erinevaid – liikuvad peeglid asetsevad erinevalt ning neis kasutatakse erinevaid energiamuundamise tehnoloogiaid (näiteks Stirlingi mootor, rõhu all olev vesi, sulatatud sool) kuid kõigi nende keskmine energiatoodang ühikulise pindala kohta on ligikaudu 15W/m2.

Mõttekas tehnoloogia

„Kogu maailma energia saaksime toota Sahaara kõrbes – maatükil, mille pindala on 100×100 kilomeetrit.“ Kas see väide vastab tõele? Kõrbes asuvate päikesevalgust koondavate päikesefarmide keskmine energiatoodang on ligikaudu 15W/m2. Seega – kui me sellele maatükile mitte midagi muud ei ehitaks – saaksime toota 150GW energiat. See ei vasta kogu maailma praegusele energiatarbimisele. See pole maailma praegusele elektritarbimisele, mis on 2000GW, isegi mitte lähedal. Maailma kogu energiatarve on praegu 15000GW. Seega oleks õige väita, et kogu maailma energia saaksime koondavate päikesefarmide abil Sahaara kõrbes toota maatükil, mille pindala on 1000×1000 kilomeetrit. See maatükk on neli korda suurem kui Ühendkuningriikide pindala. Ning kui me tahaksime elada võrdsete võimalustega maailmas, peaksime võtma eesmärgiks toota rohkem kui me praegu tarbime. Et iga maailmakodanik saaks tarbida sama palju energiat kui praegu tarbib keskmine eurooplane (), tuleks meil päikesefarmidega katta kaks 1000×1000 kilomeetrist ala kõrbes.

Joonis 25.4: Andasol – Hispaaniasse ehitatav -megavatine päikesefarm. Päeva jooksul toodetav jääk-soojusenergia salvestatakse mitmeks tunniks vedela soola konteineritesse, võimaldades elektrivõrku pidevalt energiat jagada. Elektrijaama eeldatavaks toodanguks on 350GWh aastas (40MW). Paraboolikujulised ehitised katavad -hektarilise maa-ala, andes energiatiheduseks 10W/m2. Ülemine foto: ABB. Alumine foto: IEA SolarPACES.

Õnneks pole Sahaara kõrb meie ainuke, seega oleks ehk targem jagada maailm väiksemateks piirkondadeks ning küsida: kui suurt ala selle piirkonna kõrbetest meil vaja läheks? Seega, keskendudes Euroopale: „Kui suur ala Põhja-Sahaaras tuleks meil päikesepaneelidega katta, et toota kõigile Euroopa ja Põhja-Aafrika elanikele keskmise eurooplase tarbitaval hulgal energiat? Kui arvestame Euroopa ja Põhja-Aafrika rahvaarvuks miljard, langeb vajatava maatüki pindala 340000-le ruutkilomeetrile: ruut mõõtmetega 600×600 kilomeetrit. See pindala on võrdne ühe Saksamaa, 1,4 Ühendkuningriigi või Walesiga.

Joonis 25.5: Meie suurepärane väike ruut. Sellel kaardil on toodud üks -ruutkilomeetrine ruut Aafrikas ning teine Saudi-Araabias, Jordaanias ja Iraagis. Sellisel maatükil asuvad päikesevalgust koondavad elektrijaamad suudaksid toota piisavalt energiat, et anda ühele miljardile inimesele keskmise eurooplase tarbitav hulk energiat . See pindala on võrdne ühe Saksamaa, 1,4 Ühendkuningriigi või Walesiga. Iga suure ruudu sisse on mahutatud 145-ruutkilomeetrine ala – sellise suurusega maatükk Sahaaras kuluks kogu Ühendkuningriikide energiatarbimise katteks.

Ühendkuningriigide osa sellest maatükist oleks võrdne ühe Walesiga: 145-ruutkilomeetrine tükk Sahaarat oleks piisav, et toota praegusel hulgal vajatav energia kogu Ühendkuningriikide katteks. Need ruudud on toodud joonisel 25.5. Pange tähele, et kuigi kollane ruut paistab kogu Aafrikaga võrreldes väike, on selle pindala sama, mis Saksamaal.

DESERTEC plaan

Joonis 25.7: Kõrgepinge-alalisvooluliini rajamine Soome ja Eesti vahele. Nende kahe kaabli abil transporditakse 350MW energiat. Foto: ABB

Organisatsioon nimega DESERTEC [www.desertec.org] promob plaani kasutada päikselistes vahemereriikides päikeseenergiat koondavat tehnoloogiat ning transportida üleliigne energia kõrgepinge-alalisvoolukaablite (HVDC, Joonis 25.7) abil pilvistesse põhjamaadesse. HVDC tehnoloogiat on energiatranspordiks kasutatud alates 1954. aastast – seda nii kõrgepingeliinides kui ka merepõhjas asuvate kaablite abil (näiteks Prantsusmaa ja Inglismaa vahel). Seda kasutatakse elektritranspordiks ka praegu – rohkem kui -kilomeetriste vahemaade puhul Lõuna-Aafrikas, Hiinas, Ameerikas, Kanadas, Brasiilias ja Kongos. Keskmine -kilovatine liin suudab transportida gigavatti energiat. Brasiilias asuv kõrgepingeliinide paar transpordib 6,3 gigavatti.

HVDC on traditsioonilisest kõrgepinge-alalisvooluliinidest parem, sest selle ehitamiseks on vaja vähem riistvara, väiksemat maa-ala ning selle energiakadu on väiksem. 3500-kilomeetrise HVDC energiakadu koos energiamuundamisprotsessiga (vahelduvvoolust alalisvooluks ning tagasi) on ligikaudu . HVDC eeliseks on ka fakt, et need aitavad stabiliseerida nendega ühenduses olevaid elektrivõrgustikke.

DESERTECi plaanide kohaselt on parimateks ehituspaikadeks rannapiirkonnad, sest mere läheduses asuvad koondavad päikesefarmid toodavad lisaks ka desalineeritud vett – seda saaks kasutada nii kohalikud inimesed kui ka põllumajandussektor.

Järgmises tabelis on näidatud DESERTECi hinnangud potentsiaalsele energiatoodangule Euroopa ja Põhja-Aafrika riikides. See „majanduslik potentsiaal“ on suurem kui vaid miljardi inimese jaoks tootmine. „Rannikuala kogupotentsiaalist“ piisaks energia tootmiseks miljardi inimese jaoks.

Tabel 3.8

Riik

Majanduslik potentsiaal (TWh/a)

Rannikuala potentsiaal (TWh/a)

Alžeeria

169000

Liibüa

140000

Saudi-Araabia

125000

Egiptus

74000

Iraak

29000

Maroko

Omaan

19000

Süüria

Tuneesia

9200

350

Jordaan

6400

Jeemen

5100

390

Iisrael

3100

UAE

540

Kuveit

130

Hispaania

1300

Kataar

320

Portugal

140

Türgi

130

Kokku

620000 (70000GW)

(650GW)

Päikeseenergia potentsiaal Euroopas ja selle läheduses. „Majanduslik potentsiaal“ on energia, mida saaks toota sobivates paikades, kus otsene päikesekiirgus on suurem kui 2000kWh/m2/a.

„Rannikuala potentsiaal“ on energia, mida saaks toota meretasemest meetri (vertikaalse) ulatuses. Selline energia on eriti paljulubav, sest seda saaks kombineerida mereveest soola eemaldamisega.

Võrdluseks: koguenergia, mida on vaja 1 miljardi inimese jaoks 125 kilovatt-tunni energia tootmiseks iga päev on 46000TWh/a (5200GW). 6000TWh/a (650GW) võimsusest piisaks miljardi inimese jaoks tootmiseks päevas.

Proovime koostada kaardi, millel oleks kujutatud realistlik plaan. Kujutame ette, et ehitame päikesefarmid, millest igaühe pindala oleks ruutkilomeetrit (see on ligikaudu võrdne Londoni pindalaga). (Kogu Londoni metropoli pindala on 1580m2, M25 orbitaal-kiirtee sisse jääb maatükk suurusega 2300km2.) Katame pool iga sellise elektrijaama pindalast koondavate päikesepaneelidega, mille keskmine energiatihedus on 15W/m2, jättes nii ruumi ka põllumajandusele, hoonetele, raudteedele, autoteedele, kaablitele ja gaasitrassidele. Lubades elektrijaamade ja tarbija vahelise transpordi energiakaoks protsenti, toodab iga selline jaam keskmiselt . Joonisel 25.8 on kujutatud õiges suuruses mõned sellised elektrijaamad. Et nende jaamade suurusest õige idee tekiks, lisasin neist mõned ka Suurbritaniasse. Neli sellist jaama toodaks ligikaudu Ühendkuningriikide tarbeks kuluva energia ( inimese kohta miljonile inimesele). 65 sellist jaama kataks terves Euroopas ja Põhja-Aafrikas elava miljardi inimese tarbeks kuluva energia ( inimese kohta). Joonisel 25.8 on kõrbesse joonistatud 68 elektrijaama.

Joonis 25.8: Iga ümmargune täpp kujutab endast -ruutkilomeetrist ala, millest kolmandiku katavad päikesefarmid, mis toodavad keskmiselt energiat. 65 sellist ala toodaks miljardi inimese jaoks igaühele energiat päevas.

Koondavad fotoelemendid

Joonis 25.9: Kalifornias toodetud -kilovatine (parimates tingimustes) koondav fotoelement-kollektor firmalt Amonix. Selle 225-ruutmeetrine apertuur sisaldab 5760 Fresneli läätse, millest igaüks koondab 260-kordselt ning valgustab -protsendilise efektiivsusega ränist fotoelementi. Üks selline kollektor sobivas kõrbe-asukohas toodab 138kWh päevas – sellest piisab poole ameeriklase päevaseks energiatarbeks. Pange tähele skaalaks toodud inimest. Foto: David Faiman.

Kõrbes kasutatava koondava päikese-soojusenergia kõrval on alternatiiviks suuremahulised koondavad fotoelement-süsteemid. Nende ehitamiseks asetatakse odavate läätsede või peeglite fookusesse kõrgekvaliteedilised elektrit tootvad fotoelemendid. Faiman et al. uurimuse (2007) kohaselt suudaks päikeseenergia hind selliste koondavate fotoelementide kujul (kõrbe-osariikides – Kalifornias, Arizonas, New-Mexicos ja Texases) fossiilkütustega konkureerida ka ilma igasuguse riigipoolsete toetusteta.

Vastavalt Amonix-nimelise tootja andmetele oleks sellist sorti koondava päikeseenergia keskmiseks energiatoodanguks ühik-pindala kohta 18W/m2.

Teine võimalus hinnata, kui palju riistvara selleks vaja läheb, on personaliseerimine. Iga selline joonisel 25.9 toodud -kilovatine (parimates tingimustes) kollektor toodab keskmiselt 138kWh päevas. Ameerikalik eluviis tähendab, et üks inimene kulutab ligikaudu päevas. Seega tuleks selleks, et USA oma fossiilkütuse sõltuvusest lahti saaks, ehitada iga inimese kohta kaks sellist  15m×15m kollektorit.

Küsimused

Ma olen segaduses! Peatükis Päike ütlesite, et parimad fotoelement-paneelid toodavad keskmiselt vatti ruutmeetri kohta paigas, mis oma päikselisuselt on võrreldav Suurbritanniaga. Eeldatavasti toodaks sama paneel kõrbes 40W/m2. Kuidas on see võimalik, et koondav päikesefarm toodab vaid 18W/m2? Koondamine peaks ju olema parem kui tavalised lamedad päikesepaneelid?

Hea küsimus. Lühike vastus: „Ei.“ Päikesevalgust koondava elektrijaama keskmine elektritoodang ühikulise pindala kohta ei ole suurem kui tavalistel lamedatel planeelidel. Nende koondav süsteem liigub vastavalt Päikesele – vastasel juhul ei ole see valgus otse fookuses; kui katame mingi maatüki Päikest jälgivate seadmetega, tuleb nende vahele jätta ka teatud määral tühja maad. Suur osa valgusest langeb sellesse „tühjusesse“ ning läheb raisku. Põhjus, miks koondavaid elektrijaamu siiski ehitatakse, on fakt, et hetkel on fotoelement-paneelid väga kulukad ningkoondavad süsteemid on odavamad. Koondamist pooldavate inimeste eesmärk pole ehitada suurema energiatihedusega süsteeme. Nende eeldusel on kinnisvara hind odav. Eesmärgiks on toota iga kulutatud dollari kohta võimalikult suurel hulgal energiat.

Kuid kui lamedate päikesepaneelide energiatihedus on suurem, siis miks ei räägi sa Sahaara kõrbe katmisest nendega?

Sest ma proovin kirjeldada praktilisi lahendusi suureskaalaliseks jätkusuutlikuks energiatoodanguks Euroopa ja Põhja-Aafrika jaoks aastaks 2050. Minu arvamuse kohaselt on aastaks 2050 peeglid jätkuvalt odavamad kui fotoelement-päikesepaneelid, mistõttu on päikeseenergiat koondav tehnoloogia see, millele peaksime keskenduma.

Aga päikesekorstnad?

Päikesekorsten ehk sooja õhuvoolu torn kasutab päikeseenergiat väga lihtsal viisil. Suure, läbipaistva (klaasist või plastmassist) katusega kaetud ala keskele ehitatakse hiiglaslik korsten. Kuna soe õhk tõuseb üles, liigub selles kasvuhoonesarnases soojuskogujas tekkinud soe õhk läbi korstna ülespoole, tõmmates soojuskoguja ümbert jahedat õhku sissepoole. Energia ise toodetakse korstna allosas asuvate turbiinide abil. Päikesekorstnate ehitamine on võrdlemisi lihtne, kuid need ei tooda oma pindala kohta eriti suures koguses energiat. Hispaanias Manzanares asuv pilootprojekt töötas aastatel 1982 kuni 1989. Selle korstna kõrgus oli 195 meetrit ning läbimõõt meetrit. Soojuskoguja läbimõõt oli 240 meetrit ning selle katuseks oli ruutmeetrit klaasi ning 4000 ruutmeetrit läbipaistvat plastmassi. Sellise elektrijaama kogutoodang oli 44MWh aastas, andes energiatiheduseks 0,1W/m2.

Joonis 25.10: Manzanarese prototüüp-päikesekorsten. Foto: solarmillenium.de

Teoorias võib öelda, et mida suurem on soojuskoguja ning kõrgem korsten, seda suurem on päikesekorstna energiatihedus. Manzanarese inseneride sõnul annaks 2300kWh/m2 (262W/m2) kiirgushulgaga paigas asuv meetri kõrgune torn koos oma seitsmel ruutkilomeetril laiuva soojuskogujaga 680GWh aastas: keskmine võimsus 78MW. See teeks energiatiheduseks ligikaudu 1,6W/m2, mis on võrreldav Suurbritannia tuuleparkide energiatihedusega, kuid on vaid kümnendikkoondava päikesefarmi energiatihedusest. Väidetakse, et päikesekorstnate poolt toodetava elektri hind oleks sarnane tavaliste elektrijaamade poolt toodetud elektrihindadega. Ma pakun välja, et riigid, kellel on piisavalt vaba maad ning päikesevalgust, korraldaksid suure võistluse, milles naftat tootvad ja tarbivad riigid sponsoreeriksid kahte võistlejat: päikesekorstnaid ning koondavat päikeseenergiat.

Aga miks ei võiks me saada energiat Islandilt, kus maasoojusenergiat ja hüdroenergiat jätkub piisavalt?

Joonis 25.11: Rohkem maasoojusenergiat Islandil. Foto: Rosie Ward

Island tõepoolest ekspordib juba praegu efektiivselt oma energiat, müües seda tööstustele, mis toodavad suure tootmis-energiakuluga tooteid. Island toodab näiteks aastas iga oma kodaniku kohta ligikaudu ühe tonni alumiiniumi. Islandi perspektiivist vaadates saaks niimoodi tõesti suure kasumi toota. Kuid kas Island saaks päästa kogu Euroopa? Oleksin üllatunud, kui Islandi energiatoodangut saaks üles skaleerida kasvõi vaid Suurbritanniat rahuldava elektritoodangu eksportimiseks. Võrdluseks meeldib mulle vaadelda Inglismaa-Prantsusmaa vahelist Interconnector kaabliühendust, mis transpordib üle Inglise Kanali kuni energiat. See maksimaalne võimsus tähendab keskmise Ühendkuningriikide elaniku jaoks 0,8kWh päevas – ligikaudu Briti keskmisest energiatarbest. Islandi keskmine maasoojusenergia toodang on vaid 0,3GW, mis on vähem kui Suurbritannia keskmisest energiatarbest. Et toota meile energiat päevas inimese kohta (see on ligikaudu võrdne kogusega, mida Suurbritannia hetkel oma tuumaelektrijaamade abil toodab), tuleks Islandi energiatoodangut suurendada kümme korda. Tõenäoliselt on Islandi ja Suurbritannia vahelise ühenduskaabli ehitamine hea idee, kuid me ei tohiks eeldada, et saame selle abil transportida tohutul hulgal energiat.

Märkused ja edasine lugemine

Päikesevalgust koondavate päikesefarmide keskmine energiatoodang ühikpindala kohta on ligikaudu 15W/m2. Minu allikateks on kaks kõrbes kasutamiseks mõeldud koondavaid päikesefarme ehitavat ettevõtet.

Joonis 25.12: Kaks inseneri paigaldamas koondavat eSolar päikesefarmi, mis kasutab heliostaate (peegleid, mis pöörlevad ning kalduvad vastavalt Päikese asukohale). Esolar.com ehitab keskmise suurusega elektrijaamasid: -megavatine (ideaaltingimustes) süsteem 64-hektarilisel maatükil. See tähendab parimate tingimuste juures toodangut 51W/m2 ehk, et tavalises kõrbes saaks selle abil toota neljandiku: .

www.stirlingenergy.com sõnul toodab üks nende „taldrikutest“ heas kõrbeasukohas oma -kilovatise Stirling mootori abil 60000kWh/a. Nende taldrikute tihedus oleks üks iga ruutmeetri kohta. See teeb keskmiseks energiatiheduseks 14W/m2. Nende sõnul on Stirling-päikesetaldriku efektiivsus ühikulise pindala kohta oma energiatoodangult kõige parem.

www.ausra.com kasutab vee 285-kraadini soojendamiseks lamedaid peegleid ning muundab selle auruturbiinide abil elektrienergiaks. Seda kuuma, rõhu all olevat vett saab hoiustada sügavates metallseintega koobastes, võimaldades energiat toota ka öisel ajal. Austraaliasse ehitamiseks mõeldud 240-megavatise elektrijaama (Mills ja Lievre, 2004) kirjeldamisel väidavad selle insenerid, et -ruutkilomeetrile paigaldatud peeglid toodavad 1,2TWh energiat: see tähendab 38W/m2 peegli kohta. Energiatiheduse leidmiseks peame võimaldama peeglite vahele ka mingil määral tühja maad.  Ausra sõnul kuluks neil terve USA jagu elektri tootmiseks maatükk, mille pindala on 153km×153km (Mills ja Morgan, 2008). USA kogu elektritarve on 3600TWh/a, andes nende väiteks 18W/m2 energiatiheduse. Selle tehnoloogia nimeks on kompaktne lineaarne fresneli peegeldi (compact linear fresnel reflector, Mills ja Morrison, 2000; Mills et al., 2004; Mills ja Morgan, 2008). Peaksime ära märkima, et „koondava päikeseenergia“ nime asemel eelistab Ausra kasutada terminit „päikese-soojuselekter,“ rõhutades soojusenergia salvestamise eeliseid võrreldes fotoelementidega, sest sellega ei kaasne looduslikku energiasalvestusmeetodit.

Trieb ja Knies (2004), kes on koondava päikeseenergia suured pooldajad, eeldavad, et tulevikus on alternatiivsete koondavate päikeseenergia tehnoloogiate energiatihedused järgnevad: paraboolsed kaevikud 1419W/m2; lineaarne fresneli kollektor 1928W/m2; heliostaatidega torn 913W/m2; Stirling-taldrik 914W/m2.

Koondavat päikeseenergiat kasutavaid näidis-elektrijaamu on Euroopas hetkel kolm. Andasol, mis kasutab paraboolseid kaevikuid, Solucar PS10 – Sevilla läheduses asuv torn, ning Solartres – torn, mis kasutab soojusenergia salvestamiseks sulatatud soola. Joonisel 25.4 toodud Andasoli paraboolsete kaevikute süsteemi energiatihedus on eelduste kohaselt 10W/m2. Solucari „11-megavatist“ päikesetorni katavad 624 peeglit, millest igaühe pindala on 121m2. Need peeglid koondavad päikesevalgust kiirgustiheduseni 650kW/m2. Vastuvõtja poolt saadavaks maksimumvõimsuseks on 66MW. See elektrijaam suudab salvestada 20MWh soojusenergiat, võimaldades pilvise ilma korral minutit energiat. Eelduste kohaselt toodaks see 24,2GWh elektrit aastas ning kataks hektari suuruse ala. See teeb keskmiseks energiatiheduseks 5W/m2. (Allikas: Abengoa Iga-aastane Raport 2003). Solartres kataks 142-hektarilise maatüki ning toodaks eelduste kohaselt 96,4GWh aastas, andes energiatiheduseks . Andasol ning Solartres kasutaksid mõlemad tavaliste töötingimuste korral mingil määral maagaasi.

Joonis 25.13: Kõrgepinge-alalisvoolu süsteem Hiinas. Foto: ABB

Märkused ja edasine lugemine

HVDC tehnoloogiat kasutatakse elektritranspordiks ka praegu – rohkem kui -kilomeetriste vahemaade puhul Lõuna-Aafrikas, Hiinas, Ameerikas, Kanadas, Brasiilias ja Kongos. Allikad: Asplund (2007), Bahrmann ja Johnson (2007). Edasist lugemist HVDC kohta: Carlsson (2002).

3500-kilomeetrise HVDC energiakadu koos energiamuundamisprotsessiga (vahelduvvoolust alalisvooluks ning tagasi) on ligikaudu . Allikad: Trieb ja Knies (2004); van Voorthuysen (2008).

Vastavalt Amonix-nimelise tootja andmetele oleks sellist sorti koondava päikeseenergia keskmiseks energiatoodanguks ühik-pindala kohta 18W/m2. Need www.amonix.com eeldused on: lääts edastab 85% valgusest; -protsendiline fotoelemendi efektiivsus; 35-protsendiline kollektori efektiivsus; -protsendiline kadu varjude tõttu. Apertuuri ja pindala vaheline suhe on . Normaalne otsekiirgus: 2222kW/m2/a. Nad eeldavad iga maksimaaltingimustes toodetud kW abil toota 2000kW/m2/a (keskmiselt 0,23kW). Ühe gigavatine elektrijaam kataks ruutkilomeetrit ning toodaks 2000GWh aastas. See teeb 18W/m2/a.

Päikesekorstnad. Allikad: Schlaich J (2001); Schlaich et al. (2005); Dennis (2006), www.enviromission.com.au, www.solarairpower.com.

Islandi keskmine maasoojusenergia toodang on vaid 0,3GW. Islandi keskmine elektritoodang on 1,1GW. Seelline on 2006. aasta statistika: 7,3TWh hüdroelektrit ning 2,6TWh maasoojuselektrit, mille võimsusteks on vastavalt 1,16GW ning 1,42GW. Allikas: Orkustofnun National Energy Authority [www.os.is/page/energystatistics].

Edasist lugemist: Euroopa Komisjon (2007), Saksa Lennutööstuse Keskuse (DLR) Tehnilise Termodünaamika Osasüsteemide Analüüsi ja Tehnoloogia Hinnang (2006), www.solarmillenium.de.

Kõikumised ja salvestamine

Tuul, mis oma olemuselt on otsene liikumapanev jõud, on masintööjõudu kasutavas süsteemis rakendamiseks ebasobiv, sest tuulevaiksel hooajal oleks kogu riigi majandus hädas. Enne aurumootorite ajastut kasutati tuulegeneraatoreid kaevandusšahtide veest tühjendamiseks – kuigi need olid võimsad masinad, ei saanud nende peale alati loota, sest pikemate tuulevaiksete perioodide jooksul ujutas vesi kaevandused üle, mistõttu kaevandustöölised ei saanud oma tööd teha.

Kui me loobume fossiilkütustest täielikult ning läheme sajaprotsendiliselt üle taastuvenergiaallikatele või tuumaenergiale või nende kahe kombinatsioonile, võib meil tekkida probleem. Enamus suuremaid taastuvenergiaallikaid ei ole midagi, mida saab lihtsalt sisse-välja lülitada. Kui tuul puhub ja Päike paistab, on energiat küllaga, ent kaks tundi hiljem ei pruugi asjalood enam nii olla. Ka tuumaelektrijaamad pole ehitatud nii, et neid saaks lihtsalt välja lülitada. Tavaliselt on need alati sisse lülitatud ning nende poolt toodetavat energiahulka saab vähendada või suurendada vaid mitme tunni pikkuse perioodi jooksul. See on probleem, sest elektrivõrgustikus peaks tootmine ja tarbimine igal ajahetkel alati tasakaalus olema. Elektrivõrgustik ei saa energiat salvestada. Et töötada välja energiaplaan, mis vastab iga päeva igale minutile, tuleb meil seega leida miskit, mis on kergesti sisse-välja lülitatav. Tihtipeale eeldatakse, et see miski peaks olema energiaallikas, mida saab välja lülitada, kompenseerides seeläbi tarbimise ja tootmise kõikumist (näiteks fossiilkütust põletav elektrijaam!). Ent teiseks samaväärseks tarbimise-tootmise tasakaalustamise viisiks on tekitada kergesti sisse-välja lülitatav energia nõudlus – energiat neelav süsteem, mille saab vaid hetkega välja lülitada.

Joonis 26.1:  Elektritarbimine Suurbritannias (ühikutes kWh/p inimese kohta) kahel talvisel ning kahel suvisel 2006. aasta nädalal. Tipptarbimine jaanuaris on alati kell 18:00. Viiepäevase töönädala tarbimine on hästi nähtav nii suvel kui talvel. (Kui soovite riiklikku tarbimist näha gigavattides, pidage meeles skaala ülemist osa: inimese kohta on sama, mis 60GW kogu Suurbritannia kohta.)

Igal juhul peab see kergesti sisse-välja lülitatav miski olema suur, sest elektrinõudlus varieerub suuresti (vt joonis 26.1). Mõnikord muutub see nõudlus mitmekordselt vaid paari minuti jooksul. Selles peatükis kirjeldame variante, kuidas nõudluse ja tootmise muutlikkusega ilma fossilkütuseid kasutamata hakkama saada.

Kui palju taastuvenergia kõigub?

Ükspuha kui palju me taastuvenergiat ka ei armastaks, ei tohi me ennast petta ning väita, et see ei kõigu.

Tuuleenergia kriitikud ütlevad: „Tuuleenergia on ebausaldusväärne ja muutlik, mistõttu ei saa see elektri olemasolu tagamisel kasulik olla; kui me toodame palju tuuleenergiat, peame me siiski omama ka fossiilkütusel põhinevaid elektrijaamu, et tuulevaiksel ajal energiat toota.“ Ajaleheveergude pealkirjad, nagu näiteks „Tuulevaikus Teksases tähendab elektrivõrgu hädaolukorda,“ vaid võimendab seda vaadet. Tuuleenergia pooldajad proovivad seda probleemi aga peita: „Ärge muretsege – üksikud tuulepargid võivad tõepoolest muutlikud olla, kuid nende kõigi kogutoodangut koos vaadates on tuuleenergia palju usaldusväärsem.“

Joonis 26.2: Kõigi Iiri Vabariigis asuvate tuuleparkide kogutoodang megavattides 2006. aasta aprillist 2007. aasta aprillini (ülal) ning detailne vaade jaanuarist 2007. aprillini 2007. (keskel) ning veebruaris 2007 (all). Maksimaalne elektrinõudlus Iirimaal on ligikaudu 5000MW. Iirimaa tuuleenergia „võimsus“ 2007. aastal oli 745MW ning see jaotus 60 tuulepargi vahel. Andmeid koguti iga minuti järel ning need on leitavad veebilehel www.eigrid.com.

Vaatame aga tegelikke andmeid ning proovime leida tasakaalustatud vaatepunkti. Joonisel 26.2 on toodud kõikide Iirimaa tuuleparkide toodang 2006. aasta aprillist 2007. aasta aprillini. Tõepoolest on tuul muutlik – seda ka siis, kui liidame kokku kõikide üle kogu riigi asuvate tuulegeneraatorite toodangu. Ühendkuningriigid on veidi suurem kui Iirimaa, kuid sama probleem kehtib ka seal. 2006. aasta oktoobri ja 2007. aasta veebruari vahel oli 17 päeva, mil Britannia tuulegeneraatori toodang oli alla nende võimsusest. Sellest perioodist viiel päeval oli toodang alla ning ühel päeval vaid .

Proovime neid kõikumisi esitada kogu riigis toodetud tuuleenergia suhtes. Kaks koheselt esilekerkivat probleemi on lühiajalised muutused ning pikaajalised tuulevaiksed perioodid. Leiame kiireima lühiajalise muutuse Iirimaa kohta kehtinud andmetest. 2007. aasta 11ndal veebruaril langes Iiri tuuleenergia kesköiselt megavatilt kella neljaks hommikul 79 megavatini. See tähendab, et  kogu riigi -megavatine võimsus langes 84 megavatti tunnis. (Selle languse all pean ma silmas kiirust, millega toodetav elektrihulk langeb või tõuseb - 11. veebruarit kujutava graafiku tõusu.) Hea küll: kui me suurendame Suurbritannia tuuleenergia toodangu gigavatini (ehk et keskmiselt toodetaks ), võime aeg-ajalt oodata võimsuse langust, mis on

eeldades, et Suurbritannia on Iirimaaga sarnane. Seega peame olema võimelised kas tagavara-energiaallikaid sisse lülitama (kiirusega 3,7GW tunnis, mis on võrdne nelja tuumaelektrijaama toodanguga, kusjuures selle toodang peab tõusma iga tunni jooksul nullist maksimumini) või siis oma tarbimist järsult vähendama, kiirusega 3,7GW tunnis.

Kas saaksime kuidagi nendele tuuleenergia nõudmistele järele anda? Sellele küsimusele vastamiseks peame rääkima veidi lähemalt gigavattidest. Gigavatid on suured, tervet riiki esindavad võimsusühikud. Gigavatt on ühe riigi jaoks sama mis kilovatt-tundi-päevas on ühe inimese jaoks: hea mugav ühik. Ühendkuningriikide keskmine energiatarve on umbkaudu 40GW. Saame selle ühele isikule ümber teisendada: päevas inimese kohta on sama mis 2,5GW riiklikul tasandil. Seega, kui iga inimene kasutab päevas elektrit, on riiklik tarbimine 40GW.

Joonis 26.3: Suurbritannia elektrinõudlus 2006. aasta kahe talvise nädala jooksul. Vasak- ning parempoolsed skaalad näitavad nõudlust riiklikul (GW) ning isiklikul ( kWh/p inimese kohta) tasandil. Need andmed on samad mis joonisel 26.1.

Kas riiklikul tasandil energiatarbimise vähendamine kiirusega 4GW tunnis üksikisiku tasandil on täiesti mõeldamatu? Ei. Igal hommikul, nagu on näha jooniselt 26.3, tõuseb Suurbritannia energiatarve poole seitsme ja poole üheksa vahelisel ajal ligikaudu 13GW võrra. See tähendab tarbimise kasvu kiirusega 6,5GW tunnis. See tähendab, et meie insenerid saavad juba praegu igapäevaselt hakkama selliste riikliku elektrivõrgu tarbimiskiiruse muutustega, mis on suuremad kui 4GW tunnis. Aeg-ajalt tuulekiiruse muutlikkuse tõttu lisanduv -gigavatine muutus energiatoodangus ei ole põhjus, miks riigi pindala suurustest tuuleparkidest loobuda. See on samasugune probleem nagu probleemid, mille insenerid juba lahendanud on. Meil tuleb lihtsalt leida moodus muutliku toodangu ja nõudluse sobitamiseks elektrivõrgustikus ilma fossiilkütuseid kasutamata. Ma ei ütle, et see probleem on juba lahendatud, vaid et see probleem ei ole suurem kui mitmed teised juba lahendatud probleemid.

Olgu, enne lahenduste otsimist peame numbritesse panema ka tuuleenergia teise probleemi: pikaajalised tuulevaiksed perioodid. 2007. aasta veebruari alguses oli Iirimal terve riigi ulatuses tervelt viis päeva kestnud tuulevaikne periood. See ei olnud mingi ebatavaline nähtus, nagu võib näha ka jooniselt 26.2. 23 päeva kestvaid tuulevaikseid perioode esineb mitmel korral aastas.

Tuulevaiksete perioodidega hakkama saamiseks on kaks meetodit. Me võime mingil määral energiat enne tuulevaikset perioodi salvestata või siis peame oma tarbimist tuulevaiksel ajal vähendama. (Või siis peaksime neid kahte lahendust kombineerima.) Kui meil on -gigavatise koguvõimsusega tuulepargid, mis toodavad keskmiselt , siis viiepäevase tuulevaikse perioodiga hakkama saamiseks peaksime eelnevalt salvestama või siis oma tarbimist vähendama järgmiselt:

(Gigavatt-tund (GWh) on riigi kohta kehtiv nunnu ühik. Suurbritannia elektritarve on ligikaudu päevas.)

Selle ühiku isikustamiseks saame öelda, et terve riigi kohta 1200GWh salvestamine tähendab ühe inimese kohta salvestamist. Sellisel hulgal energia salvestamine võimaldaks meie riigil saada hakkama viis päeva olukorras, kus meie elektritoodang on 10GWh väiksem. Või siis tähendaks see seda, et iga kodanik peaks viiel järjestikusel päeval tarbima igapäevaselt vähem elektrit.

Tuulevaiksete perioodide ning kõikumistega hakkama saamine

Meil tuleb lahendada kaks probleemi – tuulevaiksed perioodid (pikk ajavahemik, mil taastuvenergia toodang on madal) ning järsud kõikumised (lühiajalised muutused toodangus või nõudluses). Me panime need probleemid juba numbritesse, kasutades teadmist, et Suurbritannia tuuleenergia tootevõimsus on ligikaudu . Tuulevaiksete perioodidega hakkama saamiseks peaksime suuta efektiivselt salvestada umbkaudu 1200GWh energiat ( inimese kohta). Muutuskiirus, millega peaksime hakkama saama, on 6,5GW tunnis (ehk tunnis inimese kohta).

Lahendusi on siinkohal kaks – neid mõlemaid saaks meie probleemide lahendamiseks üles skaleerida. Neist esimene lahendus on tsentraliseeritud ning teine detsentraliseeriud. Esimene lahendus salvestab energiat ning saab kõikumistega hakkama, lülitades selle salvestatud energia abil töötavat energiaallikat sisse-välja. Teine lahendus kasutab nõudlust mõjutava osa sisse-välja lülitamist.

Esimeseks lahenduseks on pumbatud salvestamine. Teine kasutab peatükis Parem transport kirjeldatud elektrisõidukite akusid. Enne nende lahenduste kirjeldamist räägime veel mõnest ideest, mis võimaldaksid meil järskude kõikumistega hakkama saada.

Muud tarnepõhised kõikumistega toimetuleku lahendused

Mõned taastuvenergiaallikad on kergesti sisse-välja lülitatavad. Kui meil oleks kasutada suurel hulgal sisse-välja lülitatavaid taastuvenergiaallikaid, laheneksid kõik selles peatükis mainitud probleemid. Näiteks Norras ja Rootsis saaksime kasutada suurel hulgal hüdroelektrilisi lahendusi, mida siis kergesti sisse-välja lülitada saaksime. Milliseid lahendusi saaks aga kasutada Suurbritannias?

Esiteks: Suurbritannias võiks olla suurel hulgal prügi põletusrajatisi ning biomassi põleteid/elektrijaamu, mis täidaksid praeguste fossiilkütus-elektrijaamade rolli. Kergesti sisse-välja lülitatavatel elektrijaamadel on muidugi negatiivne mõju nende kuludele – samamoodi, nagu oleks kulukas ehitada fossiilkütustel põhinevaid lisa-elektrijaamu, mis töötaksid vaid poole ajast: nende generaatorid seisaksid tihti paigal ning teinekord töötaksid jällegi topeltvõimsusel; enamik generaatoreid pole pidevalt sisse-välja lülitamise korral võrreldes stabiilse töötamisega eriti efektiivsed. Hea küll, jätame praegu lisakulutused tahaplaanile. Peamiseks küsimuseks on see, kui suur meie sisse-välja lülitatav resurss saab olema. Kui põletaksime kogu olmeprahi ning võrdsel hulgal põllumajandusprahti, oleks nende energiaallikate abil toodetav keskmine võimsus ligikaudu 3GWh. Kui ehitaksime need põletid kaks korda nii võimsaks, suudaksid need kõrge nõudluse korral toota 6GWh ning madala nõudluse korral 0GWh. Need elektrijaamad võiksid olla suutelised käivituma ning tööd lõpetama vaid ühe tunni jooksul, saades hakkama muutuskiirusega 6GWh tunnis – kuid see oleks maksimum! See on küll abiks, kuid pole piisavalt kiire, kui meil tuleb hakkama saama tuulevaikusega kaasneva -gigavatise muutuskiirusega.

Aga hüdroelekter? Suurbritannia hüdroelektrijaamade keskmine koormustegur on , mis tähendab, et neid saaks kindlasti sisse-välja lülitada. Lisaks saab hüdroelektrit väga kiiresti sisse-välja lülitada. Näiteks võtab uue, -megavatise võimsusega Glendoe hüdroelektrijaama sisse lülitamine aega vaid sekundit! See teeb ainuüksi ühe elektrijaama muutuskiiruseks 12GW tunnis! Seega peaks suur hulk hüdroelektrijaamu saama hakkama hiigelsuurte tuuleparkide vähese toodanguga seotud energiavajadusega. Hetkel pole Suurbritannia hüdroelektrijaamade hulk siiski piisavalt suur, et meie probleemi lahendada (eeldades, et soovime hakkama saada näiteks - või -gigavatise järsu kadumisega). Hetkel on Suurbritannia traditsiooniliste hüdroelektrijaamade koguvõimsus vaid umbkaudu 1,5GWh.

Seega: muude taastuvenergiaallikate lihtne sisse-välja lülitamine pole Suurbritannia jaoks sobiv lahendus. Meil on vaja teisi lahendusi.

Pump-hüdroakumulatsiooni elektrijaamad

Joonis 26.5: Nii maksavad pump-hüdroakumulatsiooni elektrijaamad iseenda eest. Elektrihinnad naelsterlingites kohta kolmel päeval.

Pump-hüdroakumulatsiooni elektrijaamad pumpavad odava elektri perioodil vett madalamal asuvast järvest ülalpool asuvasse järve ning toodavad turbiinide abil (just nagu tavalised hüdroelektrijaamad) elektrit ajal, mil see on kallim.

Suurbritannias on neli pump-hüdroakumulatsiooni elektrijaama, mis kokku suudavad salvestada 30GWh energiat (tabel, joonis 26.6). Tavaliselt kasutatakse neid öösel toodetava liigelektri salvestamiseks ning seejärel päevasel ajal, eriti tipptarbimise jooksul, selle elektrivõrku tagasi transportimisel. See on tulukas äri, nagu jooniselt 26.5 ka nähtub.

Tabel 3.9: Pumpelektrijaamad Suurbritannias. Praegune maksimaalne salvestatava energia hulk on ligikaudu 30GWh.

Jaam

Võimsus (GW)

Veesammas (m)

Maht (miljonit )

Salvestatud energia (GWh)

Ffestiniog

0,36

320295

Cruachan

0,40

365334

11,3

Foyers

0,30

178172

6,3

Dinorwig

1,80

542494

6,7

9,1

Dinorwigi elektrijaam – hämmastav katedraal Snowdonias asuva mäe sees – kujutab endast teatud mõttes ka kindlustust: hädaolukorras suudab see elektrijaam töösse lükata kogu Suurbritannia elektrivõrgustiku. Dinorwigi on võimalik sisse lülitada (võimsuselt kuni 1,3GW) sekundiga.

Dinorwig on nende nelja elektrijaama kuninganna. Vaatame lähedalt tema näitajaid. Dinorwigis salvestatav koguenergia on ligikaudu 9GWh. Selle ülemine järv asub alumisest ligi meetrit kõrgemal ning selle süsteemi töömaht miljonit voolab maksimaalkiirusega , võimaldades viiel järjestikusel tunnil toota 1,7GW. Selle salvestussüsteemi efektiivsus on .

Llyn Stwlan, Põhja-Walesis asuva Ffestiniog pump-hüdroakumulatsiooni elektriajaama ülemine reservuaar

Kui kõik meie neli pump-hüdroakumulatsiooni elektriajaama korraga sisse lülitada, suudavad need toota 2,8GW. Nende sisse lülitamine on väga kiire, saades hakkama igasuguse muutuskiirusega, mida tarbimine või tuulemuutused põhjustada võivad. See 2,8 gigavatti pole aga piisav, et asendada kogu see või gigavatti tuuleenergiat, kui see järsku ära kaoks. Lisaks pole kogu see salvestatav energiahulk (2,8GWh) isegi mitte ligilähedal sellele -le gigavatt-tunnile, mida me sooviksime tuulevaikse perioodiga hakkama saamiseks salvestada. Kas pump-hüdroakumulatsiooni elektrijaamade hulka saaks kõvasti suurendada? Kas saame kujutada ette stsenaariumit, milles lahendame kogu tuulevaikuse probleemi vaid pump-hüdroakumulatsiooni elektriajaamade abil?

Kas me saaksime salvestada 1200GWh energiat?

Me oleme huvitatud palju suuremate salvestussüsteemide ehitamisest – miski, mis võimaldaks meil salvestada kokku 1200GWh (ligikaudu 130 korda rohkem, kui Dinorwigis võimalik). Ning me soovime, et selle süsteemi võimekus oleks umbes 20GW – ligikaudu korda rohkem kui Dinorwigis. Siin on pump-hüdroakumulatsiooni elektriajaamu kasutav lahendus: me peame ehitama umbkaudu uut jaama, millest igaüks suudaks salvestada 1200GWh – ligikaudu korda rohkem kui Dinorwigis salvestatav energiahulk. Kõigi nende jaamade pumpamise ja elektritootmise võimekus peaks olema sama, mis Dinorwigis.

Kui me eeldame, et generaatorite efektiivsus on 90, näitab allolev tabel mõningaid viise 100GWh salvestamiseks erinevate languste korral. (Selle protsessi füüsika paremaks mõistmiseks võite lugeda peatüki lõpus olevaid märkmeid.)

Tabel 3.10: Võimalusi 100GWh salvestamiseks.

Langus ülemisest järvest

Vajatav töömaht (miljonit )

Järve pindala ja sügavuse näidissuurus

 500m

2km2×20m

 500m

4km2×10m
 200m

5km2×20m
 200m

10km2×20m
 

10km2×20m
 

20km2×10m

 Pump-hüdroakumulatsiooni elektrijaamade energiasalvestus. Erinevaid võimalusi 100GWh salvestamiseks. Teise tulbaga võrdluseks: Dinorwigi töömaht on miljonit ning Windermere'i järve maht on miljonit . Kolmanda tulbaga võrdlemiseks: Rutlandi järve pindala on 12,6km2, Grafhami järve pindala on 7,4km2. Carroni oru reservuaari pindala on 3,9km2. Suurbritannia suurima järve, Loch Lomondi, pindala on 71km2.

Kas on usutav, et võiksime leida sellist kohta? Kindlasti, me võiksime mitmeid Dinorwigi-sarnaseid paikasid leida kasvõi ainult Snowdonia piires. Järgnevas tabelis on toodud kaks alternatiivset asukohta Ffestiniogi läheduses, kuhu oleks olnud võimalus ehitada Dinorwigi-sarnaseid pump-hüdroakumulatsiooni elektriajaamu. Neid asukohti uuriti lisaks Dinorwigile 1970ndatel – me teame, millise paiga kasuks nad otsustasid.

Tabel 3.11: Snowdonia alternatiivsed asukohad pumpelektriajaama ehituseks. Mõlema asukoha jaoks oleks alumine järv pidanud olema kunstlik reservuaar.

Asukoha kandidaat

Võimsus(GW)

Veesammas (m)

Maht (miljonit )

Salvestatav energiahulk(GWh)

Bowydd

2,40

17,7

12,0

Croesor

1,35

310

8,0

6,7


Šotimaale oleks võimalik ehitada Dinorwigist palju suurema tootlikkusega pump-hüdroakumulatsiooni elektriajaamasid, kasutades juba olemasolevaid hüdroelektriehitisi. Šotimaa kaarti uurides näeme, et üks selline asukoht kasutaks ülemise järvena Loch Sloy'd ning alumisena Loch Lomondit. Neid kahte järve ühendab juba praegu olemasolev väike hüdroelektrijaam. Joonisel 26.9 on näidatud need kaks järve ning Dinorwigi järved samas skaalas. Loch Sloy ja Loch Lomondi järvede kõrguste vahe on umbkaudu 270m. Sloy pindala on umbes ning seal salvestatakse juba praegu 20GWh. Kui Sloy tammi tõstetaks veel meetri võrra, oleks salvestatav lisaenergia umbes 40GWh. Veetase Loch Lomondis muutuks ühe tsükli jooksul maksimaalselt 0,8m.  See on vähem kui Loch Lomondi aastane normaalne veetaseme muutus ().

Joonis 26.9: Snowdonia Rahvuspargis asuv Dinorwig (kaardid vasakus veerus). Võrdluseks Loch Sloy ja Loch Lomond (parem veerg). Ülemisel kaardil toodud maatüki pindala on 10km×10km. Alumisel kaardil olevad sinised ruudud tähistavad 1km×1km suurust maatükki. Fotodena on kasutatud Ordnance Survey Get-a-map teenust  www.ordnancesurvey.co.uk/getamap. Fotod on prinditud Ordnance Survey loal. © Crown Copyright 2006.
Joonis 26.10: Šotimaal asuvad järved, kuhu oleks võimalik rajada veel pumpelektriajaamasid.

Joonisel 26.10 on näidatud 13 Šotimaal asuvat paika, kus saaks potentsiaalselt kasutada pump-hüdroakumulatsiooni elektriajaamade süsteeme. (Enamuses neist asuvad juba praegu hüdroelektrijaamad.) Kui kümnel neist oleks sama potentsiaal kui eelmises, Loch Sloy näites, saaksime salvestada 400GWh – kolmandiku meie eesmärgiks olnud -st gigavatt-tunnist.

Võiksime uurida Suurbritannia kaarti ning leida teisigi asukohti. Parimateks paikadeks oleks suurte tuuleparkide lähedus. Üheks ideeks oleks ehitada uus kunstlik järv rippuvasse orgu, mille suudmesse tuleks ehitada tamm ning mis lõppeks meres (meri oleks meie „alumine järv“).

Joonis 26.11: Okinawa pump-hüdroakumulatsiooni elektriajaam, mille „alumiseks järveks“ on ookean. Salvestatav energiahulk: 0,2GWh. Foto: J-Power. www.ieahydro.org.

Mõeldes veelkord kastist väljaspool, võiksime ette kujutada, et ei kasuta mitte ainult järvi ja reservuaare, vaid asetaksime pool meie ehitisest maa-alusesse kambrisse. Londoni all, ühe kilomeetri sügavusel asuva pump-hüdroakumulatsiooni elektrijaama idee on juba välja käidud.

Lisa pump-hüdroakumulatsiooni elektrijaamade ehitamise abil saaksime oma maksimaalset energiasalvestussüsteemi suurendada -lt gigavatt-tunnilt kuni või isegi gigavatt-tunnini. Kuid meie soovitud 1200GWh saavutamine paistab väga keeruline.

Õnneks leidub veel üks lahendus.

Tarbimise haldamine elektrisõidukite abil

Kordame veelkord üle meie nõudmised: me sooviksime salvestada või siis kaotada ligikaudu 1200GWh, mis tähendab inimese kohta, ning hakkama saada tootmise muutuskiirusega kuni ehk 0,5kW inimese kohta. Need numbrid on oma suuruselt meeldivalt sarnased elektriautode energia- ja võimsusvajadustele. Peatükis Parem transport kirjeldatud elektriautode energiasalvestus jäi kuhugi ja 53kWh vahepeale. miljoni elektriauto suurune riiklik sõidukipark hoiaks endas energiat, mis oleks sarnane kilovatt-tunniga inimese kohta! Keskmine akulaadija neelab energiat võimsusega kuni . Seega tähendab see, et miljoni akulaadija üheaegne sisselülitamine on võrdne ligikaudu 60GW suuruse muutusega tarbimises! Kui kogu riigi transport oleks elektriline, oleks selle käimashoidmiseks vajatav keskmine võimsus või 50GW. Peatükis Parem transport kirjeldatud elektriautode kasutuselevõtu ning ligikaudu -gigavatise võimsusega tuuleenergia (mis toodab keskmiselt ) rajamise vahel on tuntav side.

Üks võimalus selle sideme ära kasutamiseks on torgata elektriautode pistik „tarkadesse laadijatesse,“ nii kodus kui ka tööl. Need targad laadijad oleksid teadlikud nii elektri hetkehinnast kui ka auto kasutaja nõudmistest (nt: „Minu auto peab olema hommikul kella -ks täielikult laetud“). See laadija vastaks tarbija nõudmistele mõistlikult, kasutades elektrit alati, kui tuul puhub, ning lülitades end välja, kui tuulekiirus langeb või muu tarbimine elektrivõrgus suureneb. Need targad laadijad oleksid elektrivõrgu tasakaalustamisel väga kasulikud – need oleksid lausa majanduslikult tulusad.

Kui nende autode akud oleksid vahetatavad, oleks meil tegu veel eriti robustse lahendusega. Kujutage ette, et sõidate laadimisjaama ning vahetate oma tühjad akud lihtsalt täislaetud akude vastu välja. Laadimisjaam vastutaks akude laadimise eest – nad saaksid seda teha täiuslikul ajahetkel, lülitades oma laadijaid sisse-välja ning hoides seega tootmist ja tarbimist alati tasakaalus. Väljavahetatavate laadijate kasutamine oleks eriti robustne, sest laadimisjaamade laos oleks alati miljoneid lisaakusid. Need lisaakud oleksid tagavaraks ajal, mil tuul ei puhu. Mõned inimesed ütleksid: „Jube. Kuidas ma saan lasta laadimisjaamadel minu akude eest hoolt kanda? Mis saab siis, kui nad mulle mõne viletsa aku annavad?“ Samamoodi võiksime ka praegu küsida: „Mis siis, kui mulle antakse tanklast bensiini, millesse on lisatud vett?“ Mina ise näiteks kasutaksin palju parema meelega masinat, mille eest on hoolt kandnud professionaal ja mitte mõni minusugune looder!

Vaatame veelkord oma valikud üle. Me saaksime muutlikku tarbimist ning tootmist tasakaalustada, lülitades elektri tootjaid (näiteks prügipõleteid ja hüdroelektrijaamasid) sisse-välja, salvestades kuidagimoodi energiat  ning seda vajadusel taastootes, või siis tarbimise sisse-välja lülitamise abil.

Skaala vaatepunktist on kõige paljulubavamaks lahenduseks elektriautode tarbimise (laadimise) sisse-välja lülitamine. miljonit autot, mille akud annavad (neist mõned asuvad laadimisjaamade riiulitel), moodustavad kokku 1200GWh. Kui ka kaubatransport oleks elektriline, oleks kogu salvestatav energiahulk veelgi suurem.

Seega on elektrisõidukite ja tuuleelektri vahel kaunis mugav side. Kui me võtame kasutusele üha rohkem elektriautosid ning ehitame samaaegselt juurde tuuleparke – ligikaudu 3000 uut sõidukit iga tuulegeneraatori kohta – ning veendume, et kõik laadimisjaamad on „targad,“ aitaks see sünergiline lahendus meil tuulenergia kõikumise probleemi lahendada. Kui minu ennustus vesinikautode kohta on vale ning vesinikautod saavad tõepoolest olema tulevikuautod, saaksime juba kirjeldatud elektriautode-tuule süsteemi muidugi asendada vesinikautode-tuule süsteemiga. Tuulegeneraatorid toodaksid elektrit ning alati, kui elektrit on piisavalt, toodetaks vesinikku ning see salvestatakse vastavates konteinerites hilisemaks kasutamiseks – seda nii autodes kui ka muudes rakendustes, näiteks klaasi tootmises.

Teised tarbimise kontrollimise ning energia salvestamise ideed

Räägime nüüd aga veel mõningatest tarbimise kontrollimise ning energia salvestamise lahendustest.

Idee tootmiskiiruse muutmisest vastavalt taastuvenergiaallika hetkevõimsusele pole uus. Mitmed alumiiniumit tootvad tehased asuvad hüdroelektrijaamade läheduses – mida rohkem vihma sajab, seda rohkem alumiiniumit toodetakse. Alati, kui energiat kasutatakse selliste asjade tootmisel, mida saab hoiustada, saaksime energiatarbimist targalt sisse-välja lülitada. Näiteks on pöördosmoosisüsteemid (milles mereveest toodetakse puhast joogivett) mitmetes riikides väga suurteks energiatarbijateks (mitte Suurbritannias). Teiseks hoiustatavaks tooteks on soojus. Kui me muudaksime hoonete kütte- ja jahutussüsteemid, eriti vee- ja õhu kütmise, elektriliseks (nagu peatükis Nutikam kütmine kirjeldasime), oleks meie vooluvõrgus suurel hulgal kergesti sisse-välja lülitatavaid tarbijaid. Hea isolatsiooniga hooned hoiavad oma soojust mitme tunni jooksul, mistõttu nende kütmise ajastamine on üpriski paindlik. Lisaks võiksime hoonetesse lisada suuri soojusreservuaare ning kasutada soojuspumpasid, et rikkalikul hulgal elektrienergia olemasolu ajal soojust reservuaari või sellest välja pumbata. Ning seejärel võiksime kasutada veel järgmisi pumpasid, et soojust või jahedat õhku reservuaaridest neisse kohtadesse pumbata, kus parasjagu sooja või jahedat õhku tarvis läheb.

Elektritarbimise automaatne kontroll oleks lihtne. Kõige lihtsamaks lahenduseks oleks kasutada seadmeid, nagu näiteks külmkapid ja sügavkülmutusseadmed, mis „kuulaksid“ vooluvõrgu sagedust. Kui vooluvõrgus on parajasti liiga vähe elektrit, langeb vooluvõrgu sagedus oma tavaväärtusest () madalamale. Kui elektrit on liiga palju, tõuseb sagedus üle . (See on just nagu jalgratta dünamo: kui lülitame tuled sisse, tuleb lisaenergia tootmiseks pedaale tugevamini sõtkuda – kui seda mitte teha, liigub jalgratas aeglasemalt.) Saaksime külmkapid ehitada nii, et nende sisemine termostaat muudaks oma seadistust vastavalt vooluvõrgu sagedusele ilma teie võipaki temperatuuri ohtu seadmata: külmkapp neelaks energiat vaid siis, kui see vooluvõrku aitab.

Kas nõudluse kontrollimine aitab meid suure hulga virtuaalse energia salvestamisega? Kui suureks energiat tarbivaks mustaks auguks meie riigi külmkapid on? Keskmine sügavkülmutiga külmkapp tarbib ligikaudu 18W. Eeldame, et meie riigis on miljonit külmkappi. Seega tähendaks hetkeline kõigi külmkappide välja lülitamine paariks minutiks 0,54 gigavatist automaatselt reguleeritavat võimsust. See on päris palju elektrienergiat – rohkem kui riiklikust kogutarbimisest – ning on võrreldav energiahulgaga, mis kulub siis, kui kõik inimesed religioosseteks toiminguteks (näiteks mõne telesarja vaatamise ajal) oma teekannud üheaegselt sisse lülitavad. Selline televisiooni poolt tekitatav tõus suurendab energiatarbimist 0,60,8 gigavati võrra. Külmkappide automaatne välja lülitamine peaaegu tasakaalustaks need igapäevased teekannu kasutamise hetked. Sellised targad külmkapid aitaksid meil saada hakkama ka tuuleenergia lühiajaliste muutustega. Kõige pühamate televisiooniprogrammide (näiteks Inglismaa ja Rootsi vahelise jalgpallimatši) jälgimisega seotud elektritarbimise järsk tõus võib ulatuda kuni gigavatini. Sellises olukorras hoitakse elektritarvet ning -toodangut tasakaalus tänu Dinorwigi kogupotentsiaali valla laskmisele.

Et elektrivõrgustik (milles pidevalt elektrijaamade tootlikkust üles-alla keritakse) oleks veidi paindlikum, on mitmed elektrit tööstuslikult kasutavad kliendid erilise lepingu all, vastavalt millele tohivad elektrivõrgustiku insenerid nende tarbimise väga lühikese etteteatamise järel välja lülitada. Lõuna-Aafrika Vabariigis (kus elektrit on pidevalt puudu), paigaldatakse sadadesse tuhandetesse kodudesse raadio teel kontrollitavad tarbimist haldavad süsteemid, mis juhivad õhukonditsioneere ning elektrilisi boilereid.

Taani lahendus

Selgitame, kuidas saab Taani hakkama oma tuuleenergia muutlikkusega. Taanlased maksavad raha, et kasutada energia salvestamiseks teiste riikide hüdroelektrijaamasid. Peaaegu kogu Taani tuuleenergia eksporditakse tema naaberriikidesse, millest osadel on hüdroelektrijaamad, mida saab sissetuleva energia tasakaalustamiseks välja lülitada. Salvestatud hüdroenergia müüakse järgmise tuulevaikse kuid kõrge tarbimisega perioodi ajal Taanile tagasi (kõrgema hinnaga). Üldiselt annavad Taani tuulepargid kasulikku energiat ning kogu süsteem tervikuna on tänu hüdroenergiasüsteemile hästi kindlustatud.

Kas Suurbritannia saaks samuti Taani lahendust kasutada? Meil oleks vaja otsest, suuremahulist ühendust riikidega, millel on suurel hulgal sisse-välja lülitatavaid hüdroelektrijaamasid või siis suurt ühendust üle-Euroopalise elektrivõrgustikuga.

Norra hüdroenergia võimsus on 27,5GW. Rootsil on ligikaudu 16GW ning Islandil on 1,8GW. 2003. aastal tehti ettepanek ehitada Suurbritannia ja Norra vahele -gigavatine kõrgepinge-alalisvoolu ühendus, kuid seda ei teostatud. 2010. aastal ehitatakse Suurbritannia ja Hollandi vahele -gigavatine BritNed ühendus. Taani tuuleenergia võimsus on 3,1GW ning sellel on -gigavatine ühendus Norraga, -gigavatine ühendus Rootsiga ning -gigavatine ühendus Saksamaaga: kogu ekspordi võimsus 2,8GW, mis on ligikaudu võrdne selle tuuleenergia koguvõimsusega. Et olla võimelised eksportima kogu oma lisa-tuulenergia sarnaselt Taanile, oleks Suurbritannial (eeldades tuuleenergia koguvõimsuseks ) vaja umbes -gigavatist ühendust Norraga, -gigavatist ühendust Rootsiga ning -gigavatist ühendust Islandiga.

Kahe võrgustikuga lahendus

Joonis 26.12: Elektritootmine ja -tarbimine Fairi saarel aastatel 1995-96. Kõik numbrid on ühikutes kWh/p inimese kohta. Tootmine on tarbimisest suurem, sest  inimese kohta visati minema.

Üheks radikaalseks lahenduseks on asetada tuuleenergia ning teised muutliku tootlikkusega energiaallikad eraldiseisvasse elektrivõrgustikku, mida kasutataks selliste süsteemide töös hoidmiseks, mis ei vaja usaldusväärset energiaallikat: kütmine ja elektrisõidukite laadimine.

Šotimaal asuval Fairi saarel (elanike arv , pindala 5,6km2) on juba üle aasta (alates 1982. aastast) kasutatud kahte elektrivõrgustikku, mis jagavad kahe tuulegeneraatori ning vajadusel ka diiselgeneraatori abil toodetud energiat. Ühe võrgustiku abil jagatakse elektrit tavalisteks tarbimisvajadusteks ning teise abil elektrikütteks. Elektrikütteks vaja minev energia tuleb tavaliselt tuulegeneraatorite poolt toodetud lisaenergiast, mis muidu tuleks minema visata. Kogukonna üksikutes majades asuvad kaugjuhitavad programmeeritavad seadmed, mis kontrollivad boilerite ja küttemahutite tööd. Elektrivõrgustiku sagedus ütleb kütteseadmetele, millal need võivad end sisse lülitada. Tegelikult on igas majapidamises kuni seitse sageduskanalit, mistõttu süsteem töötab justkui seitsme võrgustikuga. Fairi saarel prooviti edukalt kasutada ka kineetilist energiat salvestavat süsteemi (hooratas), et salvestada tuulekiiruse kõikumise jooksul sekundiks energiat.

Elektrisõidukid kui generaatorid

Kui kõik miljonit elektrisõidukit oleks selleks valmis, saaksime riikliku elektrinappuse korral nende laadijaid tagurpidi jooksutada ning elektrit tagasi võrku anda. Kui saaksime iga sõiduki kohta 2kW, oleks see potentsiaalne energiahulk 60GW – see on lähedal kogu meie riigi elektrijaamade tootlikkusele. Isegi kui vaid kolmandik kõigist elektriautodest oleks korraga ühendatud ja saadaval, annaksid need kokku 20GW energiat. Kui igaüks neist sõidukitest annetaks hädaolukorras energiat – see vastab ligikaudu protsendile nende mahtuvusest – oleks kogu võrgustikku tagasi antav energiahulk 20GWh: kaks korda rohkem kui Dinorwigi pump-hüdroakumulatsiooni elektrijaamas salvestatav energiahulk.

Teised salvestustehnoloogiad

Energia salvestamiseks leidub mitmeid viise ning nende efektiivsuse hindamiseks on mitmeid kriteeriume. Joonisel 26.3 on toodud kolm kõige olulisemat kriteeriumi: energiatihedus (kui palju energiat salvestatakse salvestussüsteemi iga kilogrammi kohta), efektiivsus (kui palju energiat saab süsteemi pandud energiast tagasi) ning eluiga (mitu energiasalvestustsüklit saab kasutada enne, kui süsteemi on vaja parandada). Teisteks olulisteks kriteeriumiteks on: kiirus, millega saab energiat salvestussüsteemist sisse või välja pumbata (väljendatakse ühikutes W/kg), aeg, kui kaua energia süsteemis salvestatuna püsib; ning muidugi ka süsteemi maksumus ja ohutus.

Hoorattad

Joonis 26.13: Üks kahest Culhami eksperimentaalrajatises asuvast hoorattast selle ehituse ajal. Foto: EFDAJET. www.jet.efda.org

Joonisel 26.13 on näitatud tohutusuur hoorattas, mida kasutatakse ühes eksperimentaalrajatises lühiajaliseks energiatoodanguks võimsusega 0,4GW. See kaalub tonni. Kiirusega 225 pööret minutis suudab see salvestada 1000kWh ning selle energiatihedus on ligikaudu 1Wh/kg.

Võidusõiduautos energia salvestamiseks mõeldud hooratta süsteem suudab salvestada 400kJ () energiat ning kaalub 24kg. See teeb energiatiheduseks 4,6Wh/kg.

Suurte kiiruste jaoks mõeldud hoorattad on valmistatud komposiitmaterjalidest ning nende energiatihedus ulatub kuni vatt-tunnini kilogrammi kohta.

Joonis 26.14: Salvestussüsteemide ja kütuste mõningad omadused. (a) Energiatihedus (logaritmilisel skaalal) versus eluiga (tsüklite arv). (b) Energiatihedus versus efektiivsus. Energitihedused ei sisalda energiasüsteemide konteinerite massi, välja arvatud „õhu“ korral (suruõhu-salvestus). Võttes arvesse vesiniku hoidmiseks mõeldud krüogeenilist konteinerit, langeb vesiniku energiatihedus 39000-lt vatt-tunnilt kilogrammi kohta ligikaudu vatt-tunnini kilogrammi kohta.
Tabel 3.12: Mõningate kütuste energiaväärtused (energiatihedused kilogrammi ja liitri kohta) ühikutes ja MJ/L)

Kütus

Energiaväärtus



()

(MJ/L)

propaan

13.8

25.4

bensiin

13,0

34,7

diiselõli (DERV)

12,7

37,9

kerosiin

12,8

37

kütteõli

12,8

37,3

etanool

8,2

23,4

metanool

18,0

bioetanool


21,6

kivisüsi

8,0


küttepuit

4,4


vesinik

39,0


maagaas

14,85

0,04

Tabel 3.13: Mõningade akude energiatihedused (ühikutes Wh/kg). 1kWh=1000Wh

Aku tüüp

Energiatihedus (Wh/kg)

Eluiga (tsüklites)

Nikkel-kaadmium

4580

NiMH

60120

300500

Pliihappe

3050

200300

Liitium-ioon

110160

300500

Liitium-ioon-polümeer

100130

300500

Taaskasutatav leelisaku

Superkondensaatorid

Superkondensaatoreid kasutatakse rakendustes, milles on vaja salvestada väikesel hulgal elektrienergiat (kuni ) kuid milles kasutatakse suurel hulgal töötsükleid ning laadimine peab olema kiire. Näiteks eelistatakse superkondensaatoreid akude asemel regeneratiivse pidurdussüsteemiga sõidukites, sest need peatuvad ja kiirendavad väga tihedasti. Leidub superkondensaatoreid, mille energiatihedus on kuni 6Wh/kg.

Ameerika firma Eestor väidab, et suudab baariumtitanaadi abil valmistada superkondensaatoreid, mille energiatihedus on 280Wh/kg.

Vanaadiumakud

VRB Energiasüsteemid ehitasid Iirimaal asuva Sorne Hill tuulepargi 12MWh energiasalvestussüsteemi. Selle tuulepargi hetketootlikkus on „“ ning seda plaanitakse tõsta „39MW-ni“. (VRB tähendab vanaadium-redoks akut.) See salvestussüsteem kujutab endast suurt „vooluakut,“ redoks-regeneratiivset kütuseelementi ning paari suurt vanaadiumiga täidetud konteinerit selle erinevates olekutes. See salvestussüsteem suudab tuulepargi tootlikkuse kõikumist paari minuti jooksul tasakaalustada, kuid pikim aeg, mille jooksul see suudab välja anda kolmandiku toodangust (tuulevaiksel ajal), on üks tund.

megavatt-tunnine süsteem, mis maksab 480000 dollarit, katab ruutmeetrit ning kaalub 107 tonni. Vanaadium-redoks aku eluiga on rohkem kui tsüklit. Selle laadimine ning tühjendamine toimub samal kiirusel (võrreldes plii-happe akudega, mille laadimine on korda aeglasem). Selle efektiivsus on 7075%, mõlemas suunas. salvestamiseks vajatav ruumala on umbes  -molaarset vanaadiumi väävelhappes (see teeb 20Wh/kg).

Seega on 10GWh salvestamiseks tarvis 500000m3 ( ujumisbasseini) – näiteks meetri kõrguseid mahuteid, mis kataksid 500m×500m suuruse ala.

Vanaadiumipõhise tehnoloogia üles skaleerimine suure (10GWh) pump-hüdroakumulatsiooni elektrijaama jaoks võiks maailma vanaadiumiturule suurt mõju avaldada, kuid pikaajalist vanaadiumi puudust näha ei ole. Praegune maailma vanaadiumitoodang on 40000 tonni aastas. gigavatt-tunnine süsteem vajaks 36000 tonni vanaadiumi – selle saaksime praegu toota umbes aasta jooksul. Hetkel toodetakse vanaadiumi teiste protsesside kõrvaltoodanguna ning maailma vanaadiumiresurssideks on hinnanguliselt 63 miljonit tonni.

„Ökonoomilised“ lahendused

Praeguses maailmas, kus süsinik-heitgaase ei maksustata, peab salvestuslahendus ületama üpriski koleda rahalise tõkke: salvestust saab teeselda, pannes lisanõudlusega hakkama saamiseks tööle lisa-gaasielektrijaamad ning saades lisaenergiast lahti kütmise abil.

Hooajalised kõikumised
Joonis 26.16: Gaasitarve (alumine graafik) ja temperatuur (ülemine graafik) Suurbritannias 2007. aastal.

Kõige pikema ajalise skaalaga tarbimise ja nõudluse kõikumised on hooajalised. Kõige olulisemaks muutuseks on hoonete kütmine, mis tõstab energiatarvet igal talvel. Praegune Ühendkuningriikide maagaasi nõudlus muutub läbi aasta, kusjuures juulis ja augustis on see keskmiselt 36kWh/p inimese kohta ning detsembrist veebruarini 72kWh/p inimese kohta. Ekstreemsetes olukordades ulatub see aga väärtuseni 3080kWh/p inimese kohta (joonis 26.16).

Mõningatel taastuvenergiaallikatel on samuti aastased kõikumised – päikeseenergia on suviti tugevaim ning talviti nõrgeim.

Kuidas saada aga hakkama väga pikaajaliste kõikumistega? Elektrisõidukid ja pumpelektrijaamad ei võimalda salvestada sellisel hulgal energiat. Kasulikuks tehnoloogiaks on kindlasti pikaajaline salvestamine soojusena. Suur kivi või suur hulk vett suudab salvestada ühe hoone talviseks kütmiseks kuluva energiahulga. Peatükis Kütmine II kirjeldatakse seda ideed lähemalt. Hollandis hoiustatakse sõiduteedelt suve jooksul saadud soojusenergia talviseks ajaks vees ning tarnitakse hoonetesse soojuspumpade abil [2wmuw7].

Märkused ja edasine lugemine

Iiri vabariigi tuuleparkide kogutoodang. Andmed: eirgrid.com [2hxf6c].

„Tuulevaikus Teksases tähendab elektrivõrgu hädaolukorda“. [2l99ht] Tegelikult järeldasin mina sellest artiklist, et kuigi see olukord oli ebatavaline, oli tegu elektrivõrgustiku normaalse tööga. Elektrivõrgustikus on tööstuslikud kliendid, kelle tarbimist saab vajadusel vähendada olukorras, kus tarbimine ja nõudlus pole tasakaalus. Tuuleenergia toodang langes 1,4GW ning samaaegselt tõusis teksaslaste nõudlus 4,4GW võrra, viies nõudluse ja tarbe suurde nihkesse. Tarbimist vähendati, sest selle vähendamine oli lubatud. Kõik töötas nii, nagu pidi.

Toon veel ühe näite olukorrast, kus elektrisüsteemi parem planeerimine oleks olukorda aidanud: „Hispaania tuuleenergia rekord, planeeritakse vähendamist.“ [3x2kvv] Hispaania keskmine energiatarve on 31GW. 2008. aasta 4. märtsil tootsid selle tuulegeneraatorid . „Hispaania elektriturg on tuulemuutuste suhtes eriti tundlik.“

Tuuleenergia pooldajad proovivad seda probleemi aga peita: „Ärge muretsege – üksikud tuulepargid võivad tõepoolest muutlikud olla, kuid nende kõigi kogutoodangut koos vaadates on tuuleenergia palju usaldusväärsem.“ Vaadake näiteks veebilehte yes2wind.com, mille leheküljel „Lükkame ümber müüdi, mille kohaselt tuuleenergia pole usaldusväärne“ kinnitatakse, et „kõikumine üle kogu riigi asuvate tuuleparkide toodangus on peaaegu märkamatu.“ www.yes2wind.com/intermittency debunk.html

Tõepoolest on tuul muutlik – seda ka siis, kui liidame kokku kõikide üle kogu riigi asuvate tuulegeneraatorite toodangu. Ühendkuningriigid on veidi suurem kui Iirimaa, kuid probleem kehtib ka seal. Allikas: Oswald et al. (2008).

Joonis 26.17: Suurbritannia pump-hüdroakumulatsiooni elektrisüsteemide efektiivsus.

Dinorwigi salvestussüsteemi efektiivsus on . Joonisel 26.17 on toodud selle andmed. Lisainformatsioon Dinorwigi ning alternatiivsete pump-hüdroakumulatsiooni elektrijaamade asukohtade kohta: Baines et al. (1983, 1986).

Tabel. Vajalik töömaht arvestatakse samba kõrgusest järgnevalt: kui  on energiamuundamise (potentsiaalsest energiast elektrienergiaks) efektiivsus,

kus on vee tihedus ning  on gravitatsioonikiirendus. Eeldasin, et generaatorite efektiivsus on ε=0,9.

Tabel, pump-hüdroakumulatsiooni elektrijaamade alternatiivsed asukohad. Väljakäidud Bowydd jaama ülemiseks reservuaariks oli Llyn Newydd, koordinaatidega SH 722 470; Croesori jaoks: Llyn Cwm-y-Foel, SH 653 466.

Kui kümnel Šoti pump-hüdroakumulatsiooni elektrijaamal oleks sama potentsiaal mis Loch Sloy'l, saaksime salvestada 400 GWh energiat. Seda ümmargust hinnangut toetab Strathclyde Ülikooli uuring [5o2xgu], milles kirjeldatakse 14 asukohta, mille hinnanguline salvestusvõimekus on kokku 514GWh.

...külmkapid ja sügavkülmutusseadmed, mis „kuulaksid“ vooluvõrgu sagedust. [2n3pmb] Veel linke: Dynamic Demand www.dynamicdemand.co.uk; www.rltec.com; www.responsiveload.com.

Lõuna-Aafrika Vabariigis ... paigaldatakse sadadesse tuhandetesse kodudesse raadio teel kontrollitavad tarbimist haldavad süsteemid. Allikas: [2k8h4o]

Peaaegu kogu Taani tuuleenergia eksporditakse tema naaberriikidesse. Allikas: Sharman (2005).

Fairi saarel on juba üle aasta (alates 1982. aastast) kasutatud kahte elektrivõrgustikku. www.fairisle.org.uk/FIECo/ Tuulekiirused jäävad enamiku ajast 316m/s vahele; kõige tavalisemaks kiiruseks on 7m/s.

Joonis 26.14: Salvestamise efektiivsused. Liitium-ioon akud: 88 efektiivsus. Allikas:  www.national.com/appinfo/power/files/swcap eet.pdf

Plii-happe akud: 85.95%. Allikas:  www.windsun.com/Batteries/Battery FAQ.htm

Suruõhu salvestus: 18% efektiivsus. Allikas: LemofouetGatsi ja Rufer (2005); Lemofouet-Gatsi (2006). Vt ka Denholm et al. (2005).

Joonis 26.18: Potentsiaalne asukoht veel ühe 7GWh pump-hüdroakumulatsiooni elektrijaama jaoks. Croesori org asub vasakul keskel, vasakpoolse terava tipu (Cnicht) ning parempoolsete laiemate tippude (Moelwyns) vahel.

Õhk/õli: hüdraulilised akumulaatorid, mida kasutatakse veokite regeneratiivsetes pidurdussüstemides, on suruõhu seadmed, mille mõlemasuunaline efektiivsus on kuni ning mis võimaldavad püüda kinni kuni 70% kineetilisest energiast. Allikad: Lemofouet-Gatsi (2006) [5cp27j].

Tabel. Allikad: Xtronics xtronics.com/reference/energy density.htm; Battery Ülikool [2sxlyj]; Hooratta informatsioon: Ruddell (2003).

Viimase aja kõrgeima energiatihedusega akud on liitium-väävel ning liitium-sulfiid akud, mille energiatihedus on 300Wh/kg.

Mõned, mitte selgesti mõtlevad entusiastid paistavad perioodilisustabelis üles poole liikuvat ning muutuvad boorientusiastideks. Boori (eeldades, et põletate selle B2O3-ks) energiatihedus on 15000Wh/kg, mis on väga kena. Kuid kujutan ette, et minu välja toodud vesiniku peamised puudused kehtivad ka boori kohta: nii kütuse tootmine (boorist booroksiidiks) kui ka põlemisprotsess oleks energia osas ebaefektiivne.

Vanaadium-vooluakud. Allikad: www.vrbpower.com; Iirimaa tuulepark [ktd7a]; laadimiskiirus [627ced]; ülemaailmne toodang [5fasl7].

Hollandis hoiustatakse sõiduteedelt suve jooksul saadud soojusenergia ...[2wmuw7].

Viis energiaplaani Suurbritannia jaoks
Sissejuhatus

Kui me tahame oma praegusest fossiilkütusesõltuvusest üle saada, peame tegutsema radikaalselt. See tegevuskava peab olema loogiline. See kava peab sisaldama ka poliitilisi ja rahalisi lahendusi. Poliitikat ja majanduslikke aspekte ma selles raamatus ei kajasta, mistõttu kirjeldan ma siinkohal vaid selle plaani tehnilist poolt.

Töötavaid plaane on rohkem kui üks. Selles peatükis toodud lühiülevaadetes on kirjeldatud neist viite. Palun teil neid plaane mitte vaadata kui „autori poolt soovitatavaid lahendusi.“ Minu ainsaks soovituseks on see:

Veenduge, et teie otsused sisaldavad plaani, mis ka tegelikult töötaks!

Igal plaanil on oma tarbimise ja tootmise pool: me peame täpsustama kui palju meie riik tarbib ning kui palju energiat meil tuleb toota. Et vältida nende plaanide liiga suuremahuliseks muutumist kasutan ma järgnevalt meie riiki lihtsustatud kujul: energiat tarbitakse vaid kolmel kujul – transpordis, kütmises ja elektrina. See on küll päris range ülelihtsustus, kuid võimaldab meil erinevaid plaane kiiresti võrrelda. Hiljem on meil muidugi vaja detailseid plaane, kuid praegu oleme me sellest sihtmärgist nii kaugel, et lihtsustamine aitab meil igasugu probleeme paremini näha.

Ma kirjeldan mõningaid plaane, mis minu arvates on Suurbritannia jaoks aastaks 2050 saavutatavad. Kõigi nende tarbimise pool on sama. Rõhutan veelkord, et see ei tähenda, et ma arvaksin, et see on tarbimise jaoks ainuõige lahendus või et tegu on ainsa plaaniga. Ma lihtsalt ei soovi sind saja erineva lahendusega üle külvata. Tootmise poole pealt kirjeldan ma erinevaid plaane, milles kasutatakse erinevaid taastuvenergiaallikad, „puhast kivisütt“ ning tuumaenergiat.

Praegune olukord

Praegune olukord meie lihtsustatud riigis on järgmine: transport (nii inimeste kui ka asjade) kasutab inimese kohta. Enamik sellest energiast on kas bensiini, diisli või kerosiini kujul. Meie õhu ja vee soojendamine kasutab inimese kohta. Hetkel tuleb enamik sellest energiast maagaasist. Tarbitava elektri hulk on 18kWh/p inimese kohta ning selle tootmiseks kasutatakse kütust (kivisütt, gaasi ja tuumaenergiat), andes päevas inimese kohta kuluvaks energiahulgaks 45kWh. Ülejäänud inimese kohta väljub jahutustornide kaudu (25kWh/p inimese kohta) ning hajub võrgustikus ( inimese kohta). Selles praeguses lihtsustatud riigis on energia kogukulu inimese kohta.

Joonis 27.1: Praegune tarbimine inimese kohta meie lihtsustatud Suurbritannias 2008. aastal (kaks vasakpoolset tulpa) ning tuleviku energiatarbimise plaan koos erinevate kütuste võimaliku kombinatsiooniga (kaks parempoolset tulpa). See plaan tähendab, et elektritoodang suureneks 48 kilovatt-tunnini inimese kohta päevas.
Kõigi viie plaani sarnasused

Minu tuleviku lihtsustatud riigis vähendatakse energiatarbimist tänu efektiivsematele transpordi- ja küttetehnoloogiatele.

Kõigi viie energiaplaani transport on peamiselt elektriline. Elektrimootorid on efektiivsemad kui bensiinimootorid ja seega väheneb transpordile kulutatav energiahulk. Ühistransport (mis on samuti peamiselt elektriline) töötab paremini, sobib rohkematele inimestele ning on populaarsem. Eeldasin siinkohal, et transpordi elektriseerimine muudaks selle ligi neli korda efektiivsemaks. Kuid majanduslik kasv vähendab mõningate nende säästude mõju, andes tulemuseks transpordis kulutatava energiahulga vähenemise ligikaudu poole võrra. Siiski leidub mõni ülioluline sõiduk, mida elektrifitseerida ei anna – nende jaoks valmistame ise vedelaid kütuseid (näiteks biodiisel, biometanool või tselluloosil põhinev bioetanool). Transpordis kulutatav energia jaotub järgnevalt: elekter 18kWh/p inimese kohta; vedelkütused inimese kohta. Elektrisõidukite akud töötavad kui energiasalvestid, aidates meil elektritoodangu ja -tarbimise kõikumistega paremini toime tulla. Biokütuste tootmiseks vajaminev maa-ala moodustab ligikaudu 12% Suurbritanniast (500m2 inimese kohta) eeldusel, et biokütuse tootmine toimub -protsendilise efektiivsusega ning taimest kütuseks muundamise protsessi efektiivsus on . Kui suudaksime teisi (Walesi-suurusi) riike veenda ohverdama oma põllulappe meie biokütuse tootmiseks, võiks biokütuseid ka importida.

Kõigis viies plaanis vähendatakse kütmise energiatarbimist tänu hoonete paremale isolatsioonile ning temperatuurikontrollile (läbi termostaatidele, harimisele ning sviitrikandmise populariseerimisele seksikate inimeste abil). Uued hooned (kõik alates 2010. aastast) on väga hästi soojustatud ning nõuavad väga vähesel märal õhu kütmist. Vanemaid hooneid (mis aastal 2050. on jätkuvalt enamuses) köetakse peamiselt õhk- ja maasoojuspumpade abil. Osa veeküttest toimub tänu päikesepaneelidele ( ruutmeetrit iga hoone katusel), soojuspumpadele ja elektrile. Mõningaid hooneid, mis asuvad riiklike metsade või energiataimede istanduste läheduses, köetakse biomassi abil. Kütmisele kulutatav energiahulk on seega järgnev: elekter inimese kohta, päikeseenergia abil köetav vesi inimese kohta, puuküte inimese kohta.

Kütmiseks (või kombineeritud kütte- ja elektrienergiaks) kasutatav puit pärineb lähedalasuvatest metsadest ning energiataimedest (võib-olla siidpööris, paju või pappel), mis katavad -ruutkilomeetrise ala (500m2 inimese kohta). See vastab -protsendile Suurbritannia põllumaast, mis hetkel on 2800km2 inimese kohta. Energiataimi kasvatatakse peamiselt madalama viljakusega pinnases, jättes paremad maalapid toiduainete kasvatamiseks. Iga 500m2 energiataimi annab aastas ahjukuiva tonni, mille energiasisaldus on ligikaudu 7kWh/p. Sellest ligikaudu hajub soojusena ning transpordis. Lõplik tarbijani tarnitav kütteenergia hulk on .

Nendes plaanides eeldan ma, et praegu kehtiv elektritarbimine igasugu vidinate, valgustuse ja muu jaoks jääb samaks. See tähendab, et meil on jätkuvalt tarvis 18kWh(e) elektrit inimese kohta päevas. Jah, valgustuse efektiivsus muutub tänu LED-valgustitele üleminemisele ning ka muud vidinad muutuvad efektiivsemateks, kuid tänu majanduslikule kasvule suureneb vidinate hulk meie elus: näiteks aitavad videokonverentse võimaldavad seadmed meil vähem reisida.

Selle plaani kohaselt suureneb elektri kogutarve (tänu elektritranspordile, mis nõuab 18kWh/p inimese kohta, ning soojuspumpadele, mis neelavad inimese kohta) väärtuseni inimese kohta (ehk riiklikul tasemel). See tähendab Suurbritannia elektritarbe suurenemist ligi kolme korra. Kust peaks see energia tulema?

Kirjeldame mõningaid alternatiive. Mitte kõik nendest lahendustest pole selle raamatu kohaselt „jätkusuutlikud,“ kuid kõik need on väikese süsinik-jalajäljega plaanid.

Elektritoodangu komponendid

Suure hulga energia tootmiseks kasutavad kõik plaanid mingil määral nii vees kui ka maapinnal asuvaid tuulegeneraatoreid, päikesepaneele (seehulgas ka teistest, kõrbetega riikidest toodud päikeseenergiat), prügipõletusest (nii olme- kui ka põllumajandusjäätmetest) saadavat energiat, hüdroenergiat (praegusega samal määral), võib-olla lainete energiat, paiseid, laguune ning loodete energiat. Lisaks võib-olla ka tuumaenergiat ja ehk veidi „puhtaid fossiilkütuseid“ (süsinikku püüdvates ning salvestatavates elektrijaamades põletatavat kivisütt). Kõigi plaanide eesmärgiks on toota keskmiselt inimese kohta – sain selle arvu, kui ümardasin keskmise nõudluse väärtuseni inimeste kohta, arvestades võimalikke kadusid jaotusvõrgustikus.

Mõned järgnevatest lahendustest kasutavad teistest riikidest imporditavat elektrienergiat. Võrdlusena võib olla kasulik teada, kui palju me hetkel elektrit impordime: 2006. aastal importis Suurbritannia päevas inimese kohta 28kWh (23% protsenti põhitarbimisest). Selles impordis on kaalukaimateks osadeks kivisüsi (18kWh/p inimese kohta), toornafta ( inimese kohta) ning maagaas (6kWh/p inimese kohta). Tuumakütust (uraani) tavaliselt impordi alla ei loeta, sest see on kergesti salvestatav.

Joonis 27.2: Prügienergiajaamad Suurbritannias. Joonega on näidatud keskmine energiatoodang eeldusel, et ühest kilogrammist prügist saab toota elektrit.

Kõigis viies plaanis eeldasin, et olmeprügi põletamine suureneb, sest kogu taaskasutamiseks mittekõlbav praht läheb põletamisele ning mitte prügilasse. Kui põletada päevas ühe inimese kohta prügi, saab toota ligikaudu elektrit. Eeldan, et samas koguses põletatakse ka põllumajanduslikke jäätmeid, tootes lisaks inimese kohta. Sellises mahus prügi põletamine eeldab prahist-energiaks protsessi võimsuseks umbes 3GW: selleks oleks tarvis 2008. aasta seisuga töötavate prügipõletusjaamade hulka kümnekordistada (joonis 27.2). miljoni elanikuga Londoni jaoks peaks eksisteerima kaksteist 30-megavatist prügielektrijaama, just nagu Lõuna-Londonis asuv SELCHP. miljoni elanikuga Birminghami jaoks oleks vaja kaks sellist jaama. Iga 20000 elanikuga linn vajaks ühte -megavatise võimsusega prügielektrijaama. Kõik kartused, mille kohaselt sellisel hulgal prügi põletamine on kas keeruline, räpane või ohtlik, peaksid joonise 27.3 abil kaduma – jooniselt nähtub, et mitmed Euroopa riigid põletavad palju suuremal hulgal prahti kui Suurbritannia. Nende põletamist armastavate riikide hulka kuuluvad Saksamaa, Rootsi, Taani, Holland ja Šveits – tegu pole riikidega, milles hügieen oleks probleemiks! Selle prügi põletamisega kaasnevaks kasulikuks kõrvalmõjuks on fakt, et see elimineerib võimalike tulevikuprügilate metaanireostuse.

Joonis 27.3: Prügilas lõpetava ning põletatava olmeprügi hulk riigiti kilogrammides inimese kohta päevas. Taaskasutatava ning prügilas lõpetava või põletatava prügi hulk. Taastöödeldava prügi hulk on toodud protsendina riigi nime kõrval.

Kõigi viie plaani korral panustab hüdroelekter inimese kohta – sama, mis praegu.

Elektrisõidukeid kasutatakse elektrivõrgustiku tarbimise dünaamiliseks reguleerimiseks. Elektriauto laadimiseks vajalik energiahulk on keskmiselt 45GW (18kWh/p inimese kohta). Seega saab taastuvenergiaallikatest tulenevaid kõikumisi selle energiahulga vähendamise või suurendamise abil tasakaalustada (juhul, kui kõikumised pole liiga suured või pikaajalised). Päevane elektritarbe kõikumine saab olema suurem kui praegu, sest toidutegemisel ning kütmisel asendatakse gaas elektriga (joonis 26.16). Et kindlustada hakkamasaamine -gigavatiste ning rohkem kui tundi kestvate kõikumistega, ehitatakse kõikide plaanide korral viis uut Dinorwigi-sarnast pump-hüdroakumulatsiooni elektrijaama (või siis lisatakse olemasolevatele hüdroelektrijaamadele pump-akumulatsiooni tehnoloogia). 50GWh salvestust on võrdne viie Dinorwigiga, kui neist igaühe võimsus on . Mõnes järgnevatest plaanidest on vaja veelgi rohkem pump-akumulatsiooni süsteeme. Lisakindlustusena ehitatakse kõikide plaanide korral Norra ja Suurbritannia vahele -gigavatise võimsusega elektriühendus.

Toodame hästi palju elektrit – Plaan K

Plaan K (milles „K“ tähistab „koduste vahendite küllust“) kasutab suurel hulgal kõiki meie olemasolevaid energiaallikaid ning sõltub vaid vähesel määral teiste riikide energiatoodangust.

Nii saab plaan K oma inimese kohta: tuuleenergia 8kWh/p inimese kohta (keskmine toodang 20GW, maksimaaltoodang 66GW pluss vastavalt umbes 400GWh võimsusega pump-hüdroakumulatsiooni jaamasid), päikeseenergia inimese kohta, prügipõletid 1,3kWh/p inimese kohta, hüdroelekter inimese kohta, lainete energia , loodete energia 3,7kWh/p inimese kohta, tuumaenergia inimese kohta (koguvõimsus 40GW), „puhas kivisüsi“ inimese kohta (koguvõimsus 40GW).

Et saada 8kWh/p inimese kohta, tuleb meil 2008. aasta seisuga olemasolevat tuuleenergia võimsust suurendada korda. Suurbritannial oleks ligikaudu kolm korda rohkem tuuleenergia-riistvara kui Saksamaal praegu. Sellisel hulgal uute tuuleparkide rajamiseks rannikuvetesse oleks tarvis ligikaudu spetsiaalset tõstuk-praami.

Päikesepaneelide abil saamiseks päevas inimese kohta on meil vaja iga inimese kohta ruutmeetrit -protsendilise efektiivsusega paneele. Enamik lõunapoolseid katuseid oleks paneelidega täielikult kaetud. Teiseks, ökonoomsemaks ning vanasid hooneid kaitsvate organisatsoonide suhtes sõbralikumaks võimaluseks, oleks paigaldada suur hulk selliseid paneele maapiirkondadesse vastavalt traditsioonilisele Bavaaria meetodile (joonis 6.7).

Joonis 27.4: Plaan K

Prügi põletamine peab toimuma hulgal, mis vastaks ühele kilogrammile ühe inimese olmeprahile (tootes inimese kohta) ning sarnasele hulgale põllumajandusjäätmetele (tootes inimese kohta). Hüdroelektri abil toodetakse   inimese kohta, mis on sama mis praegu.

Lainete energia kasutamine tähendaks 16000 Pelamise veealust seadet, mis hõlmaks 830 kilomeetrit Atlandi ookeani rannajoonest (vaata kaarti).

Loodete energia tuleks -gigavatise võimsusega seadmetest, -gigavatise võimsusega Severni paisest ning -gigavatise võimsusega laguunist, mida saab lisaks kasutada ka pump-hüdroakumulatsiooni süsteemidena.

Et toota inimese kohta päevas energiat, on meil vaja 2007. aasta seisuga olemasolevate tuumaelektrijaamade hulka neli korda suurendada. Seega asuksime oma toodangult (inimese kohta) kusagil Belgia, Soome, Prantsusmaa ja Rootsi vahel: nii Belgias kui ka Soomes toodetakse ligikaugu inimese kohta, Prantsusmaal ja Rootsis toodetakse vastavalt 19kWh ning päevas inimese kohta.

Et toota „puhta kivisöe“ abil igapäevaselt inimese kohta (40GW), peaksime võtma kõik olemasolevad kivisöe-elektrijaamad (mis toodavad ligikaudu 30GW), varustama need süsinikku koguvate süsteemidega, mis vähendaks nende tootlikkust -gigavatini, ning ehitama veel gigavati väärtuses uusi, „puhta kivisöe“ tehnoloogiaga elektrijaamu. Sellisel hulgal kivisöepõhist toodangut tähendaks, et inimese kohta läheb igapäevaselt tarvis ligikaudu 53kWh kivisütt, mis on vaid veidi suurem meie praegusest kõigi fossiilkütuste tarbimisest ning palju rohkem kui hulk, mis peatüki Taastuvad fossiilkütused? kohaselt oleks jätkusuutlik. Selline kivisöe tarbimise kiirus on praegusest kivisöeimpordist (18kWh/p inimese kohta) ligi kolm korda suurem. Kui me ei plaani just Suurbritannia kivisöekaevandusi uuesti avada, sõltuks selle plaani kohaselt 32% Suurbritannia elektrist imporditavast kivisöest. Taasavatavad Suurbritannia kivisöekaevandused annaksid vaid umbes 8kWh/p inimese kohta, nii et Suurbritannia poleks igal juhul kivisöe osas vaid endast sõltuv.

Kas mõni selle plaani punktidest on sinu meelest ebaloogiline või vaieldav? Kui nii, siis võib-olla on üks järgmisest neljast plaanist sulle sobivam.

Toodame hästi palju elektrit – Plaan M

Plaan M on nii-öelda „Mitte minu hoovi peal“ plaan inimestele, kellele Briti maapiirkona tööstuslikuks muutmine taastuvenergiaehitistega pole meelt mööda ning kes ei soovi ka uute tuumaelektrijaamade ehitamist. Avaldan selle plaani üksikasjad järk-järgult.

Esimese asjana keerame taastuvenergia nuppu plaani K kõrgest tasemest kohe alla: tuuleenergia inimese kohta (keskmiselt 5 GW), päikeseenergia , loodete energia inimese kohta.

Kaotasime seega just 14kWh/p inimese kohta (35GW kogu riigi jaoks). (Palun ärge saage valesti aru! Tuuleenergia hulk on ikkagi 2008. aasta seisuga võrreldes kaheksa korda suurem!)

Plaan M

Plaani M kohaselt vähendatakse tuumaenergia panus kilovatt-tunnile inimese kohta päevas () – eelmise plaaniga võrreldes on tegu 15-gigavatise vähenemisega, kuid tänase toodanguga võrreldes on see siiski märkimisväärne kasv. tuumaenergiat saaks minu arvates mahutada juba olemasolevatesse tuumaelektrijaamadesse, vältides seega vajadust kellegi hoovi midagi uut ehitada. Jätame puhta kivisöe panuse muutumatuks: inimese kohta (40GW). Hüdroelektri ning prügi põletamise panus jäävad samaks mis plaanis K.

Kust aga saame ülejäänud 50GW? Vastus: „Mitte minu hoovi, vaid kellegi teise hoovi!“ Seega sõltub plaan M teistest, kõrbetega riikidest, kust tuleks importida ligikaudu inimese kohta (50GW).

Selle plaani kohaselt tuleb meil ehitada Vahemere-äärsete riikide kõrbetesse viis päikesepaneelidega kaetud ala, millest igaüks oleks Londoni-suurune (läbimõõduga 44 kilomeetrit). Lisaks peame selle 50 gigavatti energiat kuidagi ka Suurbritanniasse transportima. Praegune kõrgepingeühendus Prantsusmaaga võimaldab meil transportida vaid 2 GW energiat. Seega tuleb plaani M kohaselt seda võimsust 25 korda suurendada. (Või leida mingisugune muu lahendus – võib-olla kõrberannikult Suurbritanniasse seilavad metanooli või booriga täidetud laevad.)

Kuna see plaan näeb ette väiksemal määral tuuleenergiat, pole Suurbritanniasse uusi pump-hüdroakumulatsiooni elektrijaamu ehitada vaja, kuid kuna sõltuksime siiski Päikesest, tuleb meil ehitada mingil hulgal salvestusjaamu, et energiat kõikumiste tarbeks hoiustada. Üheks võimaluseks on kasutada päikesefarmides asuvaid sulatatud soola salvestussüsteeme. Või siis võiksime kasutada Alpides asuvaid pump-hüdroakumulatsiooni jaamasid. Kolmandaks võiksime muundada selle elektri salvestatavaks kütuseks, näiteks metanooliks, kuid energiamuundamisega kaasneb alati mingi kadu ning seega tuleks meil ehitada suuremal hulgal päikesefarme.

Selle plaani kohaselt tuleb 32%+40%=72% Suurbritannia elektrist teistest riikidest.

Toodame hästi palju elektrit – Plaan L
Joonis 27.6: Plaan L

Mõned inimesed ütleksid siiski, et ei soovi tuumaenergiat üldse. Kuidas saame selle soovi rahuldada? Võib-olla peaks see tuumaenergiavastane grupp inimesi proovima veenda „Mitte minu hoovi!“-inimesi, et taastuvenergia meie tagahoovis on siiski hea idee.

Saaksime moodustada täiesti tuumaenergiavaba plaani kui kasutaksime plaani K kõiki taastuvenergiaallikaid oma tagahoovis ning vahetaksime tuumaenergia kõrbe-päikeseenergia vastu. Nagu ka plaanis M, nõuab kõrbest energia meile transportimine Põhja-Aafrika ja Suurbritannia vahele suuremahulist transpordisüsteemi – Euroopa-Ühendkuningriikide energiaühendus peab suurenema -gigavatilt vähemalt -gigavatini.

Selgitagem, kust saab plaan L oma inimese kohta: tuuleenergia 8kWh/p inimese kohta (keskmiselt 20GW) (pluss ligikaudu 400GWh vastavaid pump-hüdroakumulatsiooni jaamasid), Päikese-veeküte inimese kohta, hüdroelekter ja prügi põletamine 1,3kWh/p inimese kohta, lainete energia inimese kohta, loodete energia 3,7kWh/p inimese kohta, „puhas kivisüsi“ inimese kohta (40GW), kõrbe-päikeseelekter inimese kohta (keskmise võimsusega 40GW).

Selle plaani kohaselt imporditakse 64% Suurbritannia elektrist teistest riikidest.

Ma tähistan seda plaani tähega L, sest see vastab üsna hästi liberaaldemokraatide poliitikale – vähemasti oli see nii aastal 2007, mil ma selle peatüki kirjutasin. Viimasel ajal räägivad nad rohkem Suurbritannia tõelisest energia-iseseisvusest ning hiljuti kuulutati välja ka süsinikuneutraalne poliitika, mille kohaselt oleks Suurbritannia isegi energia eksportija. Siiski ei kirjelda nad, kuidas selliste eesmärkideni jõuda.

Toodame hästi palju elektrit – Plaan R
Joonis 27.7: Plaan R

Mõned inimesed ütlevad, et ei soovi ei tuumaenergiat ega ka kivisütt! See kõlab vägagi õilsa eesmärgina kuid selleni jõudmiseks on meil vaja plaani. Tähistan seda plaani tähega R, sest mulle on jäänud mulje, et Roheliste Partei ei soovi ei tuumaenergiat ega kivisütt, kuid arvan, et mitte kõigile rohelistele ei meeldi selle plaani ülejäänud osa. Tean, et Greenpeace armastab tuuleenergiat, mistõttu plaan R on ka neile pühendatud ning sisaldab suurel hulgal tuuleenergiat.

Plaanini R jõuame, kui alustame plaaniga K, milles tõstame lainete energia panuse kilovatt-tunnini inimese kohta päevas (pumbates rohkem raha lainete energia uurimisse ning Pelamise muunduri efektiivsuse tõstmisesse) ning neljakordistame (võrreldes plaaniga K) tuuleenergia panuse kilovatt-tunnini inimese kohta päevas. Seega saame tuulest 64% kogu oma elektrist. Tänase tuuleenergia võimsusega võrreldes on tegu -kordse kasvuga. Selle plaani kohaselt tõuseb kogu maailma tuuleenergia võimsus võrreldes 2008. aasta seisuga neli korda, kusjuures kogu see kasv asuks Briti saartel või selle ümbruses.

Plaani R suur sõltuvus taastuvenergiaallikatest, eriti tuulest, muudab keeruliseks meie peamise nõudmise ja tarbimise haldamismeetodi kasutamise ehk transpordis kasutatavate miljonite taaslaetavate akude laadimise reguleerimise. Seega tuleb selles plaanis lisada märkimisväärsel hulgal uusi pump-hüdroakumulatsiooni jaamasid, mis suudaksid hakkama saada ka päevi kestvate kõikumistega. -le Dinorwigile vastav hulk pump-hüdroakumulatsiooni jaamasid saaks hakkama kaks päeva kestva tuulevaikusega terve riigi tasemel. Sellisteks ehitisteks peaksime kasutama ligikaudu suuremat Briti järve.

Plaani R energia jaotub järgmiselt: tuuleenergia inimese kohta (keskmiselt 80GW) (pluss ligikaudu 4000GWh vastavaid pump-hüdroakumulatsiooni jaamasid), päikesepaneelid inimese kohta, hüdroelekter ja prügi põletamine 1,3kWh/p inimese kohta, lainete energia inimese kohta, loodete energia 3,7kWh/p inimese kohta, kõrbe-päikeseelekter 7kWh/p inimese kohta (17GW).

Selles plaanis imporditakse 14% elektrist teistest riikidest.

Toodame hästi palju elektrit – Plaan Ö
Joonis 27.8: Plaan Ö

Ö tähistab ökonoomsust. See viies plaan on ligikaudu midagi, mis võiks juhtuda liberaalse energiaturu ning kõrgete süsinikumaksude korral. Võrdsel majanduslikul mänguväljakul, milles kõrge maksustamine vähendaks süsinikdioksiidi tootmist, ei eelda me mitmekülgset lahendust erinevate energiahindadega. Selle asemel on meil vaja majanduslikult optimaalset lahendust, mis annab meile vajalikul hulgal energiat madalaima hinnaga. Kui „puhas kivisüsi“ ja tuumaenergia võistlema panna, võidab tuumaenergia. (Ühe Suurbritannia elektrigeneraatori insenerid ütlesid mulle, et tavalise „räpase“ kivisöe kapitalikulu on miljard naela gigavati kohta – ligikaudu sama, mis tuumaenergial – ent „puhta kivisöe“ kapitalikulu, mis sisaldab süsiniku kogumist ning salvestamist, on ligikaudu miljardit naela gigavati kohta.) Eeldan siinkohal, et teiste riikide kõrbetes asuvad päikesepaneelid kaotavad tuumaenergiale, kui võtame arvesse ka vajatavad 2000 kilomeetri pikkused transpordikaablid (kuigi van Voorthuyseni (2008) kohaselt võiksid Noobeli auhinna väärilised avastused keemiliste kütuste tootmises päikeseenergia abil selle seisu võrdsustada). Ka rannikuvetes asuvad tuulepargid kaotaksid tuumaenergiale, kuid eeldasin, et maismaal asuv tuuleenergia maksaks ligikaudu sama palju kui tuumaenergia.

Plaani Ö energia jaotub järgmiselt: tuuleenergia inimese kohta (keskmiselt ), päikesepaneelid , hüdroelekter ja prügi põletamine 1,3kWh/p inimese kohta, lainete energia 0, loodete energia 0,7kWh/p inimese kohta, tuumaenergia 44kWh/p inimese kohta (110GW).

Selle plaani kohaselt tuleks meil 2007. aastaga võrreldes tuumaenergia võimsust tõsta kümme korda. Suurbritannial oleks 110GW, mis on ligikaudu kaks korda rohkem kui Prantsusmaal. Lisasin ka veidi loodete energiat, sest minu arvates suudavad targalt ehitatud laguunsüsteemid tuumaenergiaga konkureerida.

Selle plaani kohaselt ei impordi Suurbritannia energiat (välja arvatud uraan, mida tavaliselt impordiks ei loeta).

Joonisel 27.9 on toodud kõik viis plaani.

Joonisel 27.9: Kõik viis plaani.
Need plaanid vs süsiniku kogumine ja lennuliiklus

Tulevikumaailmas, kus süsinikureostus on katastroofilise kliimamuutuse vältimiseks kõrgelt maksustatud, huvitavad meid igasugused sellised energiaplaanid, mille abil saame odavalt lisasüsiniku maapinda tagasi panna. Sellised süsinik-neutraalsed skeemid võimaldaksid meil lennata samal hulgal nagu aastal 2004 (kuniks meil naftat jätkub). 2004. aastal oli Suurbritannia lennuliiklusest tulenev reostus ligikaudu 0,5t CO2 inimese kohta aastas. Lisades siia lendamisega seotud kogu kasvuhooneefekti, oleks tegelikuks koguseks umbes 1t CO2e aastas inimese kohta. Kõigis viies plaanis eeldati, et üks kaheksandik Suurbritanniast oleks pühendatud energiataimedele, mida saaksime kasutada nii kütmisel kui ka kombineeritud soojus- ja elektritoodangul. Kui me aga suunaksime kõik need taimed süsinikku koguvatesse ning salvestatavatesse elektrijaamadesse (ehk „puhta kivisöe“ elektrijaamadesse) oleks aastane kogutav süsinikdioksiidi hulk inimese kohta umbes tonn. Kui ka olme- ning põllumajandusjäätmete põletusjaamad asuksid puhta kivisöe elektrijaamades (ning kasutaksid sama korstent), suureneks kogutav süsinikdioksiidi hulk kahe tonnini aastas inimese kohta. Selline ülesehitus tähendaks aga lisakulusid: biomassi ning prügi peaks kaugemale transportima; süsiniku kogumise protsess nõuaks märkimisväärsel hulgal energiat nendest taimedest; kadumaläinud hoonete kütteenergia tähendaks rohkemate õhksoojuspumpade paigaldamist. Kui meie eesmärgiks on aga süsinikneutraalsus, oleks tark ette planeerida ning ehitada puhta kivisöe elektrijaamad koos prügi põletusjaamadega paikadesse, mis asuksid potentsiaalsete biomassikasvanduste läheduses.

1t  vastab sellisele kasvuhoonegaaside emissioonile, mis on võrdne ühe tonni süsinikdioksiidiga.

„Kõik need plaanid on absurdsed!“

Ma pole üllatunud, kui sulle need plaanid ei meeldi. Ma nõustun, et iga plaani juures on midagi, mis just kõige parem ei tundu. Võite vabalt koostada ise mingi plaani, mis rohkem teie meele järele oleks. Veenduge, et see ka tegelikult töötaks!

Võib-olla jõuate järeldusele, et töötav plaan tähendaks väiksemat energiatarvet inimese kohta. Võiksin sellega nõustuda, kuid seda ideed on raske müüa – meenutagem Tony Blairi vastust kellegi soovitusele puhkuse ajal vähem välismaale lennata!

Teise alternatiivina võime jõuda järelduseni, et meie asustustihedus on liiga suur ning et töötav plaan tähendaks vähem inimesi. Jällegi – seda ideed on raske müüa.

Märkused ja edasine lugemine

kilogrammi prügi põletamine annab ligikaudu elektrit.

Olmeprahi kütteväärtus on ligikaudu 2,6kWh kilogrammi kohta; prügi põletavad elektrijaamad toodavad elektrit efektiivsusega ligikaudu . Allikas: SELCHP giid.

Joonise 27.3. Andmed: Eurostat, www.epa.gov ja www.esrcsocietytoday.ac.uk/ESRCInfoCentre/.

Liberaaldemokraatide poliitika. Vt www.libdems.org.uk [5os7dy], [yrw2oo].

Paneme kulud õigesse konteksti
Plaan kaardil

Lubage ma selgitan eelmises peatükis toodud plaanide ulatust Suurbritannia kaardil, millel on toodud ka kuues plaan. See plaan on oma olemuselt viie esimese plaani vahepealne, mistõttu nimetan ma selle plaaniks P (joonis 28.1).

Vajalikud pindalad ning ligikaudne maksumus on toodud tabelis. Lihtsustamise eesmärgil on kulutused arvutatud sarnaste hoonete praeguseid maksumusi silmas pidades – mitmed neist on vaid varased prototüübid ning nende hind langeb tulevikus märgatavalt. Tabelis toodud ligikaudsed hinnad on vaid ehituskulud ning ei sisalda jooksvaid kulutusi või mahakandmisega seotud kulutusi. Ühe inimese kohta käiv kulu on saadud koguhinna jagamisel miljoniga. Pidagem meeles, et tegu pole majandusraamatuga – siis oleks tarvis veel lehekülge teksti! Edastan need hinnangulised kulud vaid selleks, et anda aimu töötava plaani tegelikest oodatavatest kulutustest.

Soovin veel rõhutada, et ma ei poolda just seda plaani – see sisaldab mitmeid omadusi mida mina Suurbritannia diktaatorina ei valiks. Kaasasin meelega kõik olemasolevad tehnoloogiad, et saaksid ise oma plaane teiste kombinatsioonidega võrrelda.

Kui sa näiteks ütleksid, et päikesepaneelid on liiga kallid ning soovid selle asemel kasutada rohkem lainete energiat, siis näed, mida selleks teha tuleb: sa peaksid lainete energiat ammutavate süsteemide hulka suurendama kaheksa korda. Kui sulle ei meeldi tuuleparkide asukohad, võid neid vabalt ringi liigutada (kuid kuhu?). Pea meeles, et mida rohkem neid meie rannikuvetes on seda kulukam see on. Kui tahaksid näha vähem tuuleparke, pole probleemi – vali lihtsalt välja need tehnoloogiad, mida tahaksid nende asemel kasutada. Näiteks võiksid asendada viis -ruutkilomeetrist tuuleparki vaid ühe -gigavatise tuumaelektrijaamaga.

Võib-olla mõtled, et see plaan (nagu ka eelmises peatükis kirjeldatud viis plaani) pühendab ebaproportsionaalselt suure pindala biokütustele. Hea küll: võid seega jõuda otsusele, et vedelkütuste nõudlust transpordis tuleb selles plaanis eeldatud väärtusega ( inimese kohta päevas) võrreldes vähendada. Või siis tuleb vedelkütuseid toota muul viisil.

Joonised 28.1 ja 28.2: Plaan, mis Šotimaa, Inglismaa ja Walesi jaoks ka tegelikult töötaks. Rohekashallid ruudud tähistavad tuuleparke. Neist igaüks on -ruutkilomeetri suurune ning kaardil on need toodud õiges skaalas. Merepinnale märgitud punased jooned tähistavad laineparke, mis on samuti toodud õiges skaalas. Helesinised välgukujulised polügonid tähistavad päikesefarme suurusega ruutkilomeetrit, kaardil on ka need märgitud õige suurusega. Meres asuvad sinised lätakad (Blackpool ja Wash) tähistavad loodete laguune. Helerohelised maalapid: metsad ja lühikese raieringiga madalmetsad (õiges skaalas). Kollakasrohelised alad: biokütus (õiges skaalas). Väikesed sinised kolmnurgad: jäätmepõletusjaamad (vales skaalas). Suured pruunid teemantikujulised sümbolid tähistavad puhta kivisöe elektrijaamasid, milles kasutatakse ka biomassi, süsiniku kogumist ning salvestamist (vales skaalas). Lillad täpid: tuumaelektrijaamad (vales skaalas) – igas asukohas toodetakse keskmiselt 3,3GW. Kollased kuusnurgad üle lahe: kaugetes kõrbetes asuvad koondavad päikesefarmid (õiges skaalas, neist igaühe pindala on 335km2). Lillad kriipsud Prantsusmaal tähistavad uusi -kilomeetri pikkuseid kõrgepinge-alalisvooluliine, mis tarnivad 40GW energiat kaugetest kõrbetest Suurbritanniasse. Šotimaal asuvad kollased tähekesed: uued pump-hüdroakumulatsiooni elektrijaamad. Punased tähekesed: olemasolevad pump-hüdroakumulatsiooni elektrijaamad. Sinised täpid: sooja vee tootmiseks mõeldud päikesepaneelid kõigil katustel.
Kui palju maksab üleminek fossiilkütustelt taastuvatele energiaallikatele?

Iga tuulepargi ehitamine maksab paar miljonit naela ning toodab paar megavatti. Ümmarguselt võib 2008. andmete põhjal öelda, et ühevatise võimekuse ehituskulu on üks naelsterling. Üks kilovatt maksab seega naela ning üks megavatt miljon naela. Üks gigavatt tuumaenergiat maksab aga ligikaudu miljard või kaks. Teised taastuvenergiaallikad on veelgi kallimad. Kokku tarbime me (Ühendkuningriigid) ligikaudu 300GW, enamuse millest moodustavad fossiilkütused. Seega võime oodata, et täielik üleminek fossiilkütustelt taastuvenergiaallikatele ja/või tuumaenergiale tähendaks ligikaudu 300GW ulatuses taastuvaid energiaallikaid ja/või tuumaenergiat ning maksaks ligikaudu miljardit naela. Tabelis toodud ligikaudsed väärtused annavad tulemuseks 870 miljardit naela ning selles domineerivad päikeseenergia rajatised – paneelid maksavad miljardit naela ning päikesevalgust koondavad elektrijaamad 340 miljardit naela. Need hinnad võivad aja jooksul muidugi langeda, sest leiutatakse uusi ning paremaid tehnoloogiaid. 2007. aastal ajalehe The Guardian poolt lekitatud valitsuse raportis on toodud hinnang, mille kohaselt protsendini (st kogu meie energiast pärineks taastuvenergiaallikatest; praegusega võrreldes suureneks taastuvenergia hulk 80GW võrra) jõudmine aastaks 2020 maksaks kuni miljardit naela (keskmiselt miljardit naela aastas). Kuigi see hinnang on väiksem kui äsjamainitud rusikareeglist lähtub, paistavad raporti autorid pidavat miljardit ebareaalseks, soovitades meil eesmärgiks võtta taastuvenergiaallikaid. (Teine põhjus, miks neile „ aastaks 2020“ eesmärk ei meeldi, on fakt, et vähenevate kasvuhoonegaaside hulk muudaks Euroopa Liidu saastekvootide süsteemi mõttetuks. Kui hirmus mõte!)

Plaani P jaoks tarvis mineva maa- ning merepinna maksumused on vaid hinnangulised. Küsimärgiga hinnad kehtivad tehnoloogiatele, mille jaoks täpne hind puudub (tegu on vaid prototüüpidega). „1GW(se)“ tähistab 1GW soojusenergiat.

Tabel 3.14 Ligikaudsed hinnad taastuvenergiaallikatele üleminekuks


Võimsus

Ligikaudne kogumaksumus

Inimese kohta

Keskmine energiatoodang

52 maismaa tuuleparki: 5200km2

35GW

£27 miljardit
– Põhineb Lewise tuulepargil

£450

4,2kWh/p/i

29 rannikuvete tuuleparki: 2900km2

29GW

£ miljardit
– Põhineb Kentish Flats tuulepargil ning sisalsab 3 miljardi naela suurust investeerimist spetsiaalsetesse tõstukpraamidesse.

£650

3,5kWh/p/i

Dinorwigi sarnased pump-hüdroakumulatsiooni elektrijaamad

30GW

£ miljardit

£


Päikesefarmid:
1000km2

48GW

£ miljardit

- Põhineb Bavaarias asuval Solparkil

£3200

2kWh/p/i

Päikese-veeküte: 1km2 katusepaneele inimese kohta. (kokku 60km2) 2,5GW(th) keskmine

2,5GW(se) average

£72 miljardit

£

1kWh/p/i

Jäätmepõletid:
uut 30MW põletit

3GW

£8,5 miljardit
- Põhineb SELCHP'l

£140

1,1kWh/p/i

Soojuspumbad

210GW(se)

£ miljardit

£

12kWh/p/i

Lainepargid –2500 Pelamis, 130km merd

1,9GW (keskmiselt 0,76GW)

£ miljardit?

£

0,3kWh/p/i

Severn'i pais:
550km2

8GW (keskmiselt )

£ miljardit

£

0,8kWh/p/i

Loodete laguunid:

Keskmiselt 1,75GW

£2,6 miljardit?

£


Võimsus

Ligikaudne kogumaksumus

Inimese kohta

Keskmine energiatoodang

Loodete energia: turbiini –2000km2

18GW (keskmiselt 5,5GW)

£ miljardit?

£350

2,2kWh/p/i

Tuumaenergia: jaama

45GW

£ miljardit
– Põhineb Soomes asuval Olkiluoto jaamal

£

16kWh/p/i

Puhas kivisüsi

8GW

£ miljardit

£270

3kWh/p/i

Päikesevalgust koondavad elektrijaamad kõrbes:
2700km2

Keskmiselt 40GW

£340 miljardit
– Põhineb Solúcar-il

£5700

16kWh/p/i

Maalapp Euroopas 1600km

HVDC elektriliinide ehitamiseks:
1200km2

50GW

£bn
​​​​​​​– Eeldades kinnisvara hinnaks  £7500 hektari kohta

£


kilomeetrit HVDC elektriliine

50GW

£ miljard
– Põhineb Saksa Kosmoseagentuuri hinnangul

£


Biokütused:
30000km2



(hinnang puudub)

2kWh/p/i

Puit/Siidpööris:
31000km2



(hinnang puudub)

5kWh/p/i


Veel miski, mis maksab miljard

Miljard on nii suur number, et seda on raske mõista. Et aidata meil fossiilkütustest loobumise hinda õigesse konteksti panna, nimetame veel mõningaid asju, mis maksavad miljardeid naelu ehk mitu miljardit aastas. Väljendan mitmeid neist kulutustest ka „inimese kohta,“ jagades kogumaksumuse rahvaarvuga.

Võrdluseks kõige sobivam arv on ilmselt rahasumma, mille me juba praegu igal aastal energia jaoks kulutame. Suurbritannias kulutavad lõppkasutajad energia peale miljardit naela aastas ning kogu tarbitava energia turuväärtus on 130 miljardit naela aastas. Seega paistab iga-aastane miljardi naela kasutamine tulevikuenergiasse investeerimiseks täiesti mõistlikuna – see moodustab vähem kui meie praegustest energiakulutustest!

Teiseks heaks võrdluseks võime tuua meie iga-aastased kulutused kindlustusele: osa investeeringuid, mida peame tegema, ei pruugi alati kasumit tuua, täpselt nagu ka kindlustus. Suurbritannia elanikud ning ärid kulutavad igas aastas kindlustusele miljardit naela.

Toetused

miljardit naela aasta jooksul: Suurbritannia tuumaelektrijaamade kasutusest maha võtmise kulu. See on 2004. aasta väärtus, 2008. aastal oli see 73 miljardit naela (iga Ühendkuningriikide elaniku kohta teeb see naela aastas). [6eoyhg]

Joonis 28.4: M1, 21. liiklussõlmest 30. sõlmeni.

Transport

4,3 miljardit naela: Londoni Heathrow Lennujaama 5. terminal. (Iga Ühendkuningriikide elaniku kohta 72 naela.)

1,9 miljardit naela: M1 (21. liiklussõlmest 30. sõlmeni, joonis 28.4) laiendamine 91 kilomeetri ulatuses. [yu8em5]. (Iga Ühendkuningriikide elaniku kohta naela.)

Eriolukorrad

2012. aasta Londoni Olümpiamängud: miljardit naela... Ei, vabandust: miljardit naela [3x2cr4] või siis hoopiski miljardit naela [2dd4mz]. (Iga Ühendkuningriikide elaniku kohta naela.)

Tavaline äri

miljardit naela aastas: Tesco kasum (2007. aasta andmetel). (Iga Ühendkuningriikide elaniku kohta 42 naela aastas.)

10,2 miljardit naela aastas: Briti elanikud kulutavad toidule, mida nad ära ei söö. (Iga Ühendkuningriikide elaniku kohta naela aastas.)

miljardit naela aastas: BP kasum (2006).

miljardit naela aastas: Royal Dutch Shell'i kasum (2006).

miljardit dollarit aastas: Exxoni kasum (2006).

miljardit dollarit aastas: Maailmas kulutatakse parfüümidele ning kosmeetikale.

700 miljardit dollarit aastas: USA kulutab välisriikide naftale (2008). (Iga Ühendriikide elaniku kohta 2300 dollarit aastas.)

Joonis 28.5: Asjad, mille hinnad ulatuvad miljarditesse. Joonise keskel asuval skaalal on suurelt märgitud miljardilise intervalliga vahemikud ning väiksemalt miljardilise intervalliga vahemikud.

Tavaline valitsustegevus

miljardit naela: Kaitseministeerumi kontorite uus mööbel. (Private Eye Nr. 1176, 19. jaanuar 2007, lehekülg 5.) (Iga Ühendkuningriikide elaniku kohta naela.)

miljardit naela: Ühendkuningriikide ID-kaardi süsteemi kasutuselevõtt [7vlxp]. (Iga Ühendkuningriikide elaniku kohta naela.)

Tulevikuplaanid

3,2 miljardit naela: Langeled gaasitoru, mis transpordib gaasi Norrast Suurbritanniasse. Gaasitoru transpordiks aastas miljardit kuupmeetrit gaasi, andes toodanguks . [6x4nvu] [39g2wz] [3ac8sj]. (Iga Ühendkuningriikide elaniku kohta 53 naela.)

Sissetulek tubaka ja hasartmängude arvelt

miljardit naela aastas: Ühendkuningriikide aastane maksutulu tubakatööstuselt [y7kg26]. (Iga Ühendkuningriikide elaniku kohta 130 naela.) Euroopa Liit kulutab iga-aastaselt tubakakasvatuste toetuseks peaaegu 1 miljardi. www.ash.org.uk

miljardit dollarit aastas: Ühendriikide narkosõja iga-aastased kulutused. [r9fcf] (Iga Ühendriikide elaniku kohta dollarit aastas.)

Shuttle

Kosmosetööstus

miljardit dollarit: ühe kosmosesüstiku ehituskulu. (Iga Ühendriikide elaniku kohta dollarit.)

Pangad

700 miljardit dollarit: 2008. aasta oktoobris kulutas USA valitsus Wall Streeti pankade päästmiseks 700 miljardit dollarit, ning...

miljardit naela kasutas Suurbritannia valitsus Briti pankade päästmiseks.

Sõjavägi

miljardit naela aastas: Suurbritannia relvaeksport (iga Ühendkuningriikide elaniku kohta 83 naela aastas), millest miljardit läks Lähis-Idasse ning üks miljard Saudi Araabiale. Allikas: Observer, 3. detsember 2006.

8,5 miljardit naela: Aldershoti ning Salisbury Plain sõjaväeehitiste ülesehitamiseks. (Iga Ühendkuningriikide elaniku kohta 140 naela)

miljardit naela: kahe uue lennukikandja maksumus (iga Ühendkuningriikide elaniku kohta 63 naela). news.bbc.co.uk/1/low/scotland/6914788.stm

4,5 miljardit dollarit aastas: tuumarelvade mitte-ehitamise maksumus – Ühendriikide Energiaministeeriumi eelarve kulutab iga-aastaselt vähemalt 4,5 miljardit dollarit tegevustele, mis säilitaksid selle tuumaarsenali ilma testimise ning ilma uute relvade väljatöötamiseta. (Iga Ühendriikide elaniku kohta dollarit aastas.)

1025 miljardit naela: Tridenti ehk Briti tuumarelvade süsteemi väljavahetamine. (Iga Ühendkuningriikide elaniku kohta 170420 naela.) [ysncks].

63 miljardit dollarit: Ameerikapoolne „sõjaline toetus“ (st relvade kujul) Lähis-Idasse aasta jooksul – ligikaudu pool Iisraelile ning pool Araabia riikidele. [2vq59t] (210 dollarit Ühendriikide elaniku kohta.)

miljardit dollarit aastas: maailma kulutused relvadele [ym46a9]. ( dollarit aastas iga maailma elaniku kohta.)

miljardit või rohkem: Iraagi sõja kogumaksumus USA jaoks [99bpt] vastavalt Nobeli laureaadist majandusteadlase Joseph Stiglitzi arvutustele. (7000 dollarit iga Ühendriikide elaniku kohta.)

Joonis 28.6: Veel mõned asjad, mille hind ulatub miljarditesse. Vertikaaltelg on eelmise joonisega (28.5) võrreldes 20 korda kontsentreeritum. Lilla kastiga on näidatud esimese joonise telje asend teise telje suhtes.

Vastavalt Sterni hinnangule tuleks kogu maailmal ohtliku kliimamuutuse vältimiseks (kui tegutseksime kohe) kulutada 440 miljardit dollarit aastas (kui jagada see võrdselt miljardi maailma kõige rikkaima inimese vahel, teeks see 440 dollarit aastas inimese kohta). 2005. aastal kulutas ainuüksi USA valitsus sõjale ning sõjaks ettevalmistumisele 480 miljardit dollarit. suurima sõjalise kulutusega riigi kogukulutused sõjaväele moodustasid kokku 840 miljardit dollarit.

Kulutused, mis on alla miljardi

0,012 miljardit naela aastas: joonisel 28.5 toodud väikseimaks kulutuseks on Ühendkuningriikide iga-aastane eelarve taastuvenergiaallikate uurimisele ning väljatöötamisele. (Iga Ühendkuningriikide elaniku kohta naela aastas.)

Märkused ja edasine lugemine

Joonis 28.2. Eeldasin, et päikesefarmide võimsus ühikpindala kohta on 5W/m2 – sama, mis tüüpilisel Bavaaria farmil, mistõttu toodab iga kaardile märgitud farm keskmiselt . Nende kogutoodang oleks keskmiselt 5GW, mistõttu nende maksimaalvõimsus peab olema ligikaudu 50GW (see tähendab 2006. aasta seisuga Saksamaa päikesefarmidest korda suuremat võimsust). Päikesevalgustkoondavaid elektrijaamu tähistavate kollaste kuusnurkade keskmine võimsus on 5GW. Peatükis Kui elaks teiste riikide taastuvenergiast? toodud täpikeste töös hoidmiseks on vaja kahte sellist kuusnurka.

The Guardiani poolt lekitatud valitsuse raport... 2007. aasta 13. augustist pärinev raport sõnas [2bmuod]: „Valitsuse liikmed on ministritele saladuskatte all öelnud, et Suurbritannial pole mingit lootust jõuda Tony Blairi poolt kevadel allkirjastatud Euroopa Liidu taastuvenergia eesmärkideni ning soovitatud on leida mingi viis lepingust välja nihverdamiseks.“ Lekitatud dokument asub siin: [3g8nn8].

Parfüüm... Allikas: Worldwatch Instituut www.worldwatch.org/press/news/2004/01/07/

Sõjad ning sõdadeks ettevalmistumine... www.conscienceonline.org.uk

Valitsuse investeeringud taastuvenergiaga seotud uurimustöösse. 2002. ning 2003. aastal kulutas Suurbritannia valitsus taastuvenergiaalastele uurimustöödele 12,2 miljonit naela. Allikas: House of Lords Teaduse ja Tehnoloogia Kommitee, 2003–04 aasta 4. raport. [3jo7q2]. Võrdluseks võib tuua samasse vahemikku kuuluvad kulutused Madalate Emissioonidega Hoonete programmile, mis on 0,018 miljardit naela aastas ning mis jaotub tuuleenergia, biomassi, päikese-veekütte, maasoojuspumpade, mikro-hüdro ning mikro-kombineeritud energia vahel.

Mida nüüd teha
Mida nüüd teha

Kui me ei tegutse kohe – mitte kauges tulevikus – on need tagajärjed, nii katastroofilised kui need ka ei oleks, siiski ümberpööratavad. Seega ei nõua me valitsuselt mitte midagi muud, mis oleks nii tõsine, nii kriitiline, nii oluline.

Tony Blair, 20. oktoober 2006

Tegelikult veidi ebapraktiline...

Tony Blair kaks kuud hiljem, vastates soovitusele, et ta peaks valitsuse liikmetele eeskujuks olema ning puhkuse ajaks Barbadosele mitte lendama.

Meie edasine tegutsemine sõltub suuresti meie motivatsioonist. Meenutagem, et leheküljel 5 kirjeldasime me kolme põhjust fossiilkütustest loobumiseks: odavate fossiilkütuste otsa saamine, energiatarne kindlustamine ning kliimamuutus. Eeldame kõigepealt, et meid motiveerib kliimamuutus – soovime süsinikdioksiidi emissioone radikaalselt vähendada. (Lugejad, kes kliimamuutusesse ei usu, võivad selle peatüki vahele jätta ning jätkata lugemist leheküljelt 223.)

Mida teha süsinikdioksiidi heitgaasidega

Me ei liigu otsejoones süsiniku-neutraalse tuleviku suunas. Pikaajalist investeeringut ei toimu. Süsiniku atmosfäärist sidumise tehnoloogiaga tegelevatel ettevõtetel ei lähe just eriti hästi, kuigi kliima- ning majandusekspertide nõuannete kohaselt on ohtlike kliimamuutuste ärahoidmiseks tarvis süsinikdioksiidi atmosfäärist välja imeda. Süsinikku ei koguta isegi mitte üheski kivisöel töötavas elektrijaamas (välja arvatud üks pisike Saksamaal asuv prototüüp).

Miks mitte?

Peamiseks probleemiks on tõsiasi, et süsinikdioksiidi heitgaasid pole korrektselt maksustatud ning me ei saa olla kindlad, et see saab nii olema ka tulevikus. Sõna „korrektselt“ all pean ma silmas seda, et süsinikdioksiidi õhku paiskamise hind peaks olema piisavalt suur, et sundida igat töötavat kivisöe-elektrijaama omale süsinikukogumise süsteemi paigaldama.

Kliimamuutuse probleemi lahendamine on keeruline teema, kuid lihtsustatult võib üldist lahendust kirjeldada järgnevalt: süsinikdioksiidi hind peab olema selline, et inimesed oleksid sunnitud lõpetama ilma süsinikdioksiidi kogumiseta toimuva kivisöe põletamise. Suur osa sellest üldisest lahendusest peitub just selles, sest pikaajaliselt võttes on kivisüsi suurimaks fossiilkütuse allikaks. (Püüd nafta ning maagaasi heitgaaside kogust vähendada on teisejärgulise tähtsusega, sest nii nafta kui ka maagaasi hulk väheneb kõigi eelduste kohaselt juba järgmise aasta jooksul.)

Mida peaksid poliitikud siis tegema? Neil tuleb veenduda, et kõigidesse kivisöe-elektrijaamadesse paigaldataks süsinikdioksiidi sidumise süsteemid. Esimese sammuna selle eesmärgi suunas tuleks valitsusel finantseerida suureskaalalisse demonstratsioonprojekti, mille abil lahendataks süsinikdioksiidi sidumise ja salvestusega seotud probleemid. Teiseks peaksid poliitikud muutma elektrijaamade pikaajalisi regulatsioone nii, et see uus täiustatud tehnoloogia võetaks kasutusse igal pool. Minu lihtsameelseks soovituseks selle teise sammu osas on võtta vastu seadus, mille kohaselt alates mingist kuupäevast peavad kõik kivisöe-elektrijaamad kasutama süsinikdioksiidi sidumise tehnoloogiat. Enamus demokraatilisi poliitikuid paistavad aga arvavat, et ukse sulgemiseks tuleb luua erilubade turg (st jätta uks lahti). Kui me jääme sellise mõtteviisi juurde, mille kohaselt kliimamuutus tuleb lahendada turgude abil, siis milline turupõhine lahendus aitab meil meie lihtsa lahenduseni jõuda? Noh, me võime rääkida pikalt ja laialt süsinikdioksiidi emissioone võimaldavate erilubade ning süsinikdioksiidi sidumise sertifikaatide  (ühele tonnile süsinikdioksiidi kogumisele vastaks ühe tonni süsinikdioksiidi atmosfääri lisamine) väljastamisest, kuid kivisöe-elektrijaamade omanikud investeeriksid süsinikdioksiidi sidumisse ja salvestamisse vaid siis, kui nad oleksid veendunud, et süsinikdioksiidi hind on pikas perspektiivis piisavalt kõrge, et süsinikdioksiidi sidumistehnoloogiasse investeerimine end ära tasuks. Ekspertide sõnul peaks süsinikdioksiidi pikaajaline garanteeritud hind olema suurusjärgus dollarit ühe tonni kohta.

Joonis 29.1: Sellest polnud ju üldse kasu! Ühe tonni  hind eurodes Euroopa Liidu saastekvootide süsteemi esimese perioodi jooksul. Allikas: www.eex.com.

Seega tuleb poliitikutel jõuda kokkuleppele pikaajalises emissioonide vähendamises viisil, mis veenaks investoreid, et süsinikdioksiidi hind tõuseb alatiseks vähemalt dollarini tonni kohta. Teise alternatiivina võiksid nad väljastada süsinikdioksiidi heitgaaside erilubasid kindla miinimumhinnaga oksjonitel. Või siis võiksid valitsused süsinikdioksiidi sidumisse investeerimist toetada garanteerides, et nad tagastavad süsinikdioksiidi sidumise sertifikaadid rahaliselt täies ulatuses ükskõik mis süsinikdioksiidi emissioonide turu erilubadega ka juhtuma ei peaks.

Ma arutlen siiski selle üle, kas rahvusvaheliste turgudega jamamise asemel, mille eesmärgiks on ukse sulgemist vaid julgustada, tuleks uks lihtsalt kohe kinni lüüa.

Suurbritannia energiapoliitika lihtsalt ei tööta. See ei kindlusta meid. See ei täida meie kliimamuutusalaseid eesmärke. See ei täida meie kohustusi maailma vaeseimate riikide ees.

Barnes'i Lord Patten, Oxfordi Ülikooli energia ja kliimamuutuse komisjoni liige, 4. juuni 2007

Mida teha energiatoodanguga

Lisame nüüd veel ühe motivaatori: soovime fossiilkütustest lahti öelda, et kindlustada meie energiatarne.

Mida siis teha, et kiirendada mittefossiilsete energiaallikate arengut ning tõsta nende efektiivsust? Üheks lahenduseks on loota turu peale: kui fossiilkütused kallimaks muutuvad, langeb taastuvenergia ning tuumaenergia hind. Ratsionaalsed kliendid muidugi eelistavad efektiivsemaid tehnoloogiaid. On aga veider, et inimesed turu võimetesse niivõrd tugevasti usuvad – turg kõigub ju pidevalt, tuues endaga kaasa kriisid ja tõusud. Turgude kasutamine võib lühiajaliste otsuste osas tõepoolest hea olla, kui me peame silmas investeeringuid, mis end umbes kümne aastaga tasa teevad. Kuid kas võime tõesti eeldada turu positiivset mõju ka otsustele, mis määravad meie energiapoliitika järgmisteks kümnenditeks või isegi sajanditeks?

Joonis 29.2: Milline peaks olema  hind, et sundida ühiskonda emissioone vähendama? Joonisel on näidatud süsinikdioksiidi selline hind (tonni kohta), mille korral kindlad investeeringud muutuvad majanduslikult kasulikuks või mis avaldab märkimisväärset mõju sotsiaalsele käitumisele (eeldades, et suur mõju lennuliiklusele ning autosõidule toimub siis, kui süsiniku hind kahekordistab nende tegevuste hinna). Hinna kasvul -lt dollarilt dollarini tonni kohta muutub  piisavalt kulukaks, et muuta tasuvaks süsiniku sidumise tehnoloogia lisamine nii uutele kui ka vanadele elektrijaamadele. dollari juures näeksime suuri muutusi suureskaalalises taastuvenergiatoodangus, mis hetkel maksavad kilovatt-tunni kohta senti rohkem kui gaas – need unistused muutuksid lõpuks majanduslikult tulusaks reaalsuseks. Näiteks toodaks praegu veel arendusjärgus olev Severni pais loodete energiat maksumusega senti kilovatt-tunni kohta, mis on 3,3 senti rohkem kui ühe kilovatt-tunni müügihind senti. Kui iga selle paisu abil toodetud 1000kWh, säästaksime ühe tonni võrra -reostust (mis maksab naela tonni kohta), maksaks see ehitis iseenda eest. Kui hinnaks oleks aga USD, tunneksid majapidamisgaasi kasutajad süsiniku hinna mõju. USD juures maksaks ühe naftabarreli hind dollarit rohkem. 370 USD korral maksaks süsinikureostus nii palju, et vähendaks tunduvalt inimeste soovi lennukiga lennata. USD juures kulutaksid need eurooplased, kes oma elustiili muuta ei soovi, 12% oma sissetulekust autossõidu, lendamise ning gaasikütte peale. 900 USD korral (tonni  kohta) oleks sõitmise maksumus väga tuntav.

Kui vabal turumajandusel lubataks ehitada maju, saaksime me viletsalt soojustatud majad. Moodsad majad on energiaefektiivsed vaid tänu seadustele.

Vaba turg ei vastuta teede, rongiteede, spetsiaalsete bussiradade, parklate ning jalgrattateede ehitamise eest. Kuid tee-ehitus ning parklate ja jalgrattateede olemasolu mõjutavad inimeste transpordialaseid otsuseid märgatavalt. Sarnaselt mõjutaks inimeste tulevasi transpordialaseid otsuseid ka planeerimisseadused, mis määraksid ära kuhu maju ning tööhooneid ehitada tohib ning kui lähestikku need üksteisele asuda võivad. Kui ehitada uus linn, milles puudub rongijaam, siis on ebatõenäoline, et selle linna elanikud rongiga pikemaid vahemaid läbivad. Kui kodud ning töökohad asuvad üksteisest rohkem kui paari miili kaugusel, otsustavad mitmed elanikud, et neil polegi muud valikut kui auto abil tööle sõita.

Üheks suurimaks energiat neelavaks tegevuseks on asjade tootmine. Vabas turumajanduses toodavad mitmed ettevõtted meile tarbeesemeid, mis juba kavandatult tarbetuks muutuvad – asju, mis tuleb ära visata ning seejärel asendada. Tänu sellele ei lõppe nende klientide hulk kunagi ära.

Seega – kuigi turg mängib oma rolli, on rumal öelda, et las turg lahendab kogu probleemi. Me peame kindlasti arutlema ka seadusandluse, regulatsioonide ja maksude üle.

Maksusüsteemi roheliseks tegemine

Meil tuleb oma makse tunduvalt muuta. Eesmärgiks on maksustada reostamist – eriti fossiilkütuseid – rohkem ning töötamist vähem.

Nicolas Sarkozy, Prantsusmaa endine president

Hetkel on palju odavam osta uus mikrolaineahi, DVD-mängija või tolmuimeja kui olemasolev parandada lasta. See on hullumeelne.

Selle hullumeelsuse osaliseks põhjustajaks on meie maksusüsteem, mis maksustab mikrolaineahju parandaja tööd ning koormab tema äri ajakuluka paberivirnaga. Ta teeb ju head asja – parandab minu mikrolaineahju! Kuid tänu meie maksusüsteemile on tema äril keerulised ajad.

Rohelisele maksusüsteemile üleminek tähendaks, et liigutaksime maksud „headelt asjadelt,“ nagu näiteks töö, „halbadele asjadele,“ nagu näiteks negatiivsele keskkonnamõjule. Keskkonnamaksude reformi pooldajad soovitavad heade ja halbade asjade maksukoormuse tasakaalustamist, andes tulemuseks neutraalse maksupõhise sissetuleku.

Süsinikdioksiidimaks

Kui meie eesmärgiks on promoda fossiilkütustevabasid tehnoloogiaid, on kõige olulisem suurendada süsinikdioksiidimaksu. Süsinikdioksiidi hind peab olema piisavalt suur, et kindlustada investeeringud alternatiivsetesse energiatehnoloogiatesse ning nende efektiivsuse tõstmisesse. Pangem tähele, et tegu on täpselt sama poliitikaga, mida kirjeldasime ka eelnevalt. Seega pole oluline, kas meie motivaatoriks on kliimamõju vähendamine või energiatarne kindlustamine – tulemus on sama: meil on vaja kõrget ning stabiilset süsinikdioksiidi hinda. Joonisel 29.2 on väga ligikaudselt kujutatud süsinikdioksiidi võimalikud erinevad hinnad ning nende mõju sotsiaalsele käitumisele ning investeeringutele. Lisaks on joonisel toodud ka erinevate organisatsioonide hind kasvuhoonegaaside mõju „korvamiseks.“ Kuidas süsinikdioksiidi hinda kõige paremini reguleerida? Kas Euroopa saastekvootide süsteem on parim lahendus (joonis 29.1)? Vastus on majandusteadlaste ning rahvusvaheliste poliitikaekspertide käes. Cambridge'i majandusteadlaste Michael Grubb'i ning David Newbery sõnul ei vasta Euroopa saastekvootide süsteem meie praegustele vajadustele - „Praegused vahendid ei too kaasa vajalikke investeeringuid.“

The Economist soovitab valitsustel puhaste energiaallikate toetamise peamise viisina kasutada süsinikdioksiidimaksu. Konservatiivse Erakonna Elukvaliteedi Töörühm soovitab samuti keskkonnaalaseid makse suurendada ning teisi makse vähendada – üleminek süsteemilt „maksa vastavalt teenimisele“ süsteemile „maksa vastavalt põletamisele.“ Keskkonnareostuse Kuninglik Komisjon on samuti öelnud, et Suurbritannias tuleks kasutusele võtta süsinikdioksiidimaks. „See peaks katma kõiki sektoreid ning rakenduma tarneahela tipule.“

Seega on toetus suurele süsinikdioksiidimaksule olemas ning see tooks kaasa tööhõivemaksude, ettevõtete tulumaksu ning käibemaksu vähenemise. Kuid maksud ning turg ise ei too endaga kaasa kõiki vajalikke muutusi. Maksudel ning turul põhinev lahendus ei tööta, kui tarbijad aeg-ajalt ebaratsionaalselt käituvad: kui nad eelistavad kiiret sissetulekut pikaajalistele säästudele või kui nad ei maksa kõigi ostetavaga seotud kulude eest.

Mitmed brändid on tõepoolest „julgustavalt kallid.“ Tarbijate valikut ei määra vaid hind. Mitmed tarbijad hoolivad rohkem imidžist ning tajutavatest väärtustest, ostes tihti meelega kallemaid tooteid.

Kui ebaefektiivne asi juba ükskord ostetud on, on juba hilja. On oluline, et ebaefektiivseid asju üleüldse ei toodetaks ning et tarbija ostmise ajal ei tunneks, et teda mõjutatakse ebaefektiivseid asju ostma.

Allpool on toodud veel mõned vaba turumajanduse läbikukkumistest.

Takistus turule pääsemiseks

Kujutagem ette olukorda, kus süsinikdioksiid on nii tugevasti maksustatud, et uus hüper-super vidin maksaks samasuguse tootmiskoguse korral vähem kui selle pikaajaline suure süsinik-jalajäljega rivaalvidin. Tänu targale tehnoloogiale on selle ökovidina süsinikdioksiidisaaste lausa väiksem kui rivaalil. On selge, et kogu ühiskonnale oleks kasulik osta vaid ökovidinaid. Kuid hetkel on uue ökovidina müüdav hulk nii väike, et selle tootmiskulud ühe ühiku kohta on suuremad kui rivaalil. Seda ostavad vaid mõned üksikud puukallistajad ning hipid. Ökovidina firma läheks pankrotti.

Võib-olla on valitsuse poolne vahelesekkumine vajalik, et muuta üleminek kergemaks ning anda innovatsioonile võimalus. Toetused uurimus- ning arengutöösse? Uut toodet toetavad maksusoodustused (nagu näiteks soodustused, mis aitasid meil üle minna pliivabale kütusele)?

Väikeste hinnaerinevuste probleem

Kujutame ette, et Ökovidin kasvab siiski suureks ettevõtteks ning et süsinikdioksiidi maks on piisavalt kõrge, et garanteerida ökovidina 5 protsenti madalam hind. On ju loogiline, et nüüd peaks kõik kliendid ostma ökovidinat? Ha! Esiteks ei hooli paljud tarbijad mingist 5-protsendilisest hinnaerinevusest. Hoolitakse vaid imidžist. Teiseks: kuna ökovidin on nüüd nende jaoks suur konkurent, hakkab traditsioonilise vidina tootja andma välja erividinat, mis nende sõnul on patriootlikum, ning müüma seda rohelisena ning esitama reklaamides oma vidinat lahedate inimeste käes. „Tõelised mehed ostavad meie vidinat.“ Kui see ei tööta, tulevad nad välja pressiteatega, mille kohaselt teadlased ei välista, et ökovidina pikaajaline kasutamine põhjustab vähki, tuues välja juhtumi, milles vanadaam ökovidina otsa komistas... või siis et ökovidinad kahjustavad nahkhiiri. Hirm, ebakindlus, kahtlemine. Tagavaraplaanina võiks tavalise vidina ettevõtte ökovidina tootja lihtsalt ära osta. Tulemuseks oleks toode, millel pole energia säästmisega midagi pistmist, kui tarbijat mõjutav majanduslik motivaator on vaid .

Kuidas seda probleemi lahendada? Võib-olla peaks valitsus lihtsalt vana vidina müügi keelustama (just nagu keelati ära pliibensiini autode müük)?

Riho ja Ülo probleem

Kujutagem ette, et korteriomanik Riho üürib korteri üürinikule Ülo. Riho vastutab korteri hoolduse ning selles leiduvate seadmete eest ning Ülo maksab igakuiseid kütte- ja elektriarveid. Probleem seisneb järgnevas: Riho ei tunne üldse, et ta peaks investeerima millessegi, mis võiks Ülo üüri vähendada. Ta võiks ju paigaldada palju efektiivsemad lambipirnid ning võtta kasutusele palju ökonoomsema külmiku – need rohelised seadmed maksaksid nende pika eluea jooksul oma kõrge ostuhinna kindlasti tagasi. Kuid kasu saaks Ülo, mitte Riho. Samuti ei tunne Riho mingit sundust parandada korteri soojustust või vahetada välja selle aknad. Seda veel eriti siis, kui ta võtab arvesse, et Riho võib purjus peaga ühe neist akendest sisse lüüa. Ideaalses maailmas teeksid nii Riho kui ka Ülo „õige“ otsuse: Riho paigaldaks kõik energiasäästlikud lahendused ning võtaks Ülolt veidi rohkem üüri; Ülo mõistaks, et moodne ning säästlik korter on pikas perspektiivis odavam ning maksaks hea meelega kõrgemat üüri; Riho nõuaks võimalike kahjustuste ning paranduskulude tõttu veidi suuremat tagatist ning Ülo vastaks sellele ratsionaalselt ning lõpetaks ka joomise. Ülo on aga vaene ning kalli tagatise maksmine on tema jaoks keeruline. Rihol on vaja korter kindlasti välja rentida, mistõttu Ülo ei usalda Riho väiteid madalamate elektriarvete kohta ning arvab, et Riho liialdab.

Oleks vaja kedagi, kes asjasse selgust tooks ning aitaks Rihol ja Ülol õige otsus teha. Näiteks võiks valitsus seadustada ebaefektiivsete kodumasinate maksustamise, keelata kõigile uutele nõuetele mittevastavate külmkappide müügi, nõuda kõigilt korteritelt uutele soojustusstandarditele vastavust või siis tutvustada kohustuslikku objektiivset kinnisvara hindamise süsteemi, mis aitaks Ülol enne korteri üürimist selle energiaprofiiliga tutvuda.

Uurimus- ja teadustöösse investeerimine

Me taunime neid minimaalseid summasid, mille valitsus on taastuvenergiaalasele uurimus- ning teadustööle pühendanud (2002-2003. aastatel 12,2 miljonit naela)... Kui Ühendkuningriikidel on plaanis peale tuuleenergia kasutada ka muid resursse, peab see muutuma. Me ei saa vältida järledust, et valitsus ei võta energiaprobleemi piisavalt tõsiselt.

Parlamendi Ülemkoja teadus- ja tehnoloogiakommitee

Teadusliku arusaama puudumine viib tihti pealiskaudsete otsusteni. 2003. aasta energia valge raamat on selle heaks näiteks. Meile ei meeldi seda avalikult amatöörlikuks kutsuda, kuid see ei käsitlenud probleemi realistlikult.

Sir David King, endine peateadur

Valitsuse Taastuvenergia Nõuandekomitees töötamine tundus, nagu oleksin vaadanud järjest mitukümmend osa „Jah, Minister“ sarjast aegluubis. Ma ei usu, et antud valitsus on taastuvenergiat kunagi tõsiselt võtnud.

Jeremy Leggett, Solarcentury asutaja

Ma arvan, et numbrid räägivad iseenda eest. Vaadakem vaid joonist 28.5 ning võrrelgem ministeeriumite kontorimööbli ning sõjaliste kulutuste miljardeid neist sadu kordi väiksemate kulutustega taastuvenergiaga seotud uurimus- ja teadustöösse. Loodete energia, päikesevalgust koondavate elektrijaamade ning päikesepaneelide tehnoloogia väljatöötamine nõuab mitukümmend aastat. Ka termotuumasüntees vajab nii palju aega. Kõiki neid tehnoloogiaid tuleb toetada juba praegu, kui me tahame, et need tulevikus töötaksid.

Üksikisiku otsused ja teod

Mõnikord küsitakse minult: „Mida saan MINA teha?“ Alltoodud tabelis on kirjeldatud kaheksa minu poolt soovitatavat isiklikku otsust ning nende otsuste väga umbkaudne sääst. Need säästud sõltuvad muidugi igasugustest tingimustest ja olukordadest. Teie säästud sõltuvad ka sellest, kust te alustate. Tabelis toodud väärtused on arvutatud keskmisest veidi parema tarbija jaoks.

Tabel 3.15: Kaheksa lihtsat üksikisiku otsust.

Lihtne tegu

Võimalik kasu

Pane selga paks kampsun ning keera oma termostaat madalamaks (näiteks 15 või 17 kraadi juurde). Paigalda igale radiaatorile eraldi termostaat. Veendu, et kütmine on välja lülitatud, kui kedagi kodus pole. Tee sama ka töö juures.

20kWh/p¨aev

Jälgi kõiki oma mõõdikuid (gaas, elekter, vesi) iganädalaselt ning leia mõni lihtne viis tarbimise vähendamiseks (näiteks seadmete välja lülitamine). Võrdle oma tulemusi mõne sõbraga ning tee sellest võistlus. Loe ka oma töö juures mõõdikuid, sooritades energiaauditit pidevalt.

4kWh/p¨aev

Lõpeta lennukiga reisimine

35kWh/p¨aev

Sõida vähem, sõida aeglasemalt, sõida ökonoomsemalt, hüppa kellegi teise auto peale, kasuta elektriautot, liitu mõne autoklubiga, sõida jalgrattaga, kasuta ühistransporti

20kWh/p¨aev

Jätka olemasolevate vidinate (näiteks arvutite) kasutamist, ära vaheta seadmeid liiga tihti välja.

4kWh/p¨aev

Võta kasutusele efektiivsemad lambipirnid või LED-valgustus.

4kWh/p¨aev

Ära osta pakendatud tooteid. Väldi pakendeid.

20kWh/p¨aev

Kuuel päeval seitsmest ole taimetoitlane.

10kWh/p¨aev

Kui ülaltoodud teguviise on üpriski kerge rakendada, nõuavad alumises tabelis toodud muutused veidi rohkem planeerimist, otsusekindlust ning raha.

Tabel 3.16: Seitse raskemat otsust

Suur otsus

Võimalik kasu

Tuuletõmbe peatamine

5kWh/p¨aev

Kahekordsed aknad 

10kWh/p¨aev

Seinte, katuse ja põranda soojustamine

10kWh/p¨aev

Veekütte-päikesepaneelid

8kWh/p¨aev

Päikesepaneelid

5kWh/p¨aev

Vana maja maha lammutamine ja uuega asendamine

35kWh/p¨aev

Fossiilkütte asendamine maa- või õhksoojuspumbaga

10kWh/p¨aev

Ning selles viimases tabelis on toodud veel mõned lahendused, mis esimesse kahte tabelisse ei pääsenud, sest nende võimalik kasu on veidi väiksem.

Tabel 3.17: Veel paar lihtsat teguviisi, mille võimalik kasu on väiksem

Teguviis

Võimalik kasu

Pesu pesemine külma veega

0,5kWh/p¨aev

Pesukuivati kasutamise lõpetamine

0,5kWh/p¨aev


Märkused ja edasine lugemine

„...tegelikult veidi ebapraktiline.“ Tony Blairi intervjuu (9. jaanuar 2007) on täies ulatuses leitav siit: [2ykfgw].

Veel mõned tsitaadid sellest:

Ajakirjanik: „Kas olete mõelnud puhkuse ajaks Barbadosele võib-olla mitte lennata, et õhutransporti mitte kasutada?"

Tony Blair: „Kui aus olla, siis olen ma välismaa puhkusest loobumise vastu."

Ajakirjanik: „Kuid see oleks ju päris selge sõnum, kui me ei näeks teid selle suure lennukiga loojangusse lendamas? Võib-olla saaksite puhata kusagil kodule lähemal?"

Tony Blair: „Jah, kuid isiklikult arvan, et selliseid asju inimestelt oodata on veidi ebapraktiline. Ma arvan, et peaksime vaatama kuidas saaksime õhutransporti efektiivsemaks muuta ning töötama välja uusi kütuseid, mis võimaldaksid meil vähem energiat kulutada ning atmosfääri vähem kasvuhoonegaase paisata. Kuidas saaksime näiteks ehitada uusi, kergemate keredega lennukeid, mis oleksid palju efektiivsemad."

Ma tean, et mõeldakse, et peaminister ei peakski üldse puhkusele minema, kuid ma arvan, et kui me seame selles osas inimestele ebarealistlikud eesmärgid... Näiteks kui ütleme, et me keelame ära odavad lennuliinid.. Teate, ma ootan siiani esimest valitsusse kandideerivat poliitikut, kes selle otse välja ütleks – sellist lihtsalt ei ole.

Teine tsitaat: „Kui me ei tegutse kohe – mitte kauges tulevikus – on need tagajärjed, nii katastroofilised kui need ka ei oleks, siiski ümberpööratavad. Seega ei nõua me valitsuselt mitte midagi muud, mis oleks nii tõsine, nii kriitiline, nii oluline.“ See pärineb Tony Blairi kõnest Stern Review ülevaate avaldamise ajal 2006. aasta 30ndal oktoobril [2nsvx2]. Vaata ka: [yxq5xk].

Keskkonnamaksude reform. Vt www.greenfiscalcommission.org.uk.

The Economist soovitab süsinikdioksiidi maksu. „Tuumaenergia uus ajastu,“ The Economist, 8. september 2007.

Konservatiivse Erakonna Elukvaliteedi Töörühm – Gummer et al. (2007).

Energiaplaanid Euroopa, Ameerika ja maailma jaoks
Energiaplaanid Euroopa, Ameerika ja maailma jaoks

Joonisel 30.1 on toodud erinevate riikide või piirkondade energiatarve versus nende sisemajanduse riiklik koguprodukt (SKP). Tihti eeldatakse, et inimeste areng ning majanduskasv on head asjad, seega eeldan ma maailma taastuvenergia plaani koostamisel, et kõik madala SKP-ga (elaniku kohta) riigid progresseeruvad joonisel 30.1 paremale ja üles. Nende SKP tõusmise tõttu ei saa me vältida, et ka nende energiatarve tõuseb. Pole selge, millist tarbimist me täpselt oodata võime, kuid arvan, et Euroopa keskmine tase ( päevas inimese kohta) on mõistlik eeldus. Alternatiivselt võiksime eeldada, et erinevad efektiivsusmeetmed (näiteks nagu peatükis Paneme kulud õigesse konteksti toodud Suurbritannia lihtsustatud versioonis) võimaldavad kõikidel riikidel saavutada sarnase elatustaseme ka väiksema tarbimise juures. Selles tarbimisplaanis langes lihtsustatud Suurbritannia mudeli tarbimine ligikaudu 68 kilovatt-tunnini inimese kohta päevas. Pidagem meeles, et lihtsustatud Suurbritannias ei ole suurel hulgal tööstustegevust, mistõttu oleks ehk targem võtta sihtmärgiks veidi suurem tarbimine: näiteks Hong Kongi 80kWh/p¨aevas inimese kohta.

Joonis 30.1: Energiatarve elaniku kohta vs SKP elaniku kohta dollarites. Andmed pärinevad ÜRO 2007. aasta Inimarenguraportist. Ruutudega on tähistatud kõrge inimarengutasemega riigid, ringidega keskmise ja madala arengutasemega riigid. Mõlemad teljed on logaritmilised. Joonisel 18.4 on samad andmed kujutatud normaalskaalas.
Arvutuste kordamine Euroopa jaoks

Kas Euroopa saaks elada taastuvenergiaallikatest?

Euroopa keskmine rahvastikutihedus on pool Suurbritannia vastavast väärtusest, mistõttu jätkub neil hiigelsuurte taastuvenergiarajatiste ehitamiseks rohkem maapinda. Euroopa Liidu pindala on ligikaudu 9000m2 inimese kohta. Kuid mitmete taastuvenergiaallikate energiatihedus on Euroopas madalam kui Suurbritannias: enamuses Euroopas puhub tuul vähem, on vähem laineid ning väiksema ulatusega looded. Osades paikades on hüdroenergiat rohkemal määral (näiteks Skandinaavias ja Kesk-Euroopas) ning osades rohkem päikeseenergiat. Nuputame välja mõned ligikaudsed arvud.

Tuul

Mandri-Euroopa südames puhuvad tuuled aeglasemalt kui Briti saartel – suures osas Itaalias on keskmine tuulekiirus näiteks alla meetri sekundis. Eeldame, et viiendikus Euroopast puhuvad tuuleenergiat majanduslikult kasulikuks muutvad piisavalt tugevad tuuled – . Kohtleme neid piirkondi sarnaselt peatükis Tuul kirjeldatud Suurbritanniaga: katame nende pindalast tuuleparkidega. Euroopa Liidu pindala on ligikaudu 9000m2 elaniku kohta. Seega saame tuulest

mis teeb elaniku kohta .

Hüdroelekter

Euroopas toodetakse hetkel igas aastas kokku 590TWh ehk 67GW hüdroelektrit. Kui jagada see miljoni elanikuga, saame 3,2kWh päevas inimese kohta. Selles tootmises domineerivad Norra, Prantsusmaa, Rootsi, Itaalia, Austria ja Šveits. Kui need riigid kahekordistaksid oma hüdroenergiatoodangut – mis minu arvates osutuks keeruliseks – saaksime 6,4kWh/p inimese kohta.

Lainete energia

Võttes kogu Atlandi ookeani rannajoone (ligikaudu 4000km) ning korrutades selle keskmise toodanguga (10kW/kuu), saame inimese kohta. Balti mere ning Vahemere rannikutel ei saa lainete energia kasulikust rakendamisest eriti rääkida.

Loodete energia

Kahekordistades Briti saari ümbritseva koguresursi ( inimese kohta, peatükk Looded), et saada Prantsusmaa, Iiri ja Norra koguresurss, ning jagades selle miljonilise elanikkonnaga, saame 2,6kWh/p inimese kohta. Balti mere ning Vahemere rannikutel ei saa loodete energia kasulikust rakendamisest eriti rääkida.

Päikesepaneelid ja veekütte-päikesepaneelid katustel

Joonis 30.2: Päikese-veeküte Michiganis asuva maja katusel. Süsteemi pump töötab vasakul pool asuva väikese päikesepaneeli abil.

Enamus riike on päikselisemad kui Suurbritannia, mistõttu oleks päikesepaneelide energiatoodang mandri-Euroopas suurem. ulatuses katusele paigaldatud päikesepaneele toodaksid kõikjal Suurbritanniast lõuna pool ligikaudu 7kWh/p. Kahele ruutmeetrile paigaldatud veekütte-päikesepaneelid toodaksid aga keskmiselt madala kasuteguriga soojusenergiat päevas. (Ma ei näe põhjust soovitada inimestel paigaldada oma katusele rohkem kui kahe ruutmeetri ulatuses selliseid paneele, sest sellest piisaks keskmise sooja vee nõudluse katmiseks.)

Mida veel?

Siiani saame kokku 9+6,4+2+2,6+7+3,6=30,6kWh/p inimese kohta. Ainsad resursid, mida me veel maininud ei ole, on geotermiline energia ning suureskaalalised päikesefarmid (peeglite, paneelide või biomassiga).

Geotermiline energia võib töötada, kuid see tehnoloogia on alles lapsekingades. Soovitan seda kohelda kui termotuumaenergiat: hea investeering, kuid sellele ei tohiks loota.

Aga päikesefarmid? Me võiksime katta Euroopast (450m2 elaniku kohta) päikesepaneelidega (just nagu joonisel 6.7 toodud farm Bavaarias), mille energiatihedus on 5W/m2. See toodaks keskmist võimsust

Seega annaksid päikesefarmid tõepoolest märkimisväärse panuse. Kuid probleemiks on nende maksumus. Lisaks on probleemiks sama keskmise võimsuse tootmine talvisel ajal!

Energiataimed? Taimed püüavad vaid ligikaudu 0,5W/m2 (joonis 6.11). Teades, et Euroopa peab end ka ära toitma, ei saa taimede poolne panus energia toodangusse mitte kunagi eriti suur olema. Jah, siin-seal on küll õlirapsi ning metsasid, kuid ma ei suuda ette kujutada, et taimedest toodetaks rohkem kui 12kWh/p¨aevas inimese kohta.

Kokkuvõte

Olgem realistlikud. Täpselt nagu Suurbritannia, ei suudaks ka Euroopa vaid taastuvenergiast ära elada. Seega – kui meie eesmärgiks on lõpetada fossiilkütuste kasutamine, vajab Euroopa tuumaenergiat või siis päikeseenergiat teiste riikide kõrbetest (juba varem kirjeldatud viisil) või siis mõlemat.

Arvutuste kordamine Põhja-Ameerika jaoks

Keskmine ameeriklane kasutab päevas . Kas saame toota sellises koguses energiat vaid taastuvenergia abil? Kujutagem ette, et Ameeriklased rakendaksid järsult drastilisi efektiivsusmeetmeid (näiteks efektiivsed autod ja elektrilised kiirrongid) nii, et nende energiatarve väheneks keskmise eurooplase või jaapanlase tasemeni: vaid 125kWh/p¨aevas inimese kohta.

Tuul

1991. aasta uurimustöös hindas Elliot koos oma kolleegidega USA tuuleenergia potentsiaali. Tuulisemateks paikadeks on Põhja-Dakota, Wyoming ja Montana. Nad arvutasid välja, et ilma suuremate probleemideta saaks kogu riigis kasutada 435000 ruutkilomeetrit maapinda ning et selle abil saaks toota 4600TWh aastas – see teeb miljoni elaniku korral 42kWh/p inimese kohta. Nendes arvutustes kasutati keskmise energiatihedusena 1,2W/m2, mis  on vähem kui peatükis Tuul eeldatud . Nende tuuleparkide pindala oleks ligikaudu võrdne terve Kalifornia pindalaga. Vajatav tuuleenergia-riistvara (koormusteguriga ) võimsus peaks olema ligikaudu 2600GW, mis oleks USA praeguse riistvaraga võrreldes korda suurem.

Ranniku tuulepargid

Kui eeldame, et ranniku tuuleparkidega (energiatihedus ) kaetakse Delaware'i ja Conneticuti pindalade summaga võrdne ala (20000km2, märkimisväärne ala USA idaranniku madalast rannikust), saaksime toota keskmiselt 60GW. See teeb 4,8kWh päevas inimese kohta, kui jagame selle miljoni elanikuga. Vajatav riistvara oleks USA praeguse riistvaraga võrreldes korda suurem.

Geotermiline

Peatükis Geotermiline mainisin ma MIT geotermilise energia uurimust (Massachusettsi Tehnoloogiainstituut, 2006). Selle autorid paistavad Põhja-Ameerika geotermilise potentsiaali osas väga positiivsed – eriti läänepoolsetes osariikides, kus kuumasid kive on rohkem. „Mõistlikud investeeringud uurimus- ja teadustöösse toodaksid geotermiliste süsteemide abil järgmise 50 aasta jooksul 100GW(e) või rohkem konkurentsivõimelist energiat. Lisaks pakuksid efektiivsemad geotermilised süsteemid pikemas perspektiivis kindlat energiaresurssi.“ Eeldame, et neil on õigus. 100GW elektrit teeb miljoni elaniku korral 8kWh/p.

Hüdroelekter

Kanada, USA ja Mehhiko hüdroelektrijaamad toodavad aastas ligikaudu 660TWh miljoni elaniku vahel jaotatuna teeb see 3,6kWh/p inimese kohta. Kas Põhja-Ameerika hüdroelektritoodangut saaks kahekordistada? Kui jah, teeks see 7,2kWh/p inimese kohta.

Mida veel?

Kokku saame hetkel 42+4,8+8+7,2=62kWh/p inimese kohta. Sellest ei piisa isegi eurooplasele! Võiksin kirjeldada erinevaid võimalusi, nagu näiteks Kanada metsade jätkusuutlik põletamine elektrijaamades, kuid kannatuste piiramiseks läheme otse töötava tehnoloogia juurde: päikesevalgust koondavad elektrijaamad.

Joonisel 30.3 on toodud selline osa Põhja-Ameerikast, mille abil saaks toota kõigile ( miljonile elanikule) keskmiselt päevas.

Joonis 30.3: Põhja-Ameerikasse joonistatud ruut, mis on täies ulatuses koondavate päikesepaneelidega kaetud, toodaks piisavalt energiat, et anda miljonile elanikule Ameerika keskmise energiatarbe 250kWh/p¨aevas. Sellel kaardil on toodud ka Aafrikasse joonistatud sama suur ruut, mida kohtasime juba varem. Eeldasin energiatiheduseks 15W/m2, nagu ka varem. Ühe kollase ruudu pindala on suurem kui Arizona pindala ning korda suurem kui New Jersey pindala. Iga suure ruudu sisse on joonistatud väiksem,  pindalaga ruut, mis kujutab sellist kõrbes asuvat ala (üks New Jersey), mille abil saaksime miljonile inimesele toota  päevas.

Kokkuvõte

Põhja-Ameerika taastuvenergiaallikad, kui me ei arvesta päikeseenergiat, ei ole piisavad, et ära elada. Kuid kui me lisame päikeseenergia osakaalu suureskaalalise tõstmise, sellest piisaks. Seega tuleb Põhja-Ameerikal oma kõrbetesse rajada päikesefarme või siis kasutada tuumaenergiat. Või mõlemat.

Arvutuste kordamine kogu maailma jaoks

Kuidas saaksime toota kuuele miljardile inimesele sellisel hulgal energiat, mis vastaks Euroopa keskmisele energiakulule: 80kWh/p¨aevas inimese kohta?

Tuul

Tugevate püsivate tuultega erakordseteks paikadeks maailmas on USA kesk-osariigid (Kansas, Oklahoma), Saskatchewan Kanadas, Argentiina ja Tšiili lõunapoolsed osad, Kirde-Austraalia, Kirde- ja Loode-Hiina, Kirde-Sudaan, edelapoolne osa Lõuna-Aafrika Vabariigist, Somaalia, Iraan ning Afganistaan. Lisaks kõik rannikualad, välja arvatud -kraadi laiune ala ekvaatori ümbruses.

Globaalse hinnangu jaoks kasutame Greenpeace'i ning Euroopa Tuuleenergia Agentuuri andmeid: „Maailma tuuleenergia koguresurssideks on hinnanguliselt 53000TWh aastas.“ See teeb inimese kohta.

Hüdroelekter

Ülemaailmselt toodetakse hetkel kokku ligikaudu 1,4kWh/p inimese kohta.

Veebileheküljelt www.ieahydro.org leiame Rahvusvahelise Hüdroenergia Assotsiatsiooni ning Rahvusvahelise Energiaagentuuri hinnangu terve maailma hüdroenergia potentsiaalile: 14000TWh/aastas (ehk 6,4kWh/p inimese kohta globaalselt), millest ligikaudu 8000TWh/aastas (3,6kWh/p inimese kohta) peetakse praegu tehniliselt saavutatavaks. Enamus arengupotentsiaalist asub Aafrikas, Aasias ja Ladina-Ameerikas.

Loodete energia

Mitmes maailma paigas on loodete energia resursid sarnased nagu Severni suudmes (joonis 14.8). Argentiinas asub kaks sellist paika: San Jose ning Golfo Nuevo; Austraalias on Walcotti sisselase; USA ning Kanada jagavad omavahel Fundy lahte; Kanadas asub Cobequid; Indial on Khambati laht; USA-s asuvad Turnagain'i ning Knik'i poolsaared; Venemaal on Tugur.

Lisaks on meil maailma kangelane: Venemaal asuv paik nimega Penzhinsk, mille resursiks on 22GW (kümme korda rohkem kui Severnil!).

Kowaliku (2004) hinnangul saaks terve maailma resursside abil toota 4080GW loodete energiat. Kui see jagada miljardi inimesega, saame 0,160,32kWh/p inimese kohta.

Lainete energia

Lainetest saadava koguenergia leiame, kui korrutame avatud rannajoone pikkuse (ligikaudu 300000km) ühikulise pikkusega rannajoonest saadava keskmise energiahulgaga 10kW/m: toores võimsus on seega umbkaudu 3000GW.

Kui eeldame, et sellest toorest energiast läbib energiamuundamise käigus igasugu -protsendilise efektiivsusega protsesse, saame tulemuseks inimese kohta.

Geotermiline

Aucklandi Geotermilise Instituudi teaduri D. H. Freestoni sõnul toodeti 1995. aastal kogu maailmas geotermilist energiat keskmiselt 4GW ehk 0,01kWh/p inimese kohta.

Kui me eeldame, et MIT autoritel oli õigus, ning ütleme, et kogu maailm on nagu Ameerika, võiksime geotermilisest energiast toota ühe inimese kohta 8kWh/p.

Päike energiataimede jaoks

Mõned inimesed on energiataimedest, seejuures eriti Jatrophast, väga vaimustuses: väidetakse, et Jatropha ei võistleks vajaliku maa-ala nimel toiduainetega, sest seda saab kasvatada ka tühermaal. Enne vaimustumist on aga oluline vaadata Jatropha kohta käivaid numbreid. Isegi kui kataksime kogu Aafrika Jatropha kasvandustega, oleks kogu toodetav energiahulk kuue miljardi elaniku vahel jaotatuna 8kWh/p (see on vaid kolmandik praegusest globaalsest naftatarbest). Me ei saa oma sõltuvusprobleemi vaid Jatropha abil lahendada!

Tabel 3.18: Maailma päikeselisus protsentides.

Sheffield

28%

Edinburgh

Manchester

Cork

32%

London

34%

Köln

35%

Kopenhaagen

38%

München

38%

Pariis

39%

Berliin

Wellington, Uus-Meremaa

43%

Seattle

46%

Toronto

46%

Detroit, MI

54%

Winnipeg

Peking 2403

Sydney 2446

56%

Pula, Horvaatia

57%

Nice, Prantsusmaa

58%

Boston, MA

58%

Bangkok, Tai

60%

Chicago

60%

New York

61%

Lissabon, Portugal

61%

Kingston, Jamaica

62%

San Antonio

62%

Seville, Hispaania

66%

Nairoobi, Keenia

68%

Johannesburg, LAV

71%

Tel Aviv

74%

Los Angeles

77%

Upington, LAV

91%

Yuma, AZ

93%

Sahhaara Kõrb

98%

Eeldame, et energiataimi kasvatataks terves maailmas sama palju kui kujutasime ette peatükis Päike Suurbritannia jaoks: kõigist maailma haritavatest maalappidest pühendataks selleks 18% - 27 miljonit ruutkilomeetrit. See teeb 4500m2 inimese kohta, kui see jagada miljardi inimese vahel. Kui eeldame energiatiheduseks  ning kadudeks (töötlemisel ja kasvatamisel), saaksime energiataimede abil ning sellisel hulgal haritava maapinna kasutamisel toota 36kWh/p inimese kohta. See on küll võib-olla veidi alahinnatud väärtus, sest joonisel 6.11 nägime, et Brasiilia suhkruroo energiatihedus on 1,6W/m2 – kolm korda suurem kui minu äsjases eelduses. Hea küll, võib-olla on energiataimedel Brasiilias tõepoolest tulevikku. Kuid pean siinkohal targemaks viimase valiku juurde suunduda.

Päikese-veeküte, päikesepaneelid ning koondavad päikesefarmid

Vee kütmine päikeseenergia abil on otseloomulikult hea idee. Need töötaksid pea igal pool terves maailmas. Selles tehnoloogias on juhtpositsioonil hiinlased. Kogu maailmas on kokku üle 100GW päikese-veekütet ning üle poole sellest asub Hiinas.

Tavaliste päikesepaneelide kasutamine on küll Euroopa jaoks tehniliselt teostatav, kuid minu meelest on need veidi liiga kallid. Loodan muidugi, et mul pole õigus. Oleks suurepärane, kui päikesepaneelide hind langeks samamoodi nagu arvutite hinnad on viimase neljakümne aasta jooksul langenud.

Paljude piirkondade jaoks ennustan ma, et parimaks päikeseelektri tootmise tehnoloogiaks on lehekülgedel 178 ning 236 kirjeldatud koondavad päikesefarmid. Nendes paragrahvides jõudsin järeldusele, et Euroopas ning Põhja-Aafrikas saaksime varustada miljard inimest energiaga, mis pärineks kusagilt Vahemere riikides asuvatest riigi mõõtmetega koondavatest päikesefarmidest. Ning pool miljardit Põhja-Ameerika elanikest saaksid hakkama, kui ehitaksime USA ja Mehhiko kõrbetesse Arizonase-mõõtmetega päikesefarmi. Lasen lugejal ise määrata ülejäänud vajaminevad kõrbepiirkonnad, et aidata ülejäänud 4,5 miljardil maailmakodanikul elektrit toota.

Kokkuvõte

Päikeseenergiaga mitteseotud numbrid on järgnevad: Tuul inimese kohta, hüdroenergia 3,6kWh/p inimese kohta, loodete energia inimese kohta, lainete energia inimese kohta, geotermiline energia 8kWh/p inimese kohta – kokku 36kWh/p inimese kohta. Meie eesmärgiks oli tuleviku Euroopa jaoks realistlik eesmärk päevas inimese kohta. Meie järeldus on selge: mitte-päikeselised taastuvenergiaallikad võivad küll olla „suurepärased,“ kuid meil ei saa neid olema piisavalt suurel hulgal. Et tekitada plaan, mis ka päriselt töötaks, tuleb meil toetuda ühele või mitmele päikeseenergia liigile. Või siis kasutada tuumaenergiat. Või siis neid mõlemaid.

Märkused ja edasine lugemine

Põhja-Ameerika ranniku tuuleenergia resursid. www.ocean.udel.edu/windpower/ResourceMap/index-wn-dp.html

Põhja-Ameerikal tuleb ehitada päikesefarmid omaenda kõrbetesse või siis kasutada tuumaenergiat...või mõlemat. Et lugeda Google'i 2008. aasta plaani USA fossiilkütuste -protsendilisest vähendamisest, viska pilk peale Jeffery Greenblatt'i artiklile „Puhas energia 2030“ [3lcw9c]. Selle plaani peamisteks märksõnadeks on efektiivsusmeetmed, transpordi elektrifitseerimine ning energia tootmine taastuvallikatest. Nende elektritoodang sisaldab

10,6kWh/inimene/p¨aev

tuuleenergiat,

2,7kWh/inimene/p¨aev

päikesepaneele,

1,9kWh/inimene/p¨aev

koondavat päikeseenergiat,

1,7kWh/inimene/p¨aev

biomassi,

ja 5,8kWh/inimene/p¨aev

geotermilist energiat

 

aastaks 2030. See teeb taastuvenergiaallikatest kokku 23kWh/p¨aevas inimese kohta. Lisaks eeldatakse tuumaenergia kasvu 7,2-lt 8,3 kilovatt-tunnini inimese kohta päevas. Hüdroelektri määr ei tõuse. Maagaasi kasutataks jätkuvalt, tootes 4kWh/p¨aevas inimese kohta.

Kogu maailma hüdroenergia potentsiaal... Allikas: www.ieahydro.org/faq.htm.

Kogu maailma avamere tuuleenergia potentsiaaliks hinnatakse 3000GW. Vt Quayle ja Changery (1981).

Geotermiline võimsus aastal 1995. Freeston (1996).

Energiataimed. Vt Rogner (2000), mille hinnangud on minu omadele sarnased.

Edasist lugemist: ajakirjas Nature avaldati 8-leheküljeline artikkel, milles arutati terve maailma energiaga varustamist (Schiermeier et al., 2008).

Viimane asi, millest peame rääkima

Viimane asi, millest peame rääkima, on süsinikdioksiidi sidumine atmosfäärist.

Vaiba alla

Seda öeldes pean ma tõesti silmas kahte asja. Esiteks on süsiniku sidumiseks atmosfäärist vaja tohutul hulgal energiat, mistõttu sellest rääkimine kõlab lihtsalt absurdsena (lisaks muretsetakse, et selliste kliimamuutuse geoinseneeria-lahenduste promomise abil promome me hoopiski praegust tegevusetust). Teiseks ütlen ma, et peame sellest ikkagi rääkima: mõtlema selle üle, kuidas seda kõige paremini teha ning investeerima uurimustöösse, mis selle protsessi efektiivsemaks muudaksid. Süsiniku atmosfäärist sidumine võib tõepoolest osutuda meie viimaseks õlekõrreks, kui kliimamuutus on tõepoolest nii hull nagu teadlased väidavad, ning kui inimkond ei suuda valida praegu olemasolevaid odavaid ning mõistlikemaid lahendusi.

Enne süsiniku sidumise üle arutlemist tuleb meil mõista süsinikdioksiidi globaalset situatsiooni.

mõistmine

Kui ma seda raamatut alguses planeerima hakkasin, oli minu eesmärgiks kliimamuutust täielikult ignoreerida. Mõningates ringkondades oli küsimus „Kas kliimamuutus on toimumas?“ vastuoluline küsimus. Samuti olid seda ka küsimused „Kas seda põhjustavad tõesti inimesed?“ ning „Kas see on üldse tähtis?“ Kõigi vastuolude lõpus jõuti küsimuseni „Mida peaksime me tegema?“ Mulle tundus, et jätkusuutlik energia oli juba omaette huvitav teema ning et vastuolude vältimine oleks parim. Minu argumendiks oli: „Ei ole oluline, et fossiilkütused saavad otsa ning et kliimamuutus on toimumas. Fossiilkütuste põletamine pole niikuinii jätkusuutlik. Kujutame ette jätkusuutlikku eluviisi ning proovime arvutada välja, kui palju taastuvenergiat meil üldse on.“

Kliimamuutus on aga sellest ajast alates jõudnud ühiskonna mõtete fookusesse ning sellest lähtub mitmeid küsimusi, millele saab ümbrikunurgal kiiresti vastuseid välja rehkendada. Seetõttu otsustasin sellest veidi nii epiloogis kui ka selles lõpp-peatükis kirjutada. Tegu pole mitte lõpliku arutlusega vaid lihtsalt mõnede huvitavate numbritega.

Ühikud

Joonis 31.1: Süsiniku aatomi ning molekuli masside suhe on 12/44, sest süsiniku aatom kaalub ühikut ning kaks hapniku aatomit kaaluvad mõlemad . 12+16+16=44.

Süsinikdioksiidiemissioonide makse mõõdetakse tavaliselt dollarites või eurodes ühe tonni kohta, mistõttu kasutan ma ühe elaniku süsinikdioksiidiemissioonide kirjeldamiseks ühte tonni kui peamist ühikut. Ühikut „tonni aastas“ kasutan ma saastamiskiiruse mõõtmiseks.  (Keskmise eurooplase kasvuhoonegaaside hulk on tonni aastas ehk 30kg päevas.) Kui rääkida süsinikdioksiidist fossiilkütuses, taimestikus, pinnases ning vees, räägin ma süsiniku tonnist. Üks tonn sisaldab 12/44 tonni süsinikku – veidi rohkem kui veerand tonni. Planeeti silmas pidades räägin ma süsiniku gigatonnidest (GtC). Üks gigatonn süsinikku on miljard tonni. Gigatonne on raske ette kujutada – et see mõistlikku skaalasse tuua, kujutagem ette ühe tonni süsiniku põletamist (ligikaudu sellise hulga põletad sa oma maja kütmiseks igal aastal). Nüüd kujutagem ette, et kõik planeedi elanikud põletavad aastas sama palju süsinikku: see teeb 6GtC aastas, sest meie planeedil on miljardit inimest.

Kus see süsinik on?

Kus kogu see süsinik siis on? Kui tahame mõista saaste tagajärgi, tuleb meil teada, kui palju leidub seda atmosfääriga võrreldes ookeanites, maapinnas ning taimestikus.

Joonisel 31.2 on näidatud, kus süsinik on. Enamus sellest ehk 40000Gt on ookeanis (lahustunud gaasi, karbonaatide, taimede, loomade ja lagunevate materjalide kujul). Maapinnas ja taimestikus kokku on vaid ligikaudu 3700Gt. Ligipääsetavad fossiilkütused – peamiselt kivisüsi – sisaldavad vaid ligikaudu 1600Gt. Ning viimaseks: atmosfäär sisaldab umbkaudu 600Gt süsinikku.

Joonis 31.2: Süsiniku hinnangulised kogused gigatonnides Maa ligipääsetavates kohtades. (Ka kivides on palju süsinikku ning see liigub miljonite aastate jooksul ringi, tekitades tasakaalu, milles tektooniliste plaatide all olevate setete süsinik on võrdne aeg-ajalt läbi vulkaanide maapinnale jõudva süsiniku hulgaga. Lihtsuse eesmärgil ignoreerisin seda geoloogilist süsinikku.)

Joonis 31.3: Nooltega on näidatud kaks fossiilkütuste põletamisest tulenevat süsiniku lisavoogu. Fossiilkütuste põletamise tagajärjel iga-aastaselt atmosfääri lisatava 8,4GtC ning ookeanite poolt aastas neelatava 2GtC vahel puudub tasakaal. Sellel joonisel pole kujutatud raskestimõõdetavaid süsinikuvoogusid atmosfääri, pinnase, taimestiku ja muu vahel.

Veel üsna hiljuti oli nende süsinikuallikate tase ligikaudu tasakaalus: kõik süsiniku väljavoolud (näiteks pinnas, taimestik või atmosfäär) olid tasakaalus sissevooluga. Fossilkütuse osakaal selles sisse- ja väljavoolus oli üpriski tähtsusetu. Kuid siis hakkas inimkond fossiilkütuseid põletama. Seega lisasime me sellesse süsteemi kaks mitte tasakaalus olevat lisavoolu, mis on näidatud joonisel 31.3.

1920. aastal oli fossiilkütuste põletamise kiirus umbkaudu 1GtC aastas, 1955. aastal 2GtC ning 2006. aastal 8,4GtC. (Need numbrid sisaldavad betooni tootmisest tulenevat väikest osa, sest selles protsessis vabaneb lubjakivist .)

Kuidas muutsid need kaks lisavoolu joonisel 31.2 toodud pilti? Noh, see pole täpselt teada. Joonisel 31.3 on näitatud asjad, mida me teame. Suur osa sellest aastasest lisandunud 8,4GtC-st, mille me atmosfääri paneme, seal ka püsib, mistõttu atmosfääri süsinikdioksiidi sisaldus suureneb. Atmosfäär tasakaalustub ookeani pinnaveega üpriski kiiresti (vaid viie kuni kümne aastaga) ning seetõttu neeldub atmosfäärist süsinikdioksiidi ka ookeanivette: ligikaudu 2GtC aastas. (Hiljutised uurimused viitavad aga selle neeldumise järk-järgulisele aeglustumisele.) See tasakaalustamata süsiniku voog pindmisesse veekihti põhjustab ookeanite hapestumist – halb uudis korallide jaoks. Mingi osa lisasüsinikku neeldub ka taimedes ja pinnases, võib-olla umbes 1,5GtC aastas, kuid seda on raske mõõta. Kuna ligikaudu pool süsinikuemissioonidest jääb atmosfääri, põhjustab jätkuv saastamine kiirusega 8,4GtC aastas nii atmosfääri kui ka ookeanivee taseme tõusu.

Mis on selle lisa-süsinikdioksiidi pikaajaline sihtkoht? Noh, kuna fossiilkütuste hulk on palju väiksem kui ookeanites peituv kogus, jõuab see lisasüsinik pikas perspektiivis ookeanisse ning atmosfääri; taimestiku ja pinnase süsinikutase normaliseerub. Kuid see „pikaajaline“ periood tähendab tuhandeid aastaid. Atmosfääri ning pindmise veekihi vaheline tasakaalustumine toimub tõepoolest kiiresti, nagu ma juba mainisin, kuid joonistel 31.2 ning 31.3 toodud katkendjoon eraldab pindmise veekihi ülejäänud ookeaniveest. 50-aastase perioodi jooksul on see piir põhimõtteliselt nagu sein. 60ndate ning 70ndate aastate aatomipommide abil maailmas lahti lastud radioaktiivne süsinik on praegu jõudnud ookeanites vaid 400m sügavusele. Võrdluseks: ookeanite keskmine sügavus on ligikaudu 4000m.

Ookeanivesi ringleb aeglaselt: ühel tükil ookeani süvaveest kulub pinnale jõudmiseks ning uuesti alla langemiseks umbkaudu aastat. Süvavete ringlust põhjustavad nii temperatuurierinevused kui ka soolasisaldus, mistõttu seda nimetatakse termohaliinseks tsirkulatsiooniks (vastupidiselt pindmise veekihi ringlusele, mis sõltub tuulest).

Sellel ookeanivee aeglasel ringlusel on oluline tagajärg: meil on piisavalt fossiilkütuseid, et järgmise aasta jooksul kliimat märkimisväärselt mõjutada.

Kuhu see süsinik läheb?

Joonis 31.3 on ülelihtsustatud. Näiteks põhjustavad inimesed lisavooge, mida sellel joonisel näidatud pole: alles 1997. aastal vabastas ainuüksi turvase ning Borneo metsade põletamine 0,7GtC. Kogemata alguse saavad tulekahjud kivisöe vahekihtides vabastavad igal aastal umbes 0,25GtC.

Joonis 31.4: Väikese koguse  lagunemine vastavalt süsinikuahela Berni mudelile. Allikas: Hansen et al. (2007).

Siiski aitab see joonis meil umbkaudselt mõista mis juhtub lühiajaliselt erinevate teguviiside korral. Esiteks: kui süsinikusaaste jätkab oma praegust trajektoori, põletades järgmise aasta jooksul veel 500Gt, võime oodata süsiniku aeglast ookeanivette valgumist kiirusega 2GtC aastas. Aastaks 2055 neeldub pindmistes veekihtides vähemalt 100Gt sellest ning atmosfääri kontsentratsioon oleks eeltööstuslikust tasemest ligikaudu kaks korda suurem.

Kui fossiilkütuste põletamine 2050ndatel nullini langeks, väheneks ka see -gigatonnine süsiniku atmosfäärist ookeanisse valgumise kiirus tunduvalt. (Varemalt kujutasin ette, et see ookeanisse valgumine toimuks edasi, kuid see oleks tõsi vaid siis, kui pindmise veekihi ning atmosfääri süsinikutasemed poleks tasakaalus. Kuid, nagu ma varem juba märkisin, saabub see tasakaal vaid paari aasta jooksul.) Suur osa praegu atmosfääri lisatavast -gigatonnist valguks järgmise paari tuhande aasta jooksul ookeanitesse ning pindmine vesi langeks alla, asendudes sügavustest üles kerkiva uue veega.

Seega lahendaks meie süsinikukonsentratsiooni probleem end lõpuks ise, kuid seda alles paari tuhande aasta pärast. Ja seda vaid siis, kui eeldame, et see atmosfääri märkimisväärne muutmine ei muudaks drastiliselt meie ökösüsteeme. Näiteks on mõeldav, et ookeani pindmise veekihi hapestumine põhjustab suurejoonelist ookeanitaimestiku väljasuremist, alustades uut nõiaringi: hapestumine tähendab taimestiku suremist, mis omakorda tähendab, et taimed seovad ookeanist vähem süsinikdioksiidi, muutes ookeanid veelgi hapestatumaks. Sellised nõiaringid (mida teadlased nimetavad positiivse tagasiside ehk kasvava tagasisidega ringideks) on Maal ka varem toimunud: näiteks usutakse, et jääajad lõppesid võrdlemisi kiiresti tänu positiivse tagasisidega nõiaringidele, milles tõusvad temperatuurid põhjustasid lume ja jää sulamist, vähendades maapinna võimet päikesevalgust tagasi peegeldada, mistõttu pinnases neeldus rohkem energiat, põhjustades omakorda jällegi temperatuuri kasvu. (Sulanud lumi ehk vesi on palju tumedam kui jäätunud lumi.) Teine murettekitav positiivse tagasisidega nõiaring hõlmab endas metaanhüdraate, mida leidub gigatonnides sellistes paikades nagu Siberi Arktika jääs ning sadades gigatonnides mandrilavades. Üle ühe kraadine globaalne kliimasoojenemine võiks need metaanhüdraadid üles sulatada, mistõttu metaan vabaneks atmosfääri – metaan kiirendab kliimasoojenemist palju kiiremini kui .

Kuid see pole õige koht kliimasoojenemisega seotud võimalike tagajärgede detailseks kirjelduseks. Soovitan lugeda raamatuid „Ohtliku kliimamuutuse vältimine“ (Schellnhuber et al., 2006) ning „Globaalne kliimamuutus“ (Dessler ja Parson, 2006). Lisaks uurimustööd Hansen et al. (2007) ning Charney et al. (1979).

Selle peatüki eesmärk on arutleda selle üle, mis saaks siis, kui prooviksime kliimamuutuse probleemi lahendada atmosfäärist seotava süsinikdioksiidi abil. Järgnevalt kirjeldame selle protsessi energiakulusid.

Süsinikdioksiidi sidumise maksumus

Praegu on maapinnast süsiniku välja pumpamine väga tulus äri. Tulevikus on süsiniku tagasi maapinda pumpamine võib-olla sama tulus. Kui eeldame, et praegu ei võeta globaalse süsinikusaaste vastu võitlemiseks adekvaatseid meetmeid vastu, maksaks võib-olla paari kümnendi pärast mingisugune koalitsioon hiiglasliku tolmuimeja eest ning koristaks meie kõigi järelt selle segaduse ära.

Enne süsiniku õhust sidumise detailide kirjeldamist selgitame sellega seotud vältimatuid kulusid. Ükskõik millist tehnoloogiat me ka ei kasutaks, peavad need järgmina füüsikaseadusi, ning kahjuks nõuab sidumine atmosfäärist ning selle kontsentreerimine mingil määral energiat. Füüsikaseadused ütlevad, et see energiahulk peab olema vähemalt iga kilogrammi kohta (vt tabel). Kuna reaalsed protsessid on tavaliselt heal juhul vaid 35-protsendilise efektiivsusega, oleksin ma üllatunud, kui meil õnnestuks süsinikku siduda vähem kui 0,55kWh eest kilogrammi kohta.

Eeldame nüüd, et meie sooviks on neutraliseerida keskmise eurooplase toodang 11 tonni aastas ehk 30kg päevas inimese kohta. Selleks vajalik energiahulk varem mainitud eelduste kohaselt on 16,5kWh päevas inimese kohta. See on sama mis Briti elektritarve. Seega nõuaks hiigelsuure tolmuimeja kasutamine meilt oma elektritarbe kahekordistamist – või siis vähemasti praeguse elektritoodanguga võrreldes lisaenergia tootmist.

Kui hiiglasliku tolmuimeja tööshoidmise kulu saaks vähendada oleks see suurepärane – ehitame neid! Kuid ka lõpmatul hulgal uurimus- ja arengutööd ei saa füüsikaseadustest üle ega ümber. Ning nende seaduste kohaselt on õhust sidumiseks ning vedelikuks kontsentreerimiseks vaja vähemasti energiat iga kilogrammi kohta.

Olgu, mis on õhust sidumise parimaks meetodiks? Kirjeldan siinkohal selle hiiglasliku tolmuimeja ehitamise nelja tehnoloogiat:

A: keemilised pumbad,
B: puud,
C: kivimite kiirendatud murenemine,
D: ookeani väetamine.

A. Süsiniku sidumise keemilised tehnoloogiad

Keemilised tehnoloogiad hõlmavad endas tavaliselt süsinikdioksiidi sidumist kahes etapis.

Esmalt kontsentreeritakse atmosfääri madalast sisaldusest ning seejärel surutakse see väikesesse ruumalasse, et see siis kuhugi ära peita (näiteks maapinda kaevatud sügavasse auku või siis sügavale ookeanipõhja). Mõlemad selle protsessi osad nõuavad energiat. Füüsikaseadustest tulenev energiakulu on toodud järgnevas tabelis.

Tabel 3.19: atmosfäärist sidumise ning selle kontsentreerimise vältimatu energiakulu.

Energiakulu ()
Kontsentreerimine0,13
Kokkusurumine 0,07
Kokku0,20

2005. aastal olid parimad õhust sidumise publitseeritud meetodid üpriski ebaefektiivsed: nende energiakulu oli umbes kilogrammi kohta ning rahaline maksumus ligikaudu 140 dollarit ühe tonni kohta. Sellise energiakulu korral vajaksime ühele eurooplasele vastava päevase 30kg jaoks päevas – peaaegu sama, mis selle eurooplase igapäevane 125 kilovatt-tunnine energiatarve. Kas oleks võimalik ehitada paremaid tolmuimejaid?

Hiljuti hakkas „võib-olla maailma parim Maa kui bioloogilise, keemilise ja füüsikalise süsteemi tõlgendaja“ ehk kliimateadlane Wallace Broecker promoma ühte veel arendusjärgus olevat tehnoloogiat, mille töötas välja füüsik Klaus Lackner. Brockner kujutab ette, et maailmas jätkatakse fossiilkütuste põletamist praegusega samas tempos ning selle kokkuimemiseks tuleks meil ehitada miljonit -koristajat (millest igaüks oleks ligikaudu tavalise laevakonteineri suurune). Kui palju energiat on Lackneri protsessiks vaja? 2007. aasta juunis ütles Lackner mulle, et nende laboris saavutati tulemuseks kilogrammi kohta, kuid et alates sellest hetkest töötasid nad välja uue, vaigupõhise protsessi, mis kuivades tingimustes imeb süsinikdioksiidi ning niisketes tingimustes vabastab selle. 2008. aasta juunis ütles ta mulle, et kuivas kliimas väheneks kontsentreerimisprotsessi maksumus umbes 0,18 või 0,37 kilovatt-tunnini (madala kvaliteediga soojusenergia) ühe kilogrammi kohta. Seega oleks Lackneri kogukulu kilogrammi kohta 0,48kWh või vähem. Eurooplase tüüpilise saastamise korral oleks see ikkagi päevas, millest päevas moodustaks elekter ning ülejäänud soojusenergia.

Hurraa! Tehniline läbimurre! Kuid ärge arvake, et see on väike maksumus. Nende tolmuimejate tööshoidmiseks oleks meil vaja maailma energiatoodangut siiski ligi võrra suurendada.

B. Aga puud?

Hübriidpaplid saadakse erinevate papli sortide kombineerimise tulemusena. Need on ühed kiiremini kasvavad puud Põhja-Ameerikas. 

Puud on süsinikku siduvad süsteemid: need imevad süsinikdioksiidi atmosfäärist välja ning ei riku seejuures ühtegi füüsikaseadust. Need on „kaks-ühes“ masinad: need seovad süsinikku ning saavad oma energia sisseehitatud päikeseelektrijaamast. Need seovad süsinikku Päikeselt saadud energia abil. Needsamad fossiilkütused, mida me praegu põletame, said alguse just sellest protsessist. Seega – mis saaks, kui prooviksime kasutada fossiilkütuste põletamise vastandit? Kas saaksime luua puitu, matta selle maapinda ning samal ajal jätkata fossiilpuidu üles kaevamist ja põletamist? On hullumeelne ette kujutada puidu samaaegset matmist ning üleskaevamist. Kuid siiski: proovime leida vajaliku maa-ala, mille abil saaksime puude abil meie kliimaprobleemi lahendada.

Parimad taimed Euroopas seovad süsinikku kiirusega ligikaudu tonni kuiva puitu hektari kohta aastas (see on võrdne umbes tonni -ga hektari kohta aastas). Seega tuleks meil eurooplase aastase tonni suuruse saasteprobleemiga võitlemiseks kasvatada inimese kohta metsa 7500-l ruutmeetril. See vajatav pindala on inimese kohta kaks korda suurem kui Suurbritannia pindala inimese kohta. Ning lisaks tuleks meil leida koht, kuhu see 7,5 tonni puitu igal aastal panna! Kuna puidu tihedus on 500kg kuupmeetri kohta, oleks iga inimese puidu hoiustamiseks tarvis kuupmeetrit aastas. Ühele elueale vastav kogus puitu, mida tuleb ohutult hoiustada ning kindlasti mitte põletada, hõivaks kuupmeetrit. See on keskmise maja ruumalast viis korda suurem. Kui keegi soovitab, et võiksime kliimamuutuse tagajärgede elimineerimiseks kasutada puid, tuleb neil mõista, et selleks on tarvis riigi suurusega maa-alasid. Ma ei kujuta ette, kuidas see üldse töötaks.

C. Kivimite kiirendatud murenemine

Kas leidub kaval viis, mille abil süsiniku sidumise keemilise meetodi energiakulu märkimisväärselt vähendada? Siin on huvitav idee: süsinikdioksiidi siduvate kivimite pulbristamine ning vabasse loodusesse jätmine. See idee on justkui looduslike geoloogiliste protsesside kiirendamine. Lubage ma selgitan.

Jooniselt 31.3 välja jäänud kaks süsinikuvoogu on süsiniku valgumine kivimitest ookeanitesse (see on seotud kivimite loomuliku murenemisega) ning süsiniku loomulik merepõhja sadenemine, põhjustades hiljem uuesti kivimite teket. Need kaks voogu on üpriski väikesed: ligikaudu 0,2GtC aastas (0,7Gt aastas). Seega on need inimeste poolt põhjustatud praeguste süsinikuemissioonide kõrval tühised, olles korda väiksemad. Kuid murenemise kiirendamist pooldavate inimeste soovitusel saaksime kliimamuutusega selle protsessi abil võidelda. Selleks protsessiks sobivad kivimid oleksid kergestileitavad oliviinid või magneesiumsilikaadi mineraalid. See idee tähendab, et meil tuleks leida tühermaal asuvad kaevandused, mille ümber saaksime purustatud kivimid laiali jaotada... või siis võiksime need kivimid lihtsalt otsejoones ookeanisse visata. Igal juhul neelaksid need kivimid süsinikdioksiidi, muunduksid karbonaatideks ning seetõttu jõuaksid ikkagi lõpuks ookeanisse. Et pulbristada kive sidumiseks vajaliku suuruseni on meil vaja vaid 0,04kWh iga kg seotava kohta. Oot-oot! Kas see pole mitte vähem kui see kilogrammi kohta, mida meil füüsikaseaduste kohaselt vaja läheb? Jah, kuid tegu pole veaga: need kivid ise on puuduva energia allikaks. Silikaatide energiasisaldus on suurem kui karbonaatidel, mistõttu peitub atmosfäärist sidumise energia neis kivimites endis.

Mulle meeldib selle plaani energiakulu, kuid keeruline vastust vajav küsimus on järgmine: kes sooviks vabatahtlikult oma riigi pulbristatud kivimitega katta?

D. Ookeanide väetamine

Keemilise, metsade ja kivimite pulbristamise meetodite üheks probleemiks atmosfäärist sidumisel on fakt, et need nõuaksid palju tööd ning et mitte keegi pole motiveeritud seda tööd tegema (vähemasti juhul, kui mingisugune rahvusvaheline kokkulepe selle eest ei maksa). Hetkel on süsinikdioksiidi hind lihtsalt liiga madal.

Süsiniku sidumise viimane meetod on selles suhtes veidi eriline. Selleks ideeks on veenda ookeani süsinikku tavapärasest veidi kiiremini siduma – see oleks kalakasvatuse kõrvalproduktiks.

Joonis 31.6: piirkonda Atlandi ookeanis – igaühe pindala 900 ruutkilomeetrit. Sellisel hulgal ookeanit on vaja, et ookeani väetamise abil katta Suurbritannia süsinikdioksiidiemissioonide mõju keskkonnale.

Mõningates maailma piirkondades valitseb suur toidupuudus. Teistes paikades on viimase aasta ülekalastamise tõttu jällegi vähe kalu. Ookeani toitmine tähendab ookeanite väetamist, toetades seeläbi toiduahela alumisi lülisid ning võimaldades ookeanitel toetada suuremal hulgal taime- ja loomaliike ning seeläbi juhuslikult ka rohkem süsinikku siduda. Austraalia teadlase Ian Jonesi juhtimise all pumpaksid ookeani toitmise insenerid sobivatesse kalavaestesse ookeanipiirkondadesse lämmastikurikast väetist, näiteks uuread. Nende teadlaste sõnul aitaks 900-ruutkilomeetrise ookeani ala väetamine siduda umbkaudu 5Mt süsinikdioksiidi aastas. Jonesi ning tema kolleegide arvates sobiks see toitmisprotsess paljude lämmastikuvaeste ookeanipiirkondade jaoks. Siia alla käib suur osa Atlandi ookeani põhjaosast. Paneme selle idee kaardile. Ühendkuningriikide emissioonid on hetkel ligikaudu 600Mt süsinikdioksiidi aastas. Suurbritannia süsinikdioksiidiemissioonide neutraliseerimiseks tuleks seega väetada sellist ookeanipiirkonda. Joonisel 31.6 toodud kaardil on näidatud need alad õiges skaalas Briti saarte kõrval. Nagu alati nõuab plaan, mis ka tegelikult töötaks, riigisuurust maa-ala. Ning me pole veel kirjeldanudki, kuidas toota vajalikus koguses uuread.

Kuigi seda ideed ei ole veel katsetatud (ning see on hetkel veel ebaseaduslik), on see minu meelest üpriski põnev, sest vastupidiselt geoloogilisele süsiniku salvestamisele on see üheks tehnoloogiaks, mida saaks rakendada ka siis, kui rahvusvaheline kogukond ei nõustuks süsinikureostuse kõrge väärtusega. Kalamehed võiksid ookeaneid väetada lihtsalt selleks, et rohkem kalu püüda.

Teokarp

Kommenteerijatelt võib oodata vastuseisu ookeani manipuleerimisele, keskendudes potentsiaalse kasu asemel vaid võimalikele ebakindlatele mõjudele. Proovitakse külvata hirmu, pannes inimesi uut tundmatut asja kartma. Inimesed oleksid valmis juba olemasolevate kommete ( lisamisega atmosfääri) kasvuga passiivselt leppima, kuid tuleviku elutingimusi parandavate innovatsioonide osas ollakse skeptilised. Igasugu riske proovitakse vältida.

Ian Jones

Meie kui inimkond ei tohi atmosfääri lasta kõike – või isegi suurt osa – fossiilkütuste süsinikdioksiidist. Sellega garanteeriksime drastilise kliimamuutuse ning saaksime tulemuseks täiesti teistsuguse planeedi...

J. Hansen et al (2007)

„Ohtliku kliimamuutuse vältimine“ on võimatu – ohtlik kliimamuutus on juba saavutatud. Küsimuseks on: kuidas vältida katastroofilist kliimamuutust?

David King, Ühendkuningriikide peateadur, 2007

Märkused ja edasine lugemine

Kliimamuutus ... oli vastuoluline küsimus. Euroopas ning Ameerikas laiutab kliimamuutuse alal jätkuvalt suur vahe peavoolu ning haritud eliidi arvamustes. [voxbz]

Kus see süsinik on? Allikad: Schellnhuber et al. (2006), Davidson ja Janssens (2006).

Fossiilkütuste põletamise kiirus... Allikas: Marland et al. (2007).

Hiljutistest uurimustest selgub, et ookeanite süsiniku sidumise kiirus on aeglustumas. www.timesonline.co.uk/tol/news/uk/science/article1805870.ece, www.sciencemag.org/cgi/content/abstract/1136188, [yofchc], Le Quéré et al. (2007).

Ligikaudu pool süsinikdioksiidiemissioonidest jääb atmosfääri. Et tõsta atmosfäärilise kontsentratsiooni osakese võrra miljonis (1 ppm) tuleb atmosfääri lisada 2,1 miljonit tonni süsinikku (7,5Gt ). Kui kogu atmosfääri pumbatav jääks sinna pidama, kasvaks see kontsentratsioon igas aastas 3ppm võrra. Tegelikkuses kasvab see aga iga-aastaselt 1,5ppm võrra.

Radioaktiivne süsinik... on langenud sügavuseni vaid 400m. Kõigi alates 1970ndate lõpust uuritud piirkondade puhul on 14C keskmine penetratsioonisügavus 390±39m (Broecker et al., 1995). Allikas: [3e28ed].

1C suurem globaalne soojenemine võiks metaanhüdraadid võib-olla sulatada. Allikas: Hansen et al. (2007).

Tabel. atmosfäärist kontsentreerimise ning kokkusurumise välditav maksumus. kontsentreerimiseks atmosfäärist 0,3-protsendilt -protsendini  (atmosfäärirõhul) on vältimatult tarvis molekuli kohta ehk 0,13kWh/kg. Ideaalne energiakulu süsinikdioksiidi kokkusurumiseks baarini (rõhk, mida mainisime geoloogilise salvestuse puhul) on 0,067kWh/kg. Seega oleks sidumise ning kokkusurumise ideaalne kogumaksumus 0,2kWh/kg. Vastavalt IPCC süsiniku sidumise ja salvestuse eriraportile oleks teise sammu ( kokkusurumine baarini) praktiline maksumus 0,11kWh/kg. (0,4GJ tonni kohta; 18kJ ühe mooli kohta; molekuli kohta.)

Süsinikdioksiidi matmine maapinda või sügavale ookeanisse. Vt Williams (2000). „Selleks, et suur osa sisestatavast süsinikdioksiidist ookeanis ka püsiks, peab see süstimine toimuma väga sügaval. Tekkimas on konsensus, mille kohaselt parimaks lähituleviku strateegiaks on lasta see lahti 10001500 meetri sügavusel. Seda saaks teha juba praegu olemasoleva tehnoloogia abil.“

Vt ka IPCC eriraport: www.ipcc.ch/ipccreports/srccs.htm.

2005. aastal olid süsiniku sidumise parimad meetodid üsna ebaefektiivsed: nende energiakulu oli umbkaudu 3,3kWh/kg ning rahaline maksumus umbes 140 dollarit ühe tonni kohta. Keith et al. (2005), Lackner et al. (2001), Herzog (2003), Herzog (2001), David ja Herzog (2000).

Wallace Broecker, kliimateadlane... www.af-info.or.jp/eng/honor/hot/enrbro.html. Tema raamat, milles promotakse kunstlikke puid: Broecker ja Kunzig (2008).

Euroopa parimad taimed seovad süsinikku kiirusega ligikaudu tonni kuiva puitu hektari kohta aastas. Allikas: Teaduse ja Tehnoloogia Erikommittee.

Kivimite kiirendatud murendamine. Vt Schuiling ja Krijgsman (2006).

Ookeani väetamine. Vt Judd et al. (2008). Vt ka Chisholm et al. (2001). Ookeani väetamisega seostatud riske kirjeldatakse uurimuses Jones (2008).

Jah ütlemine

Kuna Suurbritannia saab hetkel oma energiast fossiilkütustest, ei ole üllatav, et neist lahti saamiseks on meil vaja teha suuri, suuri muutusi: täielik muutus transpordisektoris, suured muutused hoonete küttesüsteemides ning 1020 kordne tõus rohelise energia tootmises.

Võttes arvesse fakti, et rahva üldine tendents on öelda tuuleparkidele „ei,“ tuumaenergiale „ei,“ loodete energia tammidele „ei“ ning „ei“ ka kõigele muule, mis ei põhine fossiilkütuste süsteemidel, pole ma kindel, et me fossiilkütustest piisavalt kiiresti loobuda suudame. Selle asemel valitakse vaid osaliselt efektiivsed meetmed: veidi erinevad fossiilkütuste-elektrijaamad, -autod ning -majapidamisküte, väike osakaal süsiniku maksustamist, siin-seal mõned tuulegeneraatorid, ebapiisav hulk tuumaelektrijaamasid.

Me peame valima plaani, mis ka tegelikult töötaks. Sellise plaani koostamine on võimalik, kuid see ei saa olema kerge.

Me peame lõpetama „ei“ ütlemise ning ütlema „jah.“ Me peame selle näitemängu lõpetama ning ka tegelikult ehitama asuma.

Kui teile meeldiks aus, realistlik energiapoliitika, mis ka efektiivne oleks, siis palun edastage see sõnum kõigile oma poliitilistele esindajatele ning võimalikele kandidaatidele.

Tänuavaldused

Minu juhatamisel keskkonnateadlikkuseni sooviksin ma tänada Robert MacKayd, Gale Rybat ning Mary Archerit.

Juba kümnendeid kestnud arutelude üle iga detaili osas, sooviksin ma tänada Matthew Bramleyt, Mike Catesi ning Tim Jervist.

Heade ideede, inspiratsiooni, alternatiivsete väljendusviiside soovitamise, kasuliku kriitika ning julgustuse eest sooviksin ma tänada järgnevaid inimesi, kes kõik aitasid kaasa selle raamatu tegelikkuseks saamisele: John Hopfield, Sanjoy Mahajan, Iain Murray, Ian Fells, Tony Benn, Chris Bishop, Peter Dayan, Zoubin Ghahramani, Kimber Gross, Peter Hodgson, Jeremy Lefroy, Robert MacKay, William Nuttall, Mike Sheppard, Ed Snelson, Quentin Stafford-Fraser, Prashant Vaze, Mark Warner, Seb Wills, Phil Cowans, Bart Ullstein, Helen de Mattos, Daniel Corbett, Greg McMullen, Alan Blackwell, Richard Hills, Philip Sargent, Denis Mollison, Volker Heine, Olivia Morris, Marcus Frean, Erik Winfree, Caryl Walter, Martin Hellman, Per Sillrén, Trevor Whittaker, Daniel Nocera, Jon Gibbins, Nick Butler, Sally Daultrey, Richard Friend, Guido Bombi, Alessandro Pastore, John Peacock, Carl Rasmussen, Phil C. Stuart, Adrian Wrigley, Jonathan Kimmitt, Henry Jabbour, Ian Bryden, Andrew Green, Montu Saxena, Chris Pickard, Kele Baker, Davin Yap, Martijn van Veen, Sylvia Frean, Janet Lefroy, John Hinch, James Jackson, Stephen Salter, Derek Bendall, Deep Throat, Thomas Hsu, Geoffrey Hinton, Radford Neal, Sam Roweis, John Winn, Simon Cran-McGreehin, Jackie Ford, Tillyorni Lord Wilson, Dan Kammen, Harry Bhadeshia, Colin Humphreys, Adam Kalinowski, Anahita New, Jonathan Zwart, John Edwards, Danny Harvey, David Howarth, Andrew Read, Jenny Smithers, William Connolley, Ariane Kossack, Sylvie Marchand, Phil Hobbs, David Stern, Ryan Woodard, Noel Thompson, Matthew Turner, Frank Stajano, Stephen Stretton, Terry Barker, Jonathan Köhler, Peter Pope, Aleks Jakulin, Charles Lee, Dave Andrews, Dick Glick, Paul Robertson, Jürg Matter, Alan ja Ruth Foster, David Archer, Philip Sterne, Oliver Stegle, Markus Kuhn, Keith Vertanen, Anthony Rood, Pilgrim Beart, Ellen Nisbet, Bob Flint, David Ward, Pietro Perona, Andrew Urquhart, Michael McIntyre, Andrew Blake, Anson Cheung, Daniel Wolpert, Rachel Warren, Peter Tallack, Philipp Hennig, Christian Steinrücken, Tamara Broderick, Demosthenis Pafitis, David Newbery, Annee Blott, Henry Leveson-Gower, John Colbert, Philip Dawid, Mary Waltham, Philip Slater, Christopher Hobbs, Margaret Hobbs, Paul Chambers, Michael Schlup, Fiona Harvey, Jeremy Nicholson, Ian Gardner, Sir John Sulston, Michael Fairbank, Menna Clatworthy, Gabor Csanyi, Stephen Bull, Jonathan Yates, Michael Sutherland, Michael Payne, Simon Learmount, John Riley, Lord John Browne, Cameron Freer, Parker Jones, Andrew Stobart, Peter Ravine, Anna Jones, Peter Brindle, Eoin Pierce,Willy Brown, Graham Treloar, Robin Smale, Dieter Helm, Gordon Taylor, Saul Griffith, David Cebonne, Simon Mercer, Alan Storkey, Giles Hodgson, Amos Storkey, Chris Williams, Tristan Collins, Darran Messem, Simon Singh, Gos Micklem, Peter Guthrie, Shin-Ichi Maeda, Candida Whitmill, Beatrix Schlarb-Ridley, Fabien Petitcolas, Sandy Polak, Dino Seppi, Tadashi Tokieda, Lisa Willis, Paul Weall, Hugh Hunt, Jon Fairbairn, Miloš T. Kojaševic, Andrew Howe, Ian Leslie, Andrew Rice, Miles Hember, Hugo Willson, Win Rampen, Nigel Goddard, Richard Dietrich, Gareth Gretton, David Sterratt, Jamie Turner, Alistair Morfey, Rob Jones, Paul McKeigue, Rick Jefferys, Robin S Berlingo, Frank Kelly, Michael Kelly, Scott Kelly, Anne Miller, Malcolm Mackley, Tony Juniper, Peter Milloy, Cathy Kunkel, Tony Dye, Rob Jones, Garry Whatford, Francis Meyer, Wha-Jin Han, Brendan McNamara, Michael Laughton, Dermot Mc-Donnell, John McCone, Andreas Kay, John McIntyre, Denis Bonnelle, Ned Ekins-Daukes, John Daglish, Jawed Karim, Tom Yates, Lucas Kruijswijk, Sheldon Greenwell, Charles Copeland, Georg Heidenreich, Colin Dunn, Steve Foale, Leo Smith, Mark McAndrew, Bengt Gustafsson, Roger Pharo, David Calderwood, Graham Pendlebury, Brian Collins, Paul Hasley, Martin Dowling, Martin Whiteland, Andrew Janca, Keith Henson, Graeme Mitchison, Valerie MacKay, Dewi Williams, Nick Barnes, Niall Mansfield, Graham Smith, Wade Amos, Sven Weier, Richard McMahon, Andrew Wallace, Corinne Meakins, Eoin O’Carroll, Iain McClatchie, Alexander Ac, Mark Suthers, Gustav Grob, Ibrahim Dincer, Ian Jones, Adnan Midilli, Chul Park, David Gelder, Damon Davis, George Wallis, Philipp Spöth, James Wimberley, Richard Madeley, Jeremy Leggett, Michael Meacher, Dan Kelley, Tony Ward-Holmes, Charles Barton, James Wimberley, Jay Mucha, Johan Simu, Stuart Lawrence, Nathaniel Taylor, Dickon Pinner, Michael Davey, Michael Riedel, William Stoett, Jon Hilton, Mike Armstrong, Tony Hamilton, Joe Burlington, David Howey, Jim Brough, Mark Lynas, Hezlin Ashraf Ball, Jim Oswald, John Lightfoot, Carol Atkinson, Nicola Terry, George Stowell, Damian Smith, Peter Campbell, Ian Percival, David Dunand, Nick Cook, Leon di Marco, Dave Fisher, John Cox, Jonathan Lee, Richard Procter, Matt Taylor, Carl Scheffler, Chris Burgoyne, Francisco Monteiro, Ian McChesney ja Liz Moyer. Tänan teid kõiki.

Kliimaandmete leidmisel abistamise eest sooviksin tänada Emily Shuckburghi. Võlgnen suure tänu Kele Bakerile joonisel 20.21 toodud elektriautode andmete kogumisel. Uurimustöö-alase abi eest sooviksin tänada David Sterratti ning suurepäraste toimetusalaste nõuannete eest Niall Mansfieldi, Jonathan Zwarti ning Anna Jonesi.

Raamatusse sisse jäänud vead on loomulikult minu enda omad.

Eriti suure tänu võlgnen ma minu arvuti töökorras hoidmise eest Seb Willsele, Phil Cowansile, Oliver Stegle'ile, Patrick Welche'ile ning Carl Schefflerile.

Ma tänan Kaplinna Aafrika Matemaatikateaduste Instituuti ning Cambridge'i Matemaatikateaduste Isaac Newtoni Instituuti nende külalislahkuse eest.

Suured tänud Cambridge'i Arvutilaboratooriumi Digitaalse Tehnoloogia Grupile ning Heriot-Watt Ülikooli Füüsika Osakonnale, kes jagasid oma ilmastikuandmeid veebis. Ma tänan Jersey Water'it ning Guernsey Electricity't jalutuskäikude eest nende rajatistes.

TinyURL teenuse pakkumise eest tänan ma ettevõtet Gilby Productions. TinyURL on Gilby Productions kaubamärk. Tänan Eric Johnstoni ning ettevõtet Satellite Signals Limited kaartide kena kasutajaliidese pakkumise eest [www.satsig.net].

Suured tänud David Sternile portree eest, Becky Smithile suurepäraste joonistuste eest ning Claire Jervisele fotode eest lehekülgedel  ix, 31, 90, 95, 153, 245, 289 ja 325. Ülejäänud fotode eest tänan järgnevaid inimesi:  Robert MacKay, Eric LeVin, Marcus Frean, Rosie Ward, Harry Bhadeshia, Catherine Huang, Yaan de Carlan, Pippa Swannell, Corinne Le Quéré, David Faiman, Kele Baker, Tim Jervis ning anonüümsed isikud Wikipedia veebilehel. Sooviksin ka tänada Londoni linnapea kontorit, mis jagas minuga reklaamide koopiaid.

Kunstitöö leheküljel 240 on „Teener Londonis“ ning leheküljel 288 Banksy „Päevalilled“ (www.banksy.co.uk). Suured tänud, Banksy!

Süsinikuemissioonide korvamise teenust pakkus cheatneutral.com.

See raamat on kirjutatud LATEX süsteemiga Ubuntu GNU/Linux operatsioonisüsteemis tasuta tarkvara abil. Joonised on koostatud gnuploti ning metaposti abiga. Mitmed kaardid on loodud Paul Wesseli ja Walter Smithi gmt tarkvara abil. Suured tänud ka Martin Weineltile ning OMC'le. Tänud ka järgnevatele isikutele ning kõigile, kes jagavad tasuta tarkvara: Donald Knuth, Leslie Lamport, Richard Stallman, Linus Torvalds.

Viimasena sooviksin tänada Gatsby Sihtasutust (Gatsby Charitable Foundation), kes toetas mind ja minu uurimisrühma nii enne, pärast kui ka selle raamatu kirjutamise ajal.

Tehniline
Autod II
Joonis A.1: Peugeot 206 õhutakistustegur on 0,33. Foto: Christopher Batt.

Andsime hinnangu, et kilomeetri läbimiseks kasutab üks auto umbes energiat.

Millele see energia kulub? Kuidas sõltub see auto omadustest? Kas saaksime ehitada korda efektiivsema auto? Kujutame seda autosõitu lihtsa joonistusena ning püüame kirjeldada kuhu see energia läheb. Tüüpilise fosiilkütusel töötava auto energia jaotub neljaks peamiseks teguriks, mida kohe ka lähemalt kirjeldame:

  1. Kiirendus ning sellele järgnev aeglustamine pidurite abil
  2. Õhutakistus
  3. Veeremistakistus
  4. Soojus – energiast läheb soojusena raisku, sest energiamuundamisahel on ebaefektiivne.

Selle raamatu arvutuste üks võtmetähtsusega valem on järgmine:

Näiteks on massiga m=1000kg ning kiirusel kilomeetrit tunnis (ehk v=28m/s) liikuva auto energia

Ignoreerime esialgu veeremistakistust – lisame selle mõju peatüki lõpu poole.

Joonis A.2: Meie joonistus: auto liigub kiirusega  kahe, üksteisest vahemaa  kaugusel asuva stoppmärgi vahel.

Eeldame, et autojuht kiirendab järsult kuni kiiruseni ning hoiab seda kiirust vahemaa ehk kahe valgusfoori, stoppmärgi või ummiku vahelise teepikkuse jooksul. Selle teepikkuse lõpus vajutab ta järsult piduripedaalile ning muundab seega kogu kineetilise energia pidurite abil soojuseks. (Sellel sõidukil puudub regeneratiivne pidurdussüsteem.) Kohe, kui auto saab uuesti liikuda, kiirendab autojuht tagasi kiiruseni . See kiirendus annab autole kineetilise energia; pidurdamine viskab selle kineetilise energia minema.

Energia ei kulu ainult piduritesse: kui auto liigub, hakkab selle ümber olev õhk pöörlema. Auto taha tekib õhukeeris, mis liigub ligikaudu sama kiirusega . Milline neist kahest energialiigist on suurem: kas õhukeerise kineetiline energia või pidurdamisel tekkiv soojus? Uurime välja.

Joonis A.3: Kiirusega  liikuv auto moodustab enda järele õhukeerise; selle keerise ristlõikepindala on ligikaudu võrdne auto esiosa pindalaga ning keerise liikumiskiirus on ligikaudu võrdne kiirusega .
  • Aja jooksul moodustunud keerise ruumala on Avt, milles on keerise ristlõikepindala, mis on sarnane auto esiosa pindalaga. (Voolujoonelise auto puhul on veidi väiksem kui auto esiosa pindala Aauto ning keerise ristlõikepindala ja auto esiosa pindala vahelist suhet nimetatakse õhutakistusteguriks c~o . Järgmistes valemites tähistab  auto efektiivset pindala ehk c~oAauto). Keerise mass on m˜ohk=ρAvt (milles  on õhutihedus) ning see pöörleb kiirusega , mistõttu selle kineetiline energia on:

    ning kineetilise energia tootmiskiirus pöörlevas õhus on:

    Seega on auto poolt toodetud koguenergia:

Mõlemad energia hajumise viisid skaleeruvad kuupvalemina v3. Seega saame selle näite abil ennustada, et autojuht, kes sõidab poole aeglasemalt, vähendab oma võimsust korda. Kui ta läbib sama vahemaa, kulub selle läbimiseks kaks korda rohkem aega, kuid selle vahemaa läbimiseks kulunud energiahulk on neli korda väiksem.

Milline neist kahest energia hajumise viisist on kulukam – kas pidurid või õhukeerised? See sõltub suhtest

Kui see suhe on suurem kui , hajub pidurdamisel rohkem energiat. Kui see on väiksem kui , hajub rohkem energiat õhukeerises. Paigutades selle võrrandi liikmed ümber saame järeldada, et see suhe on suurem kui olukorras, kus

Joonis A.4: Et teada saada, kas energia kulub peamiselt pidurdamiseks või õhukeerise tekitamiseks, võrdleme auto massi ning kahe stoppmärgi vahelise õhukeerise massi.

Ad on kahe stoppmärgi vahele jääva õhukeerise ruumala. Ning ρAd on selle õhukeerise mass. Seega on meie olukord väga lihtne: energia hajumises domineerib piduritesse valguv kineetiline energia siis, kui auto mass on suurem kui kahe stoppmärgi vahele jääva õhukeerise mass; kui auto mass on väiksem, domineerib energia hajumises õhukeerise moodustamine (joonis A.4).

Joonis A.5: Auto poolt tarbitav energiahulk on maanteel sõites proportsionaalne selle ristlõikepindalaga ning linnaliikluses selle massiga. Arvake, kummas olukorras on kütusekulu väiksem: kas vasakul asuva Volkswageni või paremal asuva kosmoselaeva korral?

Proovime leida nende stoppmärkide vahelise erikauguse d, allpool mida domineerib energiahajumises pidurdamine ning ülalpool mida domineerib õhukeeris (ehk õhutakistus). Kui auto esiosa pindala on:

ning õhutakistustegur on c˜o ning mass m=1000kg, siis on erikauguseks:

Seega domineerib linnaliikluses kineetiline energia ning pidurdamine, kui peatuste vaheline kaugus on alla . Sellistes olukordades on energia säästmiseks hea idee:

  1. vähendada oma auto massi,
  2. kasutada regeneratiivse pidurdussüsteemiga autot (mis vähendab pidurdamisel hajuvat energiahulka ligi poole võrra – vt peatükk Parem transport),
  3. sõita aeglasemalt.

Kui stoppmärkide vahele jääb rohkem kui , domineerib energia hajumises õhutakistus. Sellises olukorras ei ole teie auto mass eriti oluline. Energia hajumine on peaaegu sama nii ühe kui ka kuue reisija korral. Energia hajumist saab vähendada:

  1. vähendades auto õhutakistustegurit
  2. vähendades auto ristlõikepindala
  3. sõites aeglasemalt.
Tabel 4.1: Energiakulu vahemaa kohta.
Auto kiirusel
Jalgratas kiirusel
Lennukid (A380) kiirusel

Auto tegelik energiatarve on võrdne valemis A.2 toodud energia hajumise ning mootori ja ülekande efektiivsusega seotud teguri korrutisega. Tüüpilise bensiinimootori efektiivsus on ligikaudu , mistõttu ligikaudu kolmveerand auto poolt neelatavast keemilisest energiast kulub auto mootori ja radiaatori soojendamiseks ning vaid veerand on „kasulik“ energia:

Kontrollime seda teooriat, pannes maanteesõidule vastavad arvud meie valemisse. Olgu ehk 31m/s ning A=c˜oAauto=1m2. Mootoris kulutatud energia on ligikaudu

Kui sõidaksite sellise kiirusega iga päev vähemalt ühe tunni, läbiksite kilomeetrit ning kasutaksite energiat päevas. Kui sõidaksite aga poole aeglasemalt kuid kaks tundi päevas, läbiksite sama vahemaa ning kasutaksite vaid energiat. See lihtne teooria näib kehtivat peatükis Autod toodud kütusekulude graafikuga. Lisaks võimaldab see teooria meil mõista, kuidaks saaksime autode energiakulu vähendada. Kuid sellel teoorial on ka mõned vead – kirjeldame neid kohe varsti.

Kas meil oleks võimalik ehitada auto, mis kulutaks korda vähem energiat kuid liiguks ikkagi kiirusega ? Ei. Kindlasti mitte juhul, kui selle auto kuju on sama. Sellise kiirusega maanteel liikumisel kulub enamus energiast õhukeerise tekitamiseks. Auto ehitusmaterjalide muutmine ei tekita siin mingit muutust. Fossiilkütusel töötava mootori tehnoloogia hämmastav edasiminek suudaks selle efektiivsust võib-olla -lt protsendilt -ni tõsta, tuues fossiilkütust tarbiva auto energiakulu -ni kilomeetri kohta.

Elektriautodel on mõningad eelised: kuna energiaallika kaal kasuliku kohta on kütuseautost ligikaudu parem, võiks elektriauto kaaluda kuni korda vähem. Lisaks on elektriauto energiaahel palju efektiivsem: elektrimootorite efektiivsus on kuni .

Tuleme elektriautode juurde tagasi selle peatüki lõpus.

Tabel 4.3: Õhutakistustegurid ning takistuspindalad.

Õhutakistustegurid


AUTOD


Honda Insight

0,25

Prius

0,26

Renault 25

0,28

Honda Civic (2006)

VW Polo GTi

0,32

Peugeot 206

0,33

Ford Sierra

0,34

Audi TT

0,35

Honda Civic (2001)

0,36

Citroën 2CV

0,51

Jalgrattur

0,9

Kaugliinibuss

0,425

LENNUKID


Cessna

0,027

Learjet

0,022

Boeing 747

0,031

Jalgrattad ning skaleerimistrikk

Siin on lõbus küsimus: milline on ühe jalgratta energiakulu kilovatt-tundides kilomeetri kohta? Jalgrattaga sõitmisel kulub energiat samal põhjusel nagu autogagi liikudes: jalgratta taha tekib õhukeeris. Me võiksime oma arvutust alustada täiesti otsast peale, asendades autole kehtivad numbrid jalgrattale vastavate väärtustega. Kuid võime ka kasutada kavalat trikki, et saada autole kehtinud valemist jalgrattale kehtiv vastus. Auto poolt kulutatav energia läbitud vahemaa kohta tuleneb õhukeerisega seotud energiatarbest,

jagatud kiirusega v, ehk

Väärtus „“ tulenes mootori ebaefektiivsusest, on õhutihedus, pindala A=c˜oAauto on auto esiosa efektiivne pindala ning  on selle kiirus.

Võrdleme nüüd jalgratast autoga, jagades väärtuse 4×12ρAv2 jalgratta korral väärtusega 4×12ρAv2 auto korral. Kõik murrud ning tihedused saab taandada ning seega on süsiniku jõul liikuva jalgrattamootori efektiivsus võrdne süsiniku jõul töötava automootori efektiivsusega (mis on tõsi). See suhe on:

Seda nippi nimetatakse skaleerimistrikiks. Kui me teame, milline on energiatarbe suhe kiiruse ja pindalaga, saame ennustada ka täiesti erineva kiiruse ja kujuga esemete energiakulu. Nimelt: eeldame, et pindalade suhe on

(Neli jalgratturit istuvad õlg-õla vastas, kattes ühe auto laiuse ala.) Eeldame, et need jalgrattad pole just kõige voolujoonelisemad:

Ning eeldame, et jalgratturite kiirus on , seega

Siis

Niisiis tarbib kiirusega liikuv jalgrattur ühe kilomeetri läbimiseks umbes energiast, mida kulutab ühe sõitjaga auto maanteel (2,4kWh jaoks).

Kui tahaksime ehitada sõidukit, mille kütuseefektiivsus on parem kui autol, siis on vastus väga lihtne: sõitke jalgrattaga.

Aga veeremistakistus?

Oleme seni mõningaid asju täielikult ignoreerinud: auto rehvides ja laagrites kuluv energia; energia, mis kulub asfaldi vastu hõõrduvate rehvide müra tekitamiseks; energia, mis kulub rehvidelt kummi maha hõõrumiseks; energia, mida autod kulutavad maapinna värisema panemiseks. Kokkuvõtvalt nimetatakse neid energiatarbijaid veeremistakistuseks. Veeremistakistuse tavapärane mudel väidab, et veeremistakistuse jõud on proportsionaalne sõiduki kaaluga ning ei sõltu selle kiirusest. Seda proportsionaalsuskonstanti nimetatakse veeremistakistusteguriks Cvt. Allpool toodud tabelis on näha mõned tavapärased väärtused.

Tabel 4.5: Mõned veeretakistused.

Ratas

Cvt

Rong (teras vastu terast) 

0,002

Jalgratta ratas

0,005

Veoauto kummist rehvid

0,007

Sõiduauto kummist rehvid

0,010

Veeremistakistus on võrdne kaalu ning veeremistakistusteguri Cvt korrutisega. Veeremistakistus sisaldab endas rehvi paindumisest tulenevat takistust, rattalaagri hõõrdumisest tulenevaid kadusid, nii teepinna kui ka sõiduki vibratsiooni (seehulgas ka sõiduki vedrustuse poolt neelatavat energiat) ning ratta teel või rööpal libisemisest tulenevaid kadusid. See tegur sõltub teepinna kvaliteedist, ratta materjalist ning temperatuurist. Siin toodud andmed kehtivad tasapinnalise tee kohta. [2bhu35]

Joonis A. 9:  Auto kütusekulu (energia vahemaa kohta) lihtne teooria ühtlase kiiruse korral. Eeldused: auto mootor kasutab energiat efektiivsusega 0,25 sõltumata kiirusest; c˜oAauto=1m2; mauto=1000kg; ja Cvt=0,01.

Auto veeremistakistustegur on ligikaudu 0,01. Veeremistakistuse mõju on seega sarnane olukorrale, kus proovime lõputult sõita üles mäest, mille tõus on üks sajandik. Seega on veeremisel tekkiv hõõrdumine ligikaudu njuutonit tonni kohta sõltumata kiirusest. Võime seda tõestada, lükates tavalist ühetonnist autot tasasel teel edasi. Kui auto juba liikuma saate, on seda võimalik vaid ühe käe abil liikumas hoida. ( njuutonit on võrdne saja õuna kaaluga.) Seega on ühetonnise sõiduki, mis liigub kiirusel 31m/s, veeremistakistuse ületamiseks vajalik võimsus

mis -protsendilise mootori efektiivsuse korral tähendab, et mootor nõuab 12kW energiat. Takistuse ületamiseks vajalik võimsus oli aga 80kW. Seega kulub suure kiirusega sõitmisel ligikaudu energiast veeremistakistuse  ületamiseks.

Joonisel A.9 on toodud teoreetiline kütusekulu (energia läbitud vahemaa kohta) ühtlase kiiruse korral, võttes arvesse nii õhu- kui ka veeremistakistust.

Kiirus, mille korral auto veeremistakistus on võrdne õhutakistusega, on leitav valemist

ehk siis

Jalgrattad

Jalgratta puhul (m=90kg, A=0,75m2) toimub veeremistakistuse domineerimiselt õhutakistuse domineerimisele üleminek kiirusel ligikaudu . -kilomeetrise ühtlase tunnikiiruse korral kulutab rattasõit umbes 2,2kWh energiat kilomeetri kohta. Aerodünaamilise asendi korral vähendaksite oma takistuspindala, mistõttu teie energiatarve langeks umbes kilovatt-tunnini kilomeetri kohta.

Rongid

Graafikul toodud kaheksavagunilise rongi (m=400000kg, A=11m2) jaoks on kiirus, ülalpool mida õhutakistus on suurem kui veeremistakistus, järgmine:

Ühevagunilise rongi (m=50000kg, A=11m2) jaoks on seesama kiirus

Võimsuse sõltuvus kiirusest

Kui ütlesin, et sõidukiiruse vähendamisel poole võrra väheneb kütusekulu (kilomeetrites liitri kohta) neli korda, olid mõned inimesed skeptilised. Selles on oma tõetera: enamikel automootoritel on optimaalne pöörlemiskiirus ning auto käikude arv määrab ära kindlad kiirused, millega sõites mootor on kõige efektiivsem. Kui minu eksperiment, milles sõidukiiruse vähendamine poole võrra viib selle kiiruse mootori efektiivseimast kiirusvahemikust välja, ei pruugi kütusekulu tõesti neli korda langeda. Minu eeldus, et mootori efektiivsus on kõigi kiiruste ja koormuste korral sama, viis meid järelduseni, et aeglasemalt (kilomeetrites liitri kohta) sõitmine on alati parim. Kui mootori efektiivsus aga madalama kiiruse korral langeb, võib kütusekulu jaoks efektiivseim kiirus olla hoopiski midagi keskmist – kompromiss aeglaselt sõitmise ning mootori efektiivsuse vahel. Joonisel A.12 toodud BMW 318ti jaoks on optimaalseimaks kiiruseks ligikaudu . Kui ühiskond aga otsustab, et sõidukiirusi tuleks vähendada, saaksime mootoreid ja käigukaste nii ümber ehitada, et parim efektiivsus saavutataks vajatud kiiruse korral.

Et veelkord tõestada, et auto poolt kasutatav energia tõepoolest sõltub kiiruse kuubist, on joonisel A.13 toodud mitmete erinevate autode maksimaalkiiruste ja mootorivõimsuste suhe. Sirgjoonega on näidatud võimsuse ja kiiruse kuubi proportsionaalne suhe.

Elektriautod: kas sõiduulatus on probleem?

Tihti öeldakse, et elektriautode sõiduulatus pole piisav. Elektriautode pooldajad aga ütlevad: „Pole probleemi, paneme akusid juurde.“ Ning see on tõsi, kuid peame võtma arvesse seda, millist mõju need lisaakud energiatarbimisele avaldavad. Vastus sellele küsimusele sõltub tugevasti kasutatavate akude energiatihedusest: 40Wh/kg energiatiheduse (keskmine pliiaku) korral näeme, et sõiduulatuse tõstmine või kilomeetrini on keeruline. 120Wh/kg energiatiheduse (erinevad liitiumipõhised akud) korral aga on -kilomeetrine sõiduulatus kergesti saavutatav.

Joonis A.14: Elektriauto sõiduulatuse (horisontaaltelg) ning transpordikulu (vertikaaltelg) teoreetiline sõltuvus akude massist kahe erineva akutehnoloogia jaoks. kilogrammi kaaluvate vanamoodsate akudega (energiatihedus 40Wh/kg) auto sõiduulatus on 180km. Sama palju kaaluvate moodsate akudega (energiatihedus 120Wh/kg) elektriauto sõiduulatus on aga rohkem kui 500km. Mõlemad autod kulutaksid läbimiseks ligikaudu 13kWh energiat. Nende akude laadimise efektiivsuseks on siinkohal eeldatud 85%.

Eeldame, et auto ning selle reisijate mass ilma akudeta on 740kg. Aja jooksul lisame , , või isegi 1000kg akusid. Võtame kiiruseks , takistuspindalaks 0,8m2, veeremistakistuseks 0,01, stoppmärkide vaheliseks kauguseks 500m, mootori efektiivsuseks 85%. Veel lisame, et peatuste ja liikumahakkamise ajal taastab regeneratiivne pidurdussüsteem poole auto kineetilisest energiast. Vooluvõrgust auto laadimise efektiivsuseks võtame 85%. Joonisel A.14 on toodud auto transpordikulu ning sõiduulatuse suhe vastavalt erinevale hulgale akudele selle auto pardal. Ülemine joon tähistab tulemust sellise aku korral, mille energiatihedus on 40Wh/kg (vanamoodne pliiaku). Selle auto sõiduulatuse piir on ligikaudu kilomeetrit. Et sellele maksimaalväärtusele lähedale saada, peaksime kaasas tassima koomilisel hulgal akusid: näiteks -kilomeetrise  sõiduulatuse jaoks on tarvis kilogrammi väärtuses akusid, viies transpordikulu 25kWh-ni kilomeetri kohta. Kui oleksime aga rahul vaid 180-kilomeetrise sõiduulatusega, saaksime hakkama vaid kilogrammi akudega. Asjad muutuvad aga paremuse poole, kui läheme üle kergematele liitium-ioon akudele.  Tänu 120Wh/kg energiatihedusele annaks kilogrammi väärtuses akusid kandev elektriauto vabalt sõiduulatuseks kilomeetrit. Eeldatav transpordikulu oleks ligikaudu 13kWh kilomeetri kohta.

Mulle tundub, et sõiduulatuse probleem on kaasaegsete akude leiutamisega lahendatud. Oleks muidugi hea, kui meil oleks veelgi paremad akud, kuid 120Wh/kg energiatihedus on juba praegu piisav, kui meile sobivad akud, mis kaaluvad kuni 500kg. Praktikas oleks enamus inimesi minu arvates rahul ka -kilomeetrise sõiduulatusega – seega kaaluksid akud vaid 250kg. Kui iga aku kaaluks 25kg ning oleks eraldi eemaldatav, võiks autoomanik igapäevasõitude jaoks kanda kaasas vaid nelja akut (100kg annaks sõiduulatuseks 140km) ning lisada ülejäänud kuus akut vaid pikemate sõitude jaoks. Nende pikemate sõitude jooksul vahetaks ta oma tühjad akud laadimisjaamas laetud akude vastu ligikaudu iga kilomeetri järel.

Märkused ja edasine lugemine

Keskmise bensiinimootori efektiivsus on ligikaudu . Entsüklopeedia [6by8x] ütleb: ,,Kaasaegse Otto-tsükliga mootori efektiivsus jääb vahemikku 2025%.“ Toyota Priuse bensiinimootor, mida peetakse üheks efektiivseimaks automootoriks, kasutab Otto tsükli asemel Atkinsoni tsüklit, ning selle tippvõimsus on 52kW ning 10kW võimsuse juures on selle efektiivsus 34% [348whs]. Maailma efektiivseima diiselmootori efektiivsus on 52%, kuid see pole autodes kasutamiseks sobilik, sest kaalub 2300 tonni: Wartsila-Sulzer RTA96-C turboga diiselmootor (Joonis A.15) on mõeldud kaubalaevadele ning selle võimsus on 80MW.

Regeneratiivne pidurdussüsteem vähendab pidurdamisel hajuvat energiahulka ligi poole võrra. Allikas:  E4tech (2007).

Elektrimootorid võivad bensiinimootoritest ligi korda kergemad olla.

Joonis A.15:  Wartsila-Sulzer RTA96-C 14-silindriline kahetaktiline diiselmootor. 27m pikk ning kõrge. www.wartsila.com

4-taktilise bensiinimootori võimsuse ja massi suhe on ligikaudu 0,75kW/kg. Parimate elektrimootorite efektiivsus on kuni ning nende võimsuse ja massi suhe on ligikaudu 6kW/kg. Seega annaks -kilovatise bensiinimootori asendamine -kilovatise elektrimootoriga meile -kilogrammise võidu. Kahjuks on akude võimsuse ja kaalu suhe ligikaudu 1kW/kg, mistõttu see võit kaalu osaks tooks kaasa kaotuse akude osas.

Jalgrattamootor kasutab energiat efektiivsusega 0,25. See ning teised jalgrattasõiduga seotud eeldused pärinevad uurimustööst di Prampero et al. (1979). Jalgratturi takistuspindala võidusõiduasendis on c˜oA=0,3m2. Jalgratturi veeremisakistus tippklassi võistlusratta (kogumass 73kg) korral on 3,2N.

Joonis A.12.

Priuse andmed: B. Z. Wilson [home.hiwaay.net/~bzwilson/prius/]. BMW andmed: Phil C. Stuart [www.randomuseless.info/318ti.

Edasist lugemist: Gabrielli ja von Kármán (1950).

Tuul II
Tuuleenergia füüsika

Tuuleenergia arvutamiseks kujutame ette, et hoiame käes rõngast, mille pindala on . Läbi rõnga puhub tuul, mille kiirus on . Kujutagem ette sellise hulga õhu massi, mis liigub sekundi jooksul läbi meie rõnga. Järgneval joonisel on see õhk kujutatud hetk enne läbi rõnga minemist.

Rõngas 1

Ning järgnevalt on kujutatud see õhk sekund hiljem:

Rõngas 2

Kasutan taaskord järgnevat valemit:

Selle õhujupi mass on selle tiheduse , pindala ning selle pikkuse ( korda , milles on sekund) korrutis.

 Selle õhujupi kineetiline energia on

Seega on tuule võimsus pindala jaoks ehk ühe ajaühiku jooksul läbi selle pindala liikuv kineetiline energia

See valem võib teile tuttav tunduda – jõudsime sama järelduseni liikuva auto energiakulu arvutamisel.

Tabel 6.4
miili/tunniskm/hBeaufort'i skaala
2,23,6Jõud 1
Jõud 2
Jõud 3
Jõud 4
Jõud 4
Jõud 5
2947Jõud 6
58Jõud 7
4268Jõud 8
4979Jõud 9
9727Jõud 10
6911231Jõud 11
7812635Jõud 12

Kiirused

Milline on keskmine tuulekiirus? Tuulisel päeval märkab jalgrattur tuulekiirust vägagi: kui tuul on tagant, liigub rattur tavapärasest palju kiiremini. Sellise tuule kiirus on seega võrreldav ratturi tavalise kiirusega, mis on umbes 12km tunnis (ehk meetrit sekundis). Cambridge'is on tuulekiirus harva nii suur. Kuid võtame selle siiski keskmiseks Briti väärtuseks (pidagem meeles, et võime seda hiljem muuta).

Joonis B.2: Tuulegeneraatorist mööda puhuv tuul. Õhk aeglustub ning hajub laiali.

Õhutihedus on ligikaudu 1,3kg/m3. (Tavaliselt ümardan ma selle kilogrammile kuupmeetri kohta, sest seda on kergem meeles pidada, kuid seekord ma seda ei tee.) Seega on läbi ühe ruutmeetrise pindalaga rõnga puhuva tuule keskmine energia

Kahjuks ei saa me kogu seda energiat tuulegeneraatori abil kätte. Tuulegeneraator aeglustab õhku tunduvalt, kuid sellele jääb osa kineetilisest energiast siiski alles – vastasel juhul jääks see aeglustunud õhk labadele ette. Joonisel B.2 on lihtsa joonistusena näidatud, mis juhtub tuulegeneraatorist mööda puhuva tuulega. Maksimaalse hulga sissetulevast energiast, mida kettakujulise tuulegeneraatori abil kätte saame, arvutas 1919. aastal välja saksa füüsik Albert Betz. Kui eemalduva tuule kiirus on kolmandik sissetuleva tuule kiirusest, on saadud energiakogus 1627 tuule koguenergiast. 1627 on 0,59. Praktikas võib öelda, et tuulegeneraatorite efektiivsus on ligikaudu . Tegelikkuses ehitatakse tuulegeneraatorid vaid kindlat tuulekiirust silmas pidades: kui tuulekiirus on turbiini ideaalkiirusest tunduvalt suurem, tuleb see välja lülitada.

Võtame näiteks tuulegeneraatori, mille läbimõõt on d=25m ning kõrgus 32m (nagu see üksik Uus-Meremaal Wellingtoni linnas asuv generaator, joonis B.3). Ühe tuulegeneraatori võimsus on

Joonis B.3: Brooklyni tuulegeneraator Uus-meremaal Wellingtoni linna kohal – selle all on skaalana toodud ka mõned inimesed. Tuulisel päeval tootis see generaator (1400kWh päevas). Foto: Philip Banks.

Kui ma ühel tuulisel päeval seda tuulegeneraatorit külastasin, näitas mõõdik, et generaator tootis .

Selleks, et arvutada, kui palju energiat me tuulest saame, tuleb meil otsustada, kui suured meie tuulegeneraatorid olema saavad ning kui lähestikku need üksteisele asuvad.

Kui tihedasti peaksid sellised tuulegeneraatorid üksteisele asuma? Kui need on üksteisele liiga lähedal, tekitavad tuulepoolsed generaatorid enda taha tuulevarju. Ekspertide sõnul peaks efektiivsuskao vältimiseks  jääma generaatorite vahele vähemalt viis korda nii palju maad kui suur on nende läbimõõt. Sellise asetuse korral on tuulegeneraatori võimsus maa-ala kohta

See number tuleks meelde jätta: tuulepark, milles puhub tuul kiirusega 6m/s, toodab 2W energiat ruutmeetri kohta. Pangem tähele, et meie vastus ei sõltu tuulegeneraatori läbimõõdust. Korrutis ds taandus, sest suuremad generaatorid peavad üksteisest kaugemal asuma. Suuremad tuulegeneraatorid on heaks ideeks olukorras, kus eesmärgiks on püüda suurema kiirusega ning kõrgemal puhuvaid tuuli (mida kõrgem generaator seda suurem on tuulekiirus selle labadel) või olukorras, kus see on majanduslikult tulusam – kuid need on ainsad kaks põhjust, miks ehitada suuremaid tuulegeneraatoreid.

Joonis B.4: Tuulepargi joonis.

Võimsus pindala kohta tuuleparkides
Tuulepark (tuulekiirus 6m/s)

See kalkulatsioon sõltus tugevalt meie hinnangust tuulekiirusele. Kas 6m/s on Suurbritannia tuuliste alade pikema ajaperioodi keskmisena usutav? Joonistel 4.1 ning 4.2 on toodud Cambridge'i ja Cairngormi tuulekiirused. Joonisel B.6 on toodud veel kaheksa Suurbritannia paiga talvised ning suvised keskmised tuulekiirused. Kardan, et 6m/s oli tüüpilise Briti tuulekiiruse jaoks veidi liiga suur! Kui asendame 6m/s Bedfordi kohta kehtiva tuulekiirusega 4m/s, peame oma arvutused ümber tegema, korrutades meie varasemat hinnangut (46)30,3. (Pidagem meeles, et tuule jõud on tuule kiirusest kuupsõltuvuses.)

Joonis B.6: Keskmine suvine (tume joon) ning talvine (hele joon) tuulekiirus Suurbritannia kaheksas eri paigas. Need kiirused mõõdeti standartsel kõrgusel, milleks on meetrit. Keskmised on arvutatud aastate 1971-2001 andmete põhjal.

Teisalt ei tohiks keskmise võimsuse arvutamiseks kasutada keskmise tuulekiiruse kuupi – peaksime hoopiski leidma tuulekiiruse keskmise kuubi. Kuubi keskmine väärtus on suurem kui keskmise väärtuse kuup. Neisse detailidesse laskumine teeb asja aga veelgi keerulisemaks, sest päris tuulegeneraatorid ei tooda tuulekiiruse kuubile vastavat võimsust. Tegelikkuses näitavad nad ideaalset võimsust vaid kindlate tuulekiiruste vahemikus. Sellest kiirusest suuremate ja väiksemate tuulekiiruste korral toodetakse ka väiksemat võimsust.

Tuulekiiruse sõltuvus kõrgusest

Kõrgemad tuulegeneraatorid püüavad suurema kiirusega tuuli. Tuulekiiruse sõltuvus kõrgusest on keeruline ning sõltub ümbritsevate alade geograafiast ning kellaajast. Võime öelda, et ümmarguselt kaasneb kõrguse kahekordistamisega tuulekiiruse -protsendiline kasv ning tuuleenergia on seega ligi suurem.

Joonis B.7: Kaks erinevat mudelit, mis esitavad tuulekiiruseid ning tuuleenergia sõltuvust kõrgusest. DWIA = Taani Tuuleenergia Tööstusassotsiatsioon; NREL = Riiklik Taastuvenergia Laboratoorium. Mõlema mudeli jaoks on tuulekiirus meetri kõrgusel 6m/s. Taani mudeli järgi on ebatasasuse pikkus . All: Energiatihedus (võimsus ühikulise vertikaalse pindala kohta) vastavalt neile mudelitele.

Mõned standardvalemid, mis esitavad tuulekiirust kõrguse funktsioonina:

  1. Vastavalt NREL [ydt7uk] tuulenihke valemile sõltub tuulekiirus kõrgusest järgmiselt:

kus v10 on tuulekiirus 10m kõrgusel ning eksponendi  tüüpiline väärtus on 0,143 ehk 1/7. Seda seitsmendiku seadust (v(z)  on proportsionaalne z17) on kasutatud näiteks Elliot et al. (1991) teadustöös.

  1. Taani Tuuleenergia Tööstusassotsiatsiooni [yaoonz] tuulenihke valem on

milles  on parameeter nimega ebatasasuse pikkus (roughness length) ning vref on tuulekiiruse väärtus referentskõrgusel zref, näiteks 10m. Keskmise maapiirkonna ebatasasuse klass (roughness class) (põldudega kaetud ala, millel on mõned majad ning meetriste vahedega istutatud tuuletakistusena käituvad hekid – „ebatasasuse klass 2") on z0=0,1m.

Praktikas annavad need kaks erinevat tuulenihke valemit sarnase numbrilise vastuse. See ei tähenda aga, et need on alati täpsed. Van den Berg (2004) sõnul on tuuleprofiilid öösiti täiesti erinevad.

Joonis B.8: qr5 firmalt quietrevolution.co.uk. Mitte just kõige tavalisem tuulegeneraator.  

Tavalise tuulegeneraatori omadused

Tavalise kaasaegse tuulegeneraatori rootori läbimõõt on ligikaudu 54 meetrit ning selle keskpunkt asub umbes meetri kõrgusel. Sellise masina võimsus on umbes . See tippvõimsus on maksimaalne võimsus, mida see generaator optimaalsete tingimuste korral toodab. Tavaline tuulegeneraator on ehitatud nii, et see hakkab tööle kusagil 35m/s tuulekiiruse juures ning peatub olukorras, kus tuulekiirus on iilidena 25m/s. Tegelik toodetud keskmine võimsus on tippvõimsuse ning sellise teguri korrutis, mis tähistab aega, mille jooksul tuuletingimused olid ideaalilähedased. See tegur, mida nimetatakse ka koormusteguriks, sõltub asukohast. Suurbritannias asuva hea asukoha koormustegur on . Hollandis on keskmine koormustegur ning Saksamaal 19%.

Teised hinnangud tuulepargi võimsusele pindala kohta

Valitsuse uuringu [www.world-nuclear.org/policy/DTI-PIU.pdf] kohaselt on Suurbritannia maismaa tuuleresursid arvutatud vastavalt hinnangulisele tuulepargile, mille võimsus pindala kohta on maksimaalselt 9W/m2 (maksimaalne võimsus, mitte keskmine tootlikkus). Kui koormustegur on , on keskmiseks energiatoodanguks .

Thamesi jõe suudmesse plaanitakse ehitada London Array nimeline tuulepark. Oma 1-gigavatise võimsusega saaks sellest maailma suurim meres asuv tuulepark. See park saab koosnema 271-st tuulegeneraatorist ning see laiuks 245 ruutkilomeetril [6o86ec], tootes keskmiselt 3100GWh aastas (350MW). (Selle ehituskulu on miljardit naela.) See annab pindala kohta toodetavaks võimsuseks

See on vähem kui teised meres asuvad tuulepargid – ilmselt seetõttu, et see piirkond sisaldab ka suurt kanalit (Knock Deep), mis pole tuulegeneraatorite ehitamiseks majanduslikult tasuv (see on liiga sügav, 20m).

Võrreldes natside rünnakuga meie rannajoonele tekitab mulle palju enam muret nende (London Array) ehitusplaanide mõju loodusele ning meie eluviisile.

Bill Boggia Gravenery asulast – paigast, kus tuulepargi veealused kaablid maapinnale tuuakse.

Küsimused

Aga mikrotoodang? Kui paneme oma katusele ühe neist miniturbiinidest, siis millist toodangut võime oodata?

Võttes keskmiseks tuulekiiruseks 6m/s (mis, nagu ma juba ütlesin, on enamike Suurbritannia asulate jaoks veidi liiga palju) ning turbiini läbimõõduks , on toodetavaks energiahulgaks 50W. See on päevas – mitte just eriti palju. Ning tegelikkuses toodab mikroturbiini tavalises Inglismaa asulapiirkonnas vaid päevas.

Ühed maailma kõige hullemad tuulegeneraatorid asuvad Jaapanis, Tsukuba linnas – need tarbivad rohkem energiat kui toodavad! Nende paigaldajad olid paigalseisvate turbiinide tõttu nii häbistatud, et nad otsustasid need pöörlemise imiteerimiseks vooluvõrku ühendada. [6bkvbn].

Märkused ja edasine lugemine

Maksimaalne hulk sissetulevast energiast, mida kettakujulise tuulegeneraatori abil kätte saame, ... Selle kohta leidub kena seletus Taani Tuuleenergia Tööstusassotsiatsiooni veebilehel. [yekdaa].

Tavaline tuulegeneraator on ehitatud nii, et see hakkab tööle kusagil 35m/s tuulekiiruse juures. [ymfbsn].

Suurbritannias asuva hea asukoha koormustegur on . 2005. aastal oli kõikide suuremate Suurbritannia tuuleparkide keskmiseks koormusteguriks 28% [ypvbvd]. Koormustegur muutus aasta jooksul, olles madalaim (17%) juunis ja juulis. Meie riigi parim koormustegur, , leidub Caithnessis ning Orkney ja Shetlandi saartel. 2005. aastal töös olnud kahe tuulepargi koormustegurid olid järgmised: North Hoyle's (Põhja-Walesi rannikul) ning Scroby Sands'is (Great Yarmouthi rannikul). Nende kümne uuritud piirkonna keskmised koormustegurid olid: Cornwall ; Kesk-Wales 27%; Cambridgeshire ja Norfolk ; Cumbria ; Durham 16%; Lõuna-Šotimaa 28%; Orkney ja Shetlandi saared 35%; Kirde-Šotimaa 26%; Põhja-Iirimaa ; rannikul . [wbd8o]

Watson et al. (2002) sõnul peaks aastane keskmine tuulekiirus olema 7m/s, et muuta tuulenergia majanduslikult kasulikuks. Sellised tuulekiirused asuvad vaid ligikaudu -l protsendil Suurbritannia maa-alast.

Lennukid II
Sissejuhatus

Me peame uurima võimalusi lennuliikluse efektiivsemaks muutmiseks ning selliste uute kütuste välja töötamiseks, mis lubaksid meil vähem kütust põletada ning vähem saastada.
Tony Blair

Parimale lootma jäämine ei ole poliitiline otsus, see on hullumeelsus.
Emily Armistead, Greenpeace

Millised on lendamisega seotud põhimõttelised piirangud? Kas lendamise füüsika määrab pääsematult ära iga lennukilomeetri või lennukiga transporditud tonni kohta kuluva energiahulga? Milline on maksimaalne vahemaa, mille suudab läbida tonni kaaluv Boeing 747? Aga kilogrammi kaaluv vöötsaba-vigle või -grammine randtiir?

Täpselt nii, nagu peatükis Autod II hindasime autode poolt kulutatud energiat, pakkudes mudelit ja vastuseid küsimusele „kuhu autos energia kulub?“ on selle peatüki teemaks lennukid ning me otsime vastust küsimusele „kuhu lennates energia kulub?“ Ainuke füüsika, mida sellele küsimusele vastamiseks vajame, on Newtoni seadused -vajaduse tekkides kirjeldan ma neid ka lähemalt.

See mõtterada annab vastuse sellistele küsimustele nagu „kas kulutaksime lendamisel vähem energiat kui kasutaksime aeglasemaid propelleritega lennukeid?" Meid ootab ees palju valemeid, loodan, et te naudite neid!

Joonis C.1: Linnud: kaks randtiiru, vöötsaba-vigle ja Boeing 747.
Kuidas lennata

Lennukid (ja linnud) liiguvad läbi õhu, nii et sarnaselt autode ja rongidega mõjub neile õhutakistus ja enamus lennukite poolt neelatavast energiast kulub nende lükkamisele läbi õhu, ületades selleks õhutakistuse tekitatud jõu. Lisaks sellele peavad lennukid erinevalt autodest ja rongidest kulutama energiat õhus püsimiseks.

Lennukid püsivad õhus (üleval), sest paiskavad õhku alla. Kui lennuk surub õhku alla, surub õhk lennukit üles (sest Newtoni kolmas seadus ütleb seda). Lennuk ei söösta alla, kui see ülespoole suunatud jõud, mida kutsutakse tõstejõuks, tasakaalustab allapoole suunatud raskusjõu.

Kui lennuk paiskab õhku alla, saab õhk kineetilist energiat. Nii et tõstejõu tekitamine nõuab energiat. Lennuki lendamiseks vajalik koguenergia on tõstejõu tekitamiseks vajaliku energia ja tavapärase õhutakistuse ületamiseks vajaliku energia summa. (Muide, tõstejõu tekitamiseks vajalikku võimsust nimetatakse tavaliselt indutseeritud takistuseks. Aga mina kutsun seda tõstejõu võimsuseks, Plift.)

Lendamise teooria läbitöötamiseks on meil vaja kahte võrrandit: Newtoni teist seadust:

ja Newtoni kolmandat seadust, mida just mainisin:

Ütlen selle loo puändi ära neile, kellele valemid üldse ei meeldi: me saame teada, et tõstejõu tekitamiseks vajaminev võimsus on võrdne võimsusega, mida on vaja takistusjõu ületamiseks. Nii et vajadus „püsida õhus" kahekordistab vajamineva võimsuse. Teeme joonise kiirusega lendavale lennukile mõjuvast tõstejõust. Aja jooksul liigub lennuk vahemaa ja jätab enda taha allapoole liikuva õhusilindri (joonis C.2).

Joonis C.2: Lennuk lendab läbi paigalseisva õhu silindri. Lennuki läbimisel surutakse õhk selles allapoole. Jõud, millega lennuk mõjub allapoole suunatud õhule on võrdne ja vastassuunaline jõuga, millega mõjub õhk lennukile. 

Me tähistame selle õhusilindri ristlõikepindala kui . Silindri diameeter on ligikaudu võrdne lennuki tiivaulatusega . (Selle suure silindri sees on väiksema diameetriga keeriseid ja turbulentse sisaldav silinder, mille ristlõike pindala on ligikaudu võrdne lennuki esiotsa pindalaga.) Tegelikult on õhu voolamine palju huvitavam kui see silindri pilt: iga tiib jätab enda taha keerise, kus tiiva all olev õhk liigub kiiresti alla ja õhk tiiva otstest kaugemal liigub üles (joonised C.3 C.4).

Joonis C.3: Meie mudel eeldab, et lennuk jätab enda taha allapoole liikuva õhu silindri. Tegelikult on pilt keerulisem ja sisaldab keeriseid. Reaalset asja saab vaadata jooniselt C.4.
Joonis C.4: Õhu voolamine lennuki taga. Foto NASA Langley Research Centre

Seda ülespoole liikuvat õhku kasutavad ära linnud, kui nad lendavad V-kujulistes parvedes: täpselt tiiva otsa taga on kena väike tõusev õhuvool. Aga pöördume tagasi õhusilindrite juurde.

Silindris oleva õhu mass on

Oletame, et kogu õhusilinder liigub allpoole kiirusega , ja leiame, kui suur peab olema selleks, et tekkiv tõstejõud tasakaalustaks lennukile mõjuva raskusjõu . Aja jooksul tekkinud õhusilindri allapoole suunatud impulss on

Ja Newtoni seaduste kohaselt peab see impulss olema võrdne lennukile selle kaalu poolt antud impulsiga 

(C.5)

Teisendades nii saadud võrrandit

saame avaldada õhusilindri allapoole suunatud kiiruse

(C.14)

See on huvitav! Õhusilindri kiirus on pöördvõdeline lennuki kiirusega . See tähendab, et aeglaselt liikuv lennuk peab võrreldes kiire lennukiga õhusilindrit tugevamalt allapoole suunama, sest ajaühikus läbib lennuk lühema õhusilindri. See on ka põhjus, miks aeglaselt liikuvad maanduvad lennukid peavad oma klappe suurendama: nii tekivatavad nad suuremad ja järsemad tiivad, mis suunavad õhusilindrit tugevamalt allapoole. 

Kui palju kulub energiat õhusilindri nõutud kiirusega allapoole surumiseks? Vajalik võimsus on

Lennuki liigutamiseks vajalik koguvõimsus on takistusjõu võimsuse ja tõstejõu võimsuse summa:

kus Ap on lennuki esipinna pindala ja cp on õhutakistustegur (nagu ka peatükis Autod II). Lennuki kütuse kasutamise kasutegur, väljendatuna läbitud tee kohta kulutatud energiana, on:

seda juhul, kui lennukikütuse energia muudetakse ideaalselt, st kadudeta tõukejõuks ja tõstejõuks. (Muide, „energia läbitud teepikkuse kohta" on jõud ja kaks liiget valemis on tegelikult takistusjõud 12cdρApv2 ja tõstejõud 12(mg)2ρv2As . Nende kahe jõu summa on „tõukejõud", mis näitab, kui tugevalt peavad mootorid tõukama.)

Reaalsete reaktiivmootorite kasutegur on umbes ε=13, nii et kiirusel lendava lennuki poolt teepikkuse kohta kulutatud energia on

Selline teepikkuse kohta kulutatud energia avaldis on üsna keeruline, aga see lihtsustub oluliselt, kui me eeldame, et lennuk on ehitatud lendama kiirusel, millel teepikkuse kohta kulutatav energia on minimaalne. Sest kui vaadata teepikkuse kohta kulutatavat energiat kiiruse funktsioonina, siis on sellel üks hea koht (joonis C.5).

Joonis C.5: Lennuki liikumas hoidmiseks vaja minev energia sõltuvana kiirusest on takistusjõu 12cdρApv2 – mis suureneb kiiruse kasvades – ja tõstmiseks kuluva jõu (tuntud ka kui indutseeritud takistus) 12(mg)2ρv2As – mis väheneb kiiruse suurenedes – summa. Ón olemas kiirus voptimaalne, mille korral vajalik jõud on minimaalne. Jõud on energia teepikkuse kohta, nii et minimiseerides jõu minimiseerime me ka teepikkuse kohta kuluva kütuse hulga. Et kütuse kasutust optimiseerida peame me lendama kiirusel voptimaalne. See joonis näitab kilonjuutonites meie lihtsa mudeli hinnangut, millist jõudu on erinevate kiiruste korral tarvis 317 tonni kaaluva, 64-meetrise tiivaulatusega, 0,03 takistuskoefitsiendiga ja 180m2 esiosa pindalaga Boeing 474 lendamiseks, kui õhutihedus on ρ=0,41kg/m3 ( kõrgusel). Meie mudel pakub optimaalseks kiiruseks voptimaalne=220m/s (). Õhusilindriga tegeleva mudeli jaoks on see võrdluses tegelikkusega väga hea tulemus!

Suuruste 12cdρApv2 ja 12(mg)2ρv2As summal asub miinimum kohas, kus need kaks suurust on võrdsed. See nähtus on füüsikas ja inseneerias rõõmustavalt sagedane: kaks suurust, mis justkui ei peaks võrdsed olema, on seda siiski, või siis erinevad üksteisest kaks korda.

Niisiis, see võrdsuse printsiip ütleb meile, et lennuki optimaalne kiirus on selline, et kehtiks

st

Kui meie lennuki lihtsustatud mudel on õige, siis defineerib selline avaldis lennuki optimaalse kiiruse: mudel ei tööta, kui mootorite efektiivsus sõltub olulisel määral kiirusest või kui lennuki kiirus ületab helikiirust (330m/s); ülehelikiirustel vajame takistuse ja tõste jaoks erinevat mudelit.

Kontrollime oma mudelit ja vaatame, mida see ennustab 747 ja albatrossi optimaalseks kiiruseks. Peame olema tähelepanelikud ja arvestama õige õhutihedusega: kui tahame hinnata 747 optimaalset kiirust 3000 jala kõrgusel, siis peame arvestama, et õhu tihedus kõrguse kasvades käitub nagu exp(mgzkT) , kus on lämmastiku ja hapniku molekulide mass ja kT on soojusenergia (Boltzmanni konstant korda absoluutne temperatuur). Õhutihedus sellel kõrgusel on ligikaudu korda väiksem.

Ennustatud optimaalsed kiirused (vt tabel) on täpsemad, kui meil oleks põhjust oodata! 747 optimaalseks kiiruseks saame ja albatrossile – mõlemad väärtused on väga lähedal nende lindude tõelistele lennukiirustele (vastavalt ja ).

Tabel 4.8: Lennuki ja albatrossi optimaalse kiiruse hinnangud.

Lind


747

Albatross

Konstruktor


Boeing

looduslik valik

Mass (täislast)

363000kg

8kg

Tiivaulatus

64,4m

3,3m

Pindala

Ap

180m2

0,09m2

Tihedus

0,4kg/m3

1.2kg/m3

Takistustegur

cd

0,03

Optimaalne kiirus

vopt

*747 esiosa pindala hindamiseks on võetud selle kabiini laius (6.1m) ja korrutatud see kere ligikaudse kõrgusega (10m), pärast seda on tulemus tiibade, mootorite, ja saba arvestamiseks korrutatud kahega. Albatrossi esiosa pindala hinnang on saadud fotodelt.

Teeme oma mudeli põhjal veel mõned ennustused. Me saame näiteks kontrollida, kas valemist C.13 leitud jõud on samasugune, kui 747 reaalne tõukejõud. Teades, et optimaalse kiiruse korral on seal kaks jõudu (tõukav ja lennukit õhus hoidev) võrdsed, peame lihtsalt ühe välja valima ja selle kahega korrutama:

C.7: Boeing 747 eestvaade, mille abil me hindame lennuki esiotsa pindala Ap. Ruudu pindala on (tiivaulatuse ruut).

Defineerime pindalade suhte fA:

(C.21)

(Mõelge sellest kui joonisel C.7 kujutatud ruudu lennuki poolt hõivatud osast.) Siis  

Huvitav! Nõutud tõukejõud ei sõltu selle keskkonna tihedusest, milles lennuk lendab (eeldades, et lennuk lendab optimaalse kiirusega), ja võrdub dimensioonitu konstandi (cdf12A) ja lennuki kaalu korrutisega. Muide, see konstant on tuntud kui lennuki takistusjõu ja tõstejõu suhe (drag-to-lift ratio või glide number). (Tõstejõu ja takistusjõu suhet nimetatakse eesti keeles aerodünaamiliseks väärtuseks, selle tüüpilised väärtused on esitatud tabelis.)

Tabel 4.9: Lindude tõstejõu ja takistusjõu suhted.
Airbus A32017
Boeing 767-200 
Boeing 747-100  
Jõgitiir
Albatross  

Boeing 747 kohta käivate arvude põhjal ... ja ... ning seega on vajaminev tõukejõud

Joonis C.9: Cessna 310N: 60kWh reisija-kilomeetri kohta. Cessna 310 Turbo liigutab kiirusega kuute reisijat (seehulgas pilooti). Foto: Adrian Pingstone.

Kui lähedal on see tulemus 747 tehnilistele andmetele? Tegelikkuses on kõigi nelja mootori maksimaalne tõukejõud ligikaudu , kuid seda maksimaalväärtust kasutatakse vaid õhkutõusu ajal. Reisilennu tavakõrgusel on vajatav tõukejõud palju väiksem: 747 keskmine tavakõrguse tõukejõud on – see on meie poolt joonise abil ennustatud väärtusest vaid rohkem. Meie lihtne mudel on veidi ebatäpne, sest alahindasime takistusjõu ja tõstejõu suhet.

Selle tõukejõu abil saame leida otseselt ükskõik millise lennuki transpordiefektiivsuse. Võimalik on arvutada välja kahte sorti transpordiefektiivsust: massi liigutamise energiakulu, mida mõõdetakse ühikutes tonn-kilomeetri kohta, ning inimeste liigutamise energiakulu, mida mõõdetakse ühikutes reisija-kilomeetri kohta.

Massi transportimise efektiivsus

Tõukejõud on jõud ehk energia ühikpikkuse kohta. Ühikpikkuse läbimiseks kuluv koguenergia korrutatakse teguriga kus on mootori efektiivsus, mille väärtuseks võtame .

Kogu transpordikulu ehk energia, mis kulub (kogu lennuki) ühikmassi liigutamiseks ühikulise pikkusega vahemaa võrra, on:

Seega on transpordikulu lihtsalt üks ühikuta suurus (mis sõltub lennuki kujust ning mootori efektiivsusest), mis korrutatakse ehk gravitatsioonikiirendusega. Pangem tähele, et see transpordi kogukulu kehtib kõikidele lennukitele, kuid sõltub vaid lennuki kolmest lihtsast omadusest: selle hõõrdetegurist, kujust ning mootori efektiivsusest. See ei sõltu aga üldse lennuki suurusest ning kaalust ja kohe üldse mitte õhutihedusest. Kui me kasutame väärtusena  ning eeldame, et takistus- ja tõstejõu suhe on , siis leiame, et ükskõik millise lennuki transpordi kogukulu on vastavalt meie mudelile

ehk

Kas on võmalik ehitada efektiivsemaid lennukeid?

Joonis C.10: „Kinnitage turvavööd.“ 8 reisijaga Bombardier Learjet 60XR, lennukiirusega – transpordikulu reisija-kilomeetri kohta.

Kui lennukite efektiivsust saab tulevaste tehnoloogiliste läbimurrete abil vaid veidi parandada ning kui nende kuju on juba praegu praktiliselt täiuslik, siis ei saa me seda ühikuta suurust eriti palju paremaks muuta. Transpordi efektiivsus on juba praegu oma füüsikalisele piirile lähedal. Aerodünaamika asjatundjate sõnul saaks lennukite kuju veidi parandada, kui võtaksime kasutusele ühendatud tiibadega kered (ingl k blended-wing bodies). Hõõrdetegurit saaks veidi vähendada laminaarse voolukontrolli abil – selle tehnoloogia abil saaks tiiva kohal tekkivat turbulentsi vähendada tiiva pinnal asuvatest väikestest aukudest õhu sissepumpamise abil (Braslow, 1999). Olemasolevatele lennukitele laminaarse voolukontrolli tehnoloogia lisamisega väheneks hõõrdetegur  võrra ning ühendatud tiibadega lennukikerede abil eelduste kohaselt 18% võrra (Green, 2006). Valem (C.26) ütleb meile, et transpordikulu on võrdeline hõõrdeteguri ruutjuurega, mistõttu kahaneks cd - ja -protsendilise vähenemise tõttu transpordikulu vastavalt ja võrra.

See transpordi kogukulu on energia, mis kulub massi liigutamisele – siia alla käib ka lennuki enda mass. Et leida kaupade liigutamiseks kuluv energiahulk kauba ühikmassi kohta, tuleb meil eelnevalt leitud suurus jagada kauba osakaalu näitava murdarvuga. Kui 747 kogumassist näiteks moodustab kaup, siis on selle transpordikulu

ehk ligikaudu . See on tavalise kaubaveoki transpordikulust () vaid veidi suurem.

Inimeste transportimise efektiivsus

Sarnaselt saame hinnata ka 747 reisijate transportimise efektiivsust.

See on ühe liitri kütuse kohta veidi efektiivsem kui tavaline ühe reisijaga auto (kütusekulu 12km liitri kohta). Seega on lennukiga lendamine energia poolest efektiivsem kui autosõit olukorras, kus autos on vaid üks või kaks reisijat. Autosõit on efektiivsem, kui selles on kolm või enam reisijat.

Olulised punktid

See oli päris pikk arutelu! Võtame põhiideed kiirelt kokku. Pool lennuki poolt tehtavast tööst kulub õhus püsimiseks, teine pool kulub edasi liikumiseks. Optimaalsel kiirusel lendamise kütuseefektiivsuse (energia läbitud vahemaa kohta) leidsime jõu abil (C.22) – see oli võrdeline lennuki kaaluga. Seda võrdetegurit nimetatakse takistusjõu ja tõstejõu suhteks ning see sõltub lennuki kujust.

Seega – kuigi autosõidu kiiruspiirangute vähendamine kahandaks ühikulise teepikkuse läbimiseks kuluvat energiahulka, ei ole kiiruspiirangute kasutamine lennukite puhul eriti mõttekas. Igal õhus lendaval lennukil on oma optimaalne kiirus, mis on iga lennuki jaoks erinev, sõltudes selle kaalust – lennukid lendavad oma optimaalse kiirusega juba praegu. Kui otsustaksime, et lennukid peaksid lendama aeglasemalt, nende energiakulu hoopiski suureneks. Ainus viis lennukeid efektiivsemalt kütust põletama panna oleks käskida neil maanduda ning paigale jääda. Lennukite tehnoloogiat on läbi aegade kõvasti täiustatud ning tulevikus suurt efektiivsuse kasvu ilmselt ei saavutata. (Lehekülgedel 37 ja 132 on arutatud selle üle, kas uued hiigellennukid on vanematest hiigellennukitest tõepoolest „palju efektiivsemad“ ning kas turbomootorid on „palju efektiivsemad“ kui reaktiivmootorid.)

Joonis C.11: Boeing 737-700: 30 kWh 100 reisija-kilomeetri kohta.

Lennuulatus

Veel üks võimalus midagi ennustada on leida lennuki või linnu lennuulatus – suurim vahemaa, mille see saab ilma kütust tankimata lennata. Võiks arvata, et suuremate lennukite lennuulatus on suurem, kuid meie mudeli abil tehtav ennustus on üllatavalt lihtne. Lennuki lennuulatus ehk maksimaalne vahemaa, mille see saab ilma kütust juurde tankimata läbida, on võrdeline selle kiiruse ning kütuse koguenergiaga ning pöördvõrdeline selle kütusekuluga:

Kütuse koguenergia all peame silmas kütuse kütteväärtuse (džaulides kilogrammi kohta) ning massi korrutist. Kütuse mass moodustab mingi murdosa lennuki kogumassist. Seega

Veelgi lihtsamat ennustust on raske ette kujutada: mingi linnu või lennuki lennuulatus on mootori efektiivsusest, hõõrdetegurist ning linnu kujust sõltuva ühikuta teguri ... ning fundamentaalse vahemaa

korrutis. See viimane tegur sõltub vaid kütusest ning gravitatsioonist – linnu suurus, mass, pikkus, laius ning keskkonna tihedus ei oma selle puhul tähtsust.

Mis maagiline vahemaa see selline on? See vahemaa on sama nii hanerasva kui reaktiivkütuse puhul: mõlemad kütused on oma olemuselt süsivesinikud . Reaktiivkütuse kütteväärtus . Reaktiivkütuse jaoks on see vahemaa

Linnu puhul tuleb see väärtus, 4000km, korrutada teguriga

Kui meie linnu mootori efektiivsus on ning takistus- ja tõstejõudude suhe on

ning kui peaaegu pool linnu massist moodustab selle kütus (täiskoormaga Boeing 747 massist moodustab kütus 46%), siis leiame, et ükspuha millise suurusega linnu või lennuki jaoks on lennuulatus sama: umbes kolm korda suurem kui kütuse vahemaa: ligikaudu .

Võime tegurist mõelda kui vahemaast, mille kaugusele kütus ennast viiks, kui see suudaks järsku muundada kogu oma keemilise energia kineetiliseks energiaks ning heita end paraboolsel trajektooril õhku, millel puudub takistus. (Täpsemini öeldes on optimaalse parabooltrajektoori abil saavutatav vahemaa tegurist kaks korda suurem.) See vahemaa on ka sama mis vertikaalne kõrgus, milleni kütus hüppaks juhul, kui puuduks õhutakistus. Lisaks on põnev tähele panna, et kütuse kütteväärtus , mille ma esitasin ühikutes džauli kilogrammi kohta, on esitatav ka kiiruse ruuduna (täpselt nagu energia ja massi suhe Einsteini kuulsas valemis sisaldab kiiruse ruutu ): on sama mis . Seega võime rasvast mõelda järgnevalt: „rasv tähendab meetrit sekundis.“ Kui soovite sörkimise abil kaalu kaotada – ning seda vaid ühe korraga – tuleks teil joosta kiirusega ().

Ka see suurus on täpsele väärtusele üpriski lähedal: Boeing 747 pikima lennu rekord (23-24 märts 1989) on .

Ning väidet, mille kohaselt lennuulatus ei sõltu linnu suurusest, kinnitavad vaatlusandmed: igas suuruses linnud, nii suured haned kui ka väikesed pääsulased ja randtiirud, rändavad kontinentidevahelisi vahemaid. Pikim mõõdetud linnu poolt peatusteta läbitud vahemaa on – selle lendas vöötsaba-vigle.

Kui kaugele lendas Steve Fosset oma spetsiaalselt ehitatud lennukis Scaled Composites Model 311 Virgin Atlantic GlobalFlyer? . [33ptcg] Tegu oli ebatavalise õhusõidukiga: 83% selle stardikaalust moodustas kütus; lennu jooksul kasutati teepikkuse suurendamiseks hoolikalt ka jugavoole. Oma hapra ehituse tõttu esines sel teekonnal lennukil ka mitmeid tõrkeid.

Selle lihtsa mudeli abil jõuame ka ühe huvitava järelduseni: kui küsime „milline on lendamiseks optimaalne õhutihedus?“ siis leiame, et optimaalsel kiirusel ei sõltu vajatav tõukejõud (C.20) keskkonna tihedusest. Seega oleks meie kujuteldaval lennukil ükskõik, mis kõrgusel see asuks – optimaalset tihedust ei ole olemas. Lennuk saavutaks optimaalse energiakulu (miili galloni kohta) igal kõrgusel, kuid optimaalne kiirus sõltub tihedusest ( , valem C.16)). Seega, kui kõik muud näitajad on samad, lendaks meie lennuk kõige kiiremini keskkonnas, mille õhutihedus oleks võimalikult madal. Päris mootorite efektiivsused aga sõltuvad nii kiirusest kui ka õhutihedusest. Kuna lennuk muutub kütuse põletamise tagajärjel kergemaks, järeldub meie mudelist, et selle lennuki optimaalne kiirus mingi kindla õhutiheduse korral kahaneks

Seega peaks ühtlase õhutihedusega keskkonnas lendav lennuk kergemaks muutumise tagajärjel veidi aeglasemalt liikuma. Kuid ei ole võimalik, et lennuk lendab korraga ühtlase kiirusega ning optimaalse kiirusega, kui see tõuseb õhutiheduse langetamise eesmärgil ülespoole. Järgmine kord pikalt lennates pane tähele, kas piloot tõstab lennu hilisemas faasis lennukit kõrgemale – näiteks meetrilt meetrini.

Kui efektiivne oleks vesinik-lennuk?

Jõudsime juba järelduseni, et lendamise efektiivsus (ühikutes energia tonn-kilomeetri kohta) on lihtsalt ühe ühikuta numbri ning korrutis. Kütuse muutmine seda põhimõtet ei muudaks. Vesiniku jõul lendavate lennukite teemal arutlemine peaks toimuma vaid kliimat mõjutavate emissioonide vähendamise kontekstis. Sellistel lennukitel oleks võib-olla ka suurem lennuulatus. Kuid mingit radikaalselt suuremat energiaefektiivsust pole meil mõtet oodata.

Lennukite efektiivsemaks muutmise võimalused

Sarnaselt haneparvele lendamise abil saaks kütuseefektiivsust kuni võrra tõsta (sest parve tõste- ja takistusjõu suhe on suurem kui üksiku lennuki vastav väärtus), kuid see trikk sõltub muidugi sellest, kas kõik haned tahavad täpselt samal ajal täpselt samasse kohta lennata.

Korraga läbitava vahemaa optimeerimine: pika lennuulatusega lennukid (mis on mõeldud näiteks korraga läbimiseks) on oma kütuseefektiivsuselt lühimaa lennukitega võrdsed, sest neil on pardal rohkem kütust ning seega vähem kaupa ja reisijaid. Veidi efektiivsem on jagada pikem vahemaa lühikesteks, vahepeatustega reisideks. Ideaalseks ühe lennu vahemaaks on umbes , mis tähendaks tavaliste pikamaa-lennuliinide jaoks ühte või kahte tankimispeatust (Green, 2006). Mitmeetapilised pikamaa-lennuliinid oleksid oma kütusekulu poolest umbes efektiivsemad, kuid sellega seostuksid muidugi mõista muud kulud.

Keskkonnasõbralikud lennukid

Aeg-ajalt kirjutatakse inimestest, kes ehitavad keskkonnasõbralikke lennukeid. Jõudsime selles peatükis juba eelnevalt oma mudeli abil aga järelduseni, mille kohaselt on ükskõik millise lennuki transpordikulu ligikaudu

Meie mudelist järeldub, et ainsad viisid, mille abil üks lennuk saaks seda numbrit paremaks muuta, on vähendada õhutakistust (näiteks võiks lennuki tiibades kasutada mingeid uue põlvkonna tolmuimejaid) või muuta lennuki kuju (muutes seda rohkem hõljuki sarnaseks: selle tiivad peaksid kerega võrreldes palju laiemad olemad; või siis võiks kere üldse olemata jätta). Vaatame siis neile viimase aja „keskkonnasõbralike lennukite“ uudistele otsa, et näha, kas mõni neist õhusõidukitest ka tegelikkuses meie piirväärtuseni küündib. Kui lennuk kasutab tonn-kilomeetri kohta vähem kui , tuleks meil järeldada, et meie mudel ei tööta.

Joonis C.12: Electra F-WMDJ: 11kWh reisija-kilomeetri kohta.

Puidust ja kangast ehitatud üheistmeline Electra läbis lõunapoolsete Alpide kohal 48 minuti jooksul kilomeetrit [6r32hf]. Electra tiivaulatus on meetrit ning selle -kilovatist elektrimootorit hoiavad töös 48 kilogrammi kaaluvad liitium-polümeer akud. Stardihetkel oli õhusõiduki kaaluks kilogrammi (sellest moodustas lennuk ise, 47 kilogrammi kaalusid selle akud ning piloot kaalus ). 2007. aasta 23ndal detsembril lendas see sõiduk kilomeetrit. Kui eeldame, et akude energiatihedus oli ning et selle lennu jooksul kasutati täislaengust ära (), oli selle lennuki transpordikulu umbkaudu

ehk täpselt sama, mida me oma mudeli põhjal ennustasime. See elektriline õhusõiduk pole tavapärasest fossiilkütust neelavast lennukist efektiivsem. See ei tähenda muidugi, et elektrilennukid poleks huvitavad. Kui me suudaksime traditsioonilised lennukid asendada selliste alternatiivsete õhusõidukitega, mille energiakulu oleks sarnane kuid millel puuduksid heitgaasid, oleks tõepoolest tegu kasuliku tehnoloogiaga. Reisijate transpordi aspektist saavutab Electra auväärse tulemuse reisija-kilomeetri kohta – see on meie transpordijoonisel toodud elektriautoga võrreldav suurus. Kuid selles raamatus küsime me alati: „Kust on see energia pärit?“

Ka mitmed veesõidukid on linnud

Joonis C.13: Tiiburlaev.

Veidi pärast selle lendamist kirjeldava mudeli kirjutamist mõistsin, et seda saab rakendada laiemalt kui lihtsalt õhulindudele – see kehtib ka tiiburlaevade ja muude ülikiirete veesõidukite puhul: igas olukorras, milles veesõiduk suurel kiirusel vee kohal hõljub.

Joonisel C.13 on püütud seletada tiiburlaeva tööpõhimõtet. Sõiduki massi toetab kaldenurga all paiknev veealune tiib, mis tihtipeale on sõidukist endast palju väiksem. See tiib tekitab vett allapoole surudes ülespoole suunatud tõukejõu – täpselt nagu joonisel C.2 kujutatud lennuk. Kui eeldame, et takistusjõust moodustab enamuse just tiivale mõjuv takistusjõud ning et tiiva mõõtmed ning veesõiduki liikumiskiirus on kütusekulu efektiivsuse osas juba optimeeritud, siis on parim saavutatav transpordikulu (tonn-kilomeetri kohta vajaminev energiahulk) täpselt sama nagu leidsime valemist C.26:

milles cd on veealuse tiiva takistustegur, fA on juba varem defineeritud pindalade suhet kirjeldav ühikuta suurus,  on mootori efektiivsus ning on gravitatsioonikiirendus.

Võib-olla pole cd ning fA täpselt samad mis optimeeritud lennukil, kuid selle teooria üks hämmastavaid omadusi on fakt, et see ei sõltu selle keskkonna tihedusest, milles meie sõiduk liigub. Seega on meie transpordikulu umbkaudne hinnang (energiakulu läbitud vahemaa ja kaalu – seehulgas sõiduki enda kaalu – kohta) tiiburlaeva puhul sama mis lennuki puhul! Seega ligikaudu .

Selliste sõidukite puhul, mis veepinda vaid aeg-ajalt puudutavad (näiteks katamaraanid ja veesuusad), peaks täpne mudel sisaldama ka lainete tekitamiseks kuluvat energiat. Siiski on mul tunne, et meie tiiburlaeva teooria on vähemasti ligikaudselt täpne.

Seni pole mul õnnestunud tiiburlaevade transpordikulu kusagilt leida, kuid kiirusel liikuva reisijatetranspordiks mõeldud katamaraani andmed paistavad meie ennustusega üpris hästi kooskõlas olevat: sellise sõiduki energiakulu on ligikaudu tonn-kilomeetri kohta. Minu jaoks tundub üpriski üllatav, et laeva asemel lennukiga saarelt saarele rändav reisija ei kuluta mitte ainult vähem aega vaid tõenäoliselt ka vähem energiat!

Teisi õhus püsimise viise

Õhulaevad

Joonis C.14: meetri pikkune USS Akron (ZRS-4) Manhattani kohal lendamas. See kaalus tonni ning selle kandevõime oli 83 tonni. Mootorite koguvõimsus oli , kusjuures kiirusel lennates mahtus selle pardale meeskonnaliiget ning suurel hulgal relvi. Lisaks kasutati sõidukit ka lennukikandjana.

Selles peatükis rõhutasime, et lennukid ei oleks madalama lennukiiruse korral efektiivsemad, sest väiksemast õhutakistusest põhjustatud võit tasakaalustuks selle lisaenergiaga, mis kuluks õhu tugevamini allasurumiseks. Kas saame selle probleemi ületada, kui muudame oma strateegiat: lõpetame õhu alla surumise ning muutume selle asemel sama kergeks kui õhk? Õhulaev, zeppelin ehk tirižaabel kasutab õhus püsimiseks hiigelsuurt heeliumiga täidetud õhupalli. Heelium on kergem kui õhk, mistõttu aitab see tasakaalustada õhulaeva väikese kabiini massi.

Selle strateegia miinuseks on tõsiasi, et hiigelsuur õhupall suurendab märgatavalt sõidukile mõjuvat õhutakistust.

Joonis C.15: Ellipsoidaalne õhusõiduk.

Õhulaeva energiakulude madalal hoidmiseks (kaalu ja läbitava vahemaa kohta) tuleb sel liikuda aeglaselt, selle kuju peab olema kala-sarnane ning lisaks peab see olema väga suur ning pikk. Proovime koostada mudeli, mis aitaks meil kirjeldada ideaalse õhulaeva energiakulu.

Ma eeldan, et meie õhupall on ellipsoidaalne; olgu selle ristlõikepindala ning pikkus . Õhupalli ruumala on seega . Kui õhulaev liigub ühtlaselt õhus tihedusega , on sõiduki kogumass (seehulgas nii selle kaup kui ka heelium) .

Kui meie õhulaev liigub kiirusega , on õhutakistuse poolt sellele avaldatav jõud

milles cd on õhutakistustegur - lennukite andmetele põhinedes on see ligikaudu 0,03. Ühikulise vahemaa läbimiseks kuluv energiahulk on jagatud mootorite efektiivsusega . Seega on kogu transpordikulu ehk ühikulise vahemaa läbimiseks kuluv energiahulk ühikmassi kohta:

Pean ütlema, et see on üpriski kena tulemus! Selle ideaalse õhulaeva transpordikulu sõltub ainult selle kiirusest ning pikkusest , kuid mitte õhutihedusest  ega õhupalli esipinna pindalast .

Meie mudel kehtib muutmata kujul ka allveelaevade kohta. Õhulaeva transpordikulu ( tonn-kilomeetri kohta) on sama mis täpselt sama pikal ning sama kiirusega liikuval allveelaeval. Allveelaev aga sisaldab korda rohkem massi, sest vesi on õhust korda tihedam, ning selle edasiliigutamine on korda kulukam. Ainus erinevus nende kahe sõiduki vahel on reklaamikulud.

Hea küll – paneme meie valemisse nüüd ka mõned numbrid sisse. Eeldame, et me soovime liikuda kiirusega 80km/h (tänu millele kuluks meil Atlandi ookeani ületamiseks kolm päeva). SI ühikutes teeb see . Võtame efektiivsuseks . Kui pikk peaks meie õhulaev olema et saavutada parim võimalik transpordikulu? Hindenburg oli 245 meetrit pikk. Kui võtame , on meie transpordikulu:

Kui kasulik kaup moodustab meie õhulaeva massist poole, on selle hiiglasliku sõiduki transpordi kogukulu – see on võrreldav näiteks rongidega.

Laugurid

Laugur ehk ekranoplaan on pinnaefektil töötav veesõiduk: laugur ei püsi õhus mitte tänu õhu ega vee allapoole surumisele vaid kasutab hõljumiseks selle tiibade ning veepinna vahel oleva kokkusurutud õhu „patja.“ Seda pinnaefekti saame näha, kui laseme mängukaardil üle lameda lauapinna liuelda. Selle õhupadja hoidmine nõuab väga vähe energiat, mistõttu on pinnaefektil töötavad veesõidukid oma energiakulu poolest justkui tavasõidukid, millele ei mõju veeretakistust. Lauguri liikumisel kulub suurem osa energiast õhutakistuse ületamisele. Pidagem meeles, et optimaalse kiirusega lendava lennuki puhul kulub pool selle energiast õhutakistuse ületamisele ning pool õhu allapoole surumisele.

Joonis C.16: Laugur nimega Lun – veidi pikem ja raskem kui Boeing 747.

Ekranoplaan töötati välja Nõukogude Liidus Hrustšovi ajal sõjaväe transpordivahendina ning raketiheitjana. Ekranoplaan Lun lendas kiirusega 500km/h ning selle kaheksa mootori kogutõukejõud oli – pärast veepinna kohale kerkimist kulus sel aga palju vähem energiat. Kui eeldame, et lennu ajal oli vajalik tõukejõud vaid veerand maksimumist, et mootorite efektiivsus oli ning et selle -tonnisest massist moodustas transporditav kaup tonni, oli selle sõiduki kogu transpordikulu  tonn-kilomeetri kohta. Kujutan ette, et mittesõjaväelises kasutuses oleva transpordivahendina moodustaks ekranoplaani transpordikulu umbes pool tavalise lennuki transpordikulust.

Müütarusaamad

Lennuk lendas ju nagunii – seega oli minu reis energianeutraalne.

See väide on vale kahel põhjusel. Esiteks nõuab sinu tõttu lisanduv mass lennukilt lisaenergia kasutamist. Teiseks vastavad lennufirmad nõudluse kasvule väljumiste lisamisega.

Märkused ja edasine lugemine

Boeing 747. 747 õhutakistustegur: www.aerospaceweb.org. Ülejäänud 747 andmed [2af5gw]. Albatrossi andmed [32judd].

Tegelike reaktiivmootorite efektiivsus on ligikaudu . Tavalise mootori energiaefektiivsus jääb vahemikku 23% -  [adg.stanford.edu/aa241/p]. Tavalise lennuki puhul jääb mootorite efektiivsus kusagile ja protsendi vahele, kusjuures parimad turboventilaatormootorid saavutavad optimaalsel lennukõrgusel 37 protsendilise efektiivsuse [www.grida.no/climate/ipcc/aviation/097.htm]. Siinkohal pole aga lahenduseks lihtsalt kõige efektiivsema mootori valimine, sest see võib kaaluda palju rohkem (st selle mass avaldatava tõukejõu kohta on suurem), mistõttu kannatab kogu lennuki üleüldine efektiivsus.

Pikim mõõdetud linnu lennuulatus...

New Scientist 2492. “Vöötsaba-vigle on taeva valitseja.” 26 märts, 2005. 11 September, 2007: Vigle lendas peatusteta Alaskast Uus-Meremaale. [2qbquv]

Korraga läbitava vahemaa optimeerimine: ideaalseks ühe lennu vahemaaks on umbes . Allikas: Green (2006).

Reisijatetranspordiks kasutatava katamaraani andmed. Allikas: [5h6xph]. Veeväljasurve (täiskoormaga): tonni. 1050 meremiili pikkusel reisil tarbis see vaid liitrit kütust. Minu arvutuste kohaselt teeb see transpordikuluks tonn-kilomeetri kohta. Siinkohal arvestasin ma muide sõiduki kogumassi. Sama sõiduki transpordiefektiivsus reisija kohta on ligikaudu 35kWh reisija-kilomeetri kohta.

Ekranoplaan Lun. Allikad: www.fas.org, (Taylor, 2002a).

Edasine lugemine: Tennekes (1997), Shyy et al. (1999).

Päike II
Joonis D.1: Kaks puud.

Kirjeldasime eelnevalt nelja päikeseenergia jõul töötavat biomassi alternatiivi:

  1. Kivisöe asendamine.
  2. Nafta asendamine.
  3. Toit inimestele ja muudele loomadele.
  4. Põllumajanduslike kõrvalsaaduste põletamine.

Proovime hinnata nende nelja protsessi võimalikku usutavat panust meie energiatoodangusse. Praktikas nõuavad mitmed nendest meetoditest kogu protsessi jooksul nii palju sisendenergiat, et neid ei saagi õieti energiaallikatena käsitleda (joonis 6.14). Kuid järgnevas kirjelduses ignoreerime me seda energiakulu.

Energiakultuurid kivisöe asendamisel

Kui kasvataksime Suurbritannias selliseid energiakultuure nagu paju, siidpööris või pappel (millede keskmine võimsus on 0,5W ruutmeetri kohta) ning põletame need järgnevalt -protsendilise efektiivsusega elektrijaamas, saame pindala kohta toodetavaks energiahulgaks . Kui katta kaheksandik Suurbritannia pindalast (500m2 inimese kohta) selliste istandustega, võiksime inimese kohta toota päevas.

Nafta asendamine

Vedelkütuse tootmiseks taimedest leidub mitmeid erinevaid viise. Kirjeldan nende meetodite potentsiaali läbi ühikulisel pindalal toodetava energiahulga (nagu joonisel 6.11).

Suurbritannia peamine biodiisel-kultuur: raps

Joonis D.2: Õliseemne raps. Biodiisli tootmise korral on rapsi energiaväärtus ühikulise pindala kohta 0,13W/m2. Foto: Tim Dunne.

Tavaliselt külvatakse rapsi septembris ning saagikoristus toimub järgmises augustis. Hetkel kasvatatakse Ühendkuningriigis igal aastal rapsi 450000 hektaril (see moodustab Ühendkuningriikide pindalast). Rapsipõld toodab iga hektari kohta aastas liitrit biodiislit; biodiisli energiatihedus on 9,8kWh liitri kohta ehk siis 0,13W/m2.

Kui kasutaksime rapsi kasvatamiseks Suurbritannia pindalast, toodaksime inimese kohta biodiislit 3,1kWh päevas.

Puidu ja sarnaste asjade kütteväärtused. Allikad: Yaros (1997); Ucuncu (1993), Digest of UK Energiastatistika 2005.

Bioetanooli tootmine suhkruroost

Riikides, kus saab kasvatada suhkruroogu (näiteks Brasiilias), on võimalik toota tonni suhkruroogu hektari kohta, andes tootlikkuseks ligikaudu 176000 liitrit etanooli. Bioetanooli energiatihedus on liitri kohta ning seega on selle protsessi tootlikkus 1,2W/m2.

Bioetanooli tootmine suhkrupeedist

Suhkrupeet kasvab Ühendkuningriikides hämmastavalt hästi – selle saagikus on 53 tonni hektari kohta aastas. Ühest tonnist suhkrupeedist saab toota 108 liitrit bioetanooli. Bioetanooli energiatihedus on liitri kohta, andes selle protsessi energiatootlikkuseks 0,4W/m2 (ilma sisendenergiat arvestamata).

Bioetanooli tootmine maisist Ameerika Ühendriikides

Maisi abil toodetava bioetanooli energiatootlikkus ühikpindala kohta on hämmastavalt madal. Kirjutame need numbrid esmalt lihtsalt nalja pärast arhailiste ühikutega: ühel aakril saab aastas toota 122 vakka maisi, millest saame 122×2,6 Ameerika gallonit etanooli. See tähendab aga vaid – ja seda ilma töötlemise energiakadusid arvesse võtmata!

Tselluloosietanooli tootmine vitshirsist

Tselluloosietanool – hämmastav „järgmise põlvkonna“ biokütus? Oma 2008. aasta uurimuses leidsid Schmer ning tema kolleegid, et viie aasta jooksul oli vitshirsi energiatoodang keskmise viljakusega USA keskosariikide põldudel 60GJ hektari kohta aastas ehk . „See on alusuuring, mis esindab vitshirsi tootmise geneetilist materjali ning põllumajanduslikke tehnoloogiaid aastatel 2000 ning 2001, mil külvamine toimus. Edasised arengud geneetikas ning põllumajandustehnoloogias võivad vitshirsi energia-jätkusuutlikkust ning biokütuse toodangut kasvatada.“

Ka Jatropha energiatihedus ühikpindala kohta on madal

Jatropha on õlikultuur, mis kasvab kõige paremini kuivades troopilistes piirkondades (3001000mm vihma aastas). Selle lemmiktemperatuuriks on 2028C. Kuumades riikides heas pinnases kasvava Jatropha võimalikuks toodanguks on liitrit biodiislit hektari kohta aastas. See teeb ühikpindala kohta toodetavaks energiahulgaks 0,18W/m2. Jäätmaal on toodanguks liitrit hektari kohta aastas. See teeb 0,065W/m2.

Kui otsustaksime kasutada protsenti Aafrika pindalast, et toota 0,065W/m2 ning jagada see energia kuue miljardi inimese vahel, siis kui palju meist igaüks saaks? See teeks inimese kohta. Võrdluseks: maailma naftatarbimine on miljonit barrelit päevas, mis teeb kuue miljardi inimese korral 23kWh/p inimese kohta. Seega – isegi kui kataksime kogu Aafrika Jatropha istandustega, oleks toodetav energiahulk vaid kolmandik maailma naftatarbimisest.

Aga vetikad?

Vetikad on lihtsalt taimed, mistõttu kehtib kogu eelnevalt kirjeldatu ka vetikate kohta. Limased veealused taimed pole fotosünteesis efektiivsemad kui nende maapealsed sugulased. Kuid leidub üks trikk, mida ma pole veel kirjeldanud: vetikatest biodiisli tootmise standardpraktika ehk vetikate kasvatamine süsinikdioksiidiga rikastatud vees. See süsinikdioksiid saadakse näiteks elektrijaamadest või muude industriaalhoonete heitgaasidest. Taimede jaoks on fotosüntees palju lihtsam, kui süsinikdioksiid on nende jaoks juba eelnevalt kontsentreeritud. Auburni Ülikooli teadlase Ron Putti andmetel kasvavad mõnes päikselise asukohaga Ameerika tiigis (milles süsinikdioksiidi kontsentratsioon on ) vetikad kiirusega kuni 30g ruutmeetri kohta päevas, tootes 0,01 liitrit biodiislit ruutmeetri kohta päevas. See teeb 4W/m2 – ligikaudu sama energiatoodang, mis mõnel Bavaaria päikesefarmil. Kui soovime tavalise autoga (kütusekulu kilomeetrit liitri kohta) sõita kilomeetrit päevas, tuleb meil selle auto käimashoidmiseks katta vetikatiikidega 420-ruutmeetrine ala. Võrdluseks: Suurbritannia pindala ühe kodaniku kohta on 4000 ruutmeetrit, millest 69m2 moodustab vesi (joonis 6.8). Ärge palun unustage, et neid tiike tuleb pidevalt kontsentreeritud süsinikdioksiidiga toita. Seega piirab seda tehnoloogiat nii pindala (kui suure osa Suurbritannia pindalast saaksime vetikatiikideks muuta) kui ka kontsentreeritud süsinikdioksiidi kättesaadavus (selle püüdmisel on samuti oma energiakulu – lähemalt kirjeldasime seda peatükkides Taastuvad fossiilkütused? ning Viimane asi, millest peame rääkima). Uurime, millise piirangu paneb sellele protsessile kontsentreeritud süsinikdioksiid. Et kasvatada igapäevaselt 30g vetikaid ruutmeetri kohta, on tarvis vähemalt 60g süsinikdioksiidi ruutmeetri kohta päevas (sest  molekuli mass  süsiniku aatomi kohta on suurem kui vetikate molekulidel). Kui püüaksime kinni Suurbritannia kõikides elektrijaamades toodetava süsinikdioksiidi (ligikaudu tonni aastas inimese kohta), saaksime töös hoida ruutmeetrit vetikatiike inimese kohta – ligi meie riigi pindalast. See pindala toodaks biodiislit võimsusega inimese kohta, eeldades, et päikselise Ameerika kohta käivad arvud kehtivad ka siin. On see aga usutav? Võib-olla peaksime kaaluma vaid kümnendikku sellest? Lasen teil endil otsustada.

Aga merevetikad?

Pidage meeles, mida ma just ütlesin: vetikatest biodiisli tootmiseks kasutatakse alati kontsentreeritud süsinikdioksiidi. Merevee kasutamisel ei ole süsinikdioksiidga rikastamine ilmselt eriti mõeldav. Ilma selle rikastamisprotsessita langeb vetikate energiatootlikkus aga ligi sada korda! Et merevetikatest energia tootmine mõttekaks muuta, oleks vaja riikide suuruse pindalaga saagikoristusalasid.

Aga vetikad, millest saab toota vesinikku?

Lima ja päikesevalguse kasutamine vesiniku tootmiseks on hea idee, sest selle abil jäetakse vahele terve hulk keemilisi protsesse, mis tavatingimustes süsivesikuid tootvates taimedes aset leiavad. Iga selline keemiline protsess langetab veidi selle protsessi efektiivsust. Kuid fotosünteesi protsessis toimub vesiniku tootmine kohe esimese sammuna. Colorado osariigis asuva Riikliku Taastuvenergia Laboratooriumi uurimuse kohaselt saaks geneetiliselt muundatud rohevetika abil Arizonase kõrbes toota -hektarilisel pindalal ligikaudu 300kg vesinikku päevas. Vesinik sisaldab 39kWh energiat kilogrammi kohta, mistõttu oleks selle tootmisüksuse kogutoodang 4,4W/m2. Kui võtame arvesse selle tehase käimashoidmise energiakulu, langeb kogutoodang 3,6 vatini ruutmeetri kohta. See näib mulle siiski üpriski paljulubavana – võrrelgem seda näiteks Bavaaria päikesefarmi energiatoodanguga (5W/m2).

Tabel 4.10: Puidu ja sarnaste asjade kütteväärtused.
 

Energiatihedus
​​​​​​​ ()
Okaspuit
– välisõhus kuivatatud4,4
– ahjus kuivatatud
Lehtpuit
– välisõhus kuivatatud3,75
– ahjus kuivatatud5,0
Valge tarbepaber
Läikiv paber4,1
Ajaleht
Papp4,5
Süsi
Õled
Linnutööstuse jäätmed
Üldised tööstusjäätmed4,4
Meditsiinijäätmed3,9
Tahked olmejäätmed2,6
Jäätmetest saadav praht5,1
Rehvid8,9
Allikad: Yaros (1997); Ucuncu (1993), Digest of UK Energiastatistika 2005
 
Toit inimestele ja muudele loomadele

Teraliste põllukultuuride, seehulgas nisu, kaera, odra ja maisi energiatihedus on ligikaudu kilogrammi kohta. Suurbritannias on nisu keskmiseks aastaseks toodanguks tonni hektari kohta. Kui selle nisu sööb ära mõni loom, on selle protsessi ühikvõimsus 0,34W/m2. Kui Suurbritannia pindalast 2800m2 (kogu meie põllumaa) pühendataks selliste kultuuride kasvatamiseks, oleks toodetavaks keemiliseks energiahulgaks ligikaudu inimese kohta.

Põllumajanduslike kõrvalsaaduste põletamine

Vaid mõni hetk tagasi leidsime, et parimat energiakultuuri põletava bioelektrijaama võimsus ühikulise pindala kohta on . Kui me kasvatame aga selle asemel taimi toiduks ning viime söömata jäänud ülejäägid elektrijaama (või siis anname selle kanadele toiduks ning kasutame selles elektrijaamas kanade väljaheiteid), siis kui palju oleks ühikpindalaga põllulapi poolt toodetav võimsus? Anname esialgu vaid ligikaudse hinnangu ning vaatame seejärel ka tegelikke andmeid. Ligikaudse hinnangu jaoks kujutame ette, et kõrvalsaadused pärinevad põllumaalt, mille pindala on võrdne poolega Suurbritannia pindalast (2000m2 inimese kohta), ning et need saadused viiakse veokite abil elektrijaamadesse. Keskmiselt saab põllumajanduslikest kõrvalsaadustest toota umbes parimate energiakultuuride energiast: . Korrutades selle väärtuse ruutmeetriga, saame päevas inimese kohta.

Kas ma olin sellise hinnangu andmisel veidi ebaaus? Põllumajanduslike jäätmete võimalikule energiatootlikkusele lisahinnangu andmisel võiksime kasutada Ida-Anglias asuvat prototüüpset Eleani elektrijaama, milles põletatakse õlgesid. Proovime neid andmeid lihtsalt skaleerida. Eleani võimsus on 36MW ning selles kasutatakse iga-aastaselt tonni materjali, mis pärineb ümbritsevalt -miilise raadiusega maa-alalt. Kui me eeldame, et sellist tihedust saaks kogu riigi ulatuses korrata, saaksime Eleani mudeli põhjal toota 0,002W/m2. Kui iga inimese kohta on meil , teeb see 8W inimese kohta ehk .

Proovime mõnda teist arvutusviisi. Suurbritannia õletoodang on miljonit tonni aastas ehk 0,46kg päevas inimese kohta. Energiatihedusega 4,2kWh kilogrammi kohta saame me õlgede keemilise energia kontsentratsiooniks päevas inimese kohta. Kui kõik need õled põletataks -protsendilise efektiivsusega elektrijaamas (see ettepanek ei oleks loomadele just eriti vastuvõetav, sest nemad kasutavad õlgi muul eesmärgil), saaksime inimese kohta toota päevas.

Prügilate metaangaas

Hetkel pärineb prügilatest vabanev metaangaas peamiselt bioloogilistest materjalidest, eriti toiduülejääkidest. Seega on meie toiduülejäägid ning äravisatavad ajalehed jätkusuutlikuteks energiaallikateks seni, kuni me nende äraviskamist jätkame. Lisaks on metaani põletamine heaks ideeks ka kliimamuutuse aspektist, sest metaan on süsinikdioksiidist hulga ohtlikum kasvuhoonegaas. Prügilast, millesse igal aastal lisandub 7,5 miljonit tonni olmejäätmeid, saaks toota kuupmeetrit metaani tunnis.

1994. aasta andmetel hinnati prügilate metaanheitgaaside hulgaks 0,05m3 inimese kohta päevas. See annab keemilise energia hulgaks inimese kohta, mistõttu saaksime -protsendilise efektiivsusega protsessi abil toota inimese kohta 0,2kWh(e) elektrit päevas. Prügilate heitgaasid on tänu seadusmuudatustele aga vähenenud, moodustades varasemast vaid ligikaudu .

Joonis D.4: SELCHP – sinu prügi on nende äri.

Olmejäätmete põletamine

SELCHP (South East London Combined Heat and Power ehk Kagu-Londoni kombineeritud soojus ja elekter) [www.selchp.com] on 35-megavatise võimsusega elektrijaam, millele makstakse Londoni piirkonna mustade prügikottide (420 kilotonni aastas) põletamise eest raha. Kogu praht põletatakse ilma sorteerimata. Põletamise järgselt eemaldatakse värvilised metallid taaskäitlemiseks, ohtlikud jäätmed saadetakse spetsiaalsesse käitlusjaama ning ülejäänud tuhk saadetakse taaskasutuseks nii tee-ehituses kui ka üldistes ehitusmaterjalides. Nende jäätmete kütteväärtus on 2,5kWh/kg ning sellise elektrijaama soojusefektiivsus on ligikaudu 21%, mistõttu saab ühest kilogrammist prahist toota elektrit. Süsinikdioksiidi toodetakse seejuures kiirusega ligikaudu 1000g/kWh. Toodetavast 35-st megavatist kasutab see elektrijaam nii oma masinate tööshoidmiseks kui ka prahi filtreerimiseks umbes 4MW.

Võime hinnanguliselt öelda, et kui igas linnaosas asuks üks selline elektrijaam ning kui meist igaüks saadaks sinna prahti päevas, saaksime selle prahi põletamisel toota 0,5kWh(e) päevas inimese kohta.

See väärtus on ülalpool toodud hinnanguga sarnane. Ning pidagem meeles, et me ei saa kõike korraga kasutada. Rohkem prügi põletamist tähendab väiksemal hulgal metaanisaastet. Prügi põletamisega seotud lisaandmete jaoks vaadake jooniseid 27.2 ning 27.3.

Märkused ja edasine lugemine

Paju, siidpöörise või papli energiatihedus ühikulise pindala kohta on . Allikas: Select Committee on Science and Technology Minutes of Evidence – Memorandum from the Biotechnology Biological Sciences Research Council [www.publications.parliament.uk/pa/ld200304/ldselect/ldsctech/126/4032413.htm]. „Keskmiselt saab Põhja-Euroopas toota aastas kuivtonni jätkusuutlikku puit-biomassi... Seega toodab ruutkilomeeter maapinda kuivtonni aastas – see annab madala efektiivsuse korral võimsuseks 150kWe ning kõrge efektiivsuse korral 300kWe.“ See tähendab 0,150,3W(e)/m2.

Vaata ka Layzell et al. (2006), [3ap7lc].

Õliseemne raps. Allikad: Bayer Crop Science (2003), Evans (2007), www.defra.gov.uk.

Suhkrupeet. Allikas: statistics.defra.gov.uk/esg/default.asp

Maisist toodetav bioetanool. Allikas: Shapouri et al. (1995).

Tselluloosist toodetav bioetanool. Vaata ka Mabee et al. (2006).

Jatropha. Allikad: Francis et al. (2005), Asselbergs et al. (2006).

Ameerikas kasvavad vetikad kontsentreeritud süsinikdioksiidiga () rikastatud tiigis kiirusega kuni 30g ruutmeetri kohta päevas, tootes 0,01 liitrit biodiislit ruutmeetri kohta päevas. Allikas: Putt (2007). Selles arvutuses ei arvestatud vetikatiikide haldamiseks ning biodiisli töötlemiseks kuluvat energiahulka. Putt kirjeldab kavandatava -aakrilise vetikafarmi energiabilanssi, kusjuures farmi hoiab töös loomade väljaheidetest pärinev metaan. Kirjeldatav farm toodaks tegelikult vähem energiat kui selle käimashoidmiseks vajatava metaani hulk. -aakrine farm kasutaks 2600kW metaani, andes sisend-võimsustiheduseks  6,4W/m2. Meenutagem, et väljund-võimsustihedus biodiisli näol oleks vaid 4,2W/m2. Igasugusetele biokütuseid puudutavatele ettepanekutele tuleks läheneda kriitilise pilguga!

Riikliku Taastuvenergia Laboratooriumi uurimuse kohaselt saaks geneetiliselt muundatud rohevetika abil -hektarilisel pindalal toota ligikaudu 300kg vesinikku päevas. Allikas: Amos (2004).

Eleani elektrijaam. Allikas: Government White Paper (2003). Eleani Elektrijaam (36MW) – Suurbritannia esimene õlgede põletamisel põhinev elektrijaam. Õlgede tootmine: www.biomassenergycentre.org.uk.

Prügilagaas. Allikad: Matthew Chester, City Ülikool, London, isiklikud vestlused; Meadows (1996), Aitchison (1996); Alan Rosevear, Methane to Market prügilagaasi alamkommitee Suurbritannia esindaja, mai 2005 [4hamks].

Kütmine II
Kütmine II
Maja

Täiuslikult hermeetiline ja hästi soojustatud hoone hoiaks soojust lõputult ning seega ei vajaks see mingit kütmist. Kaks peamist hoonete soojuskao põhjust on:

1. Soojusjuhtivus – otsene soojuskadu läbi seinte, akende ja uste;

2. Ventilatsioon – sooja õhu lekkimine läbi mõrade, pilude või tahtlikult ehitatud ventilatsiooniavade.

Soojuskao standardmudeli kohaselt on mõlemad neist soojuskadudest sise- ja välisõhu temperatuurivahega proportsionaalsed. Keskmise Briti maja soojusjuhtivus moodustab neist kahest soojuskaost suurema osa, nagu me ka kohe näeme.

Soojuskadu tänu soojusjuhtivusele

Seinte, lagede, põrandate või akende soojusjuhtivus on kolme väärtuse korrutis: seina pindala; seina soojusjuhtivust kirjeldav väärtus, mida ehitussektoris nimetatakse -väärtuseks ehk soojuse läbilaskevõimeks; ning temperatuurierinevus -

U-väärtust mõõdetakse tavaliselt ühikutes W/m2/K. (Üks kelvin (1K) on sama mis üks kraad Celsiust (1C).) Mida suurem on -väärtus seda suurem on energiakadu. Mida paksem on sein, seda madalam on selle -väärtus. Kahekordsed aknad on peaaegu sama head kui üks korralik kivisein (vt tabel).

Erinevate üksteise järel asuvate (näiteks sein ja selle sisemus) objektide -väärtusi saab kombineerida samamoodi nagu elektrijuhtivust:

Sellel seadusel põhinevad mitmed näited.

Soojuskadu läbi ventilatsiooni

Et arvutada välja sissetuleva külma õhu soojendamiseks kuluv energiahulk, on meil vaja teada õhu soojusmahtuvust: 1,2kJ/m3/K.

Ehitussektoris kirjeldatakse ventilatsioonist tulenevat ruumi energiakadu tavaliselt korrutisena, mille teguriteks on õhuvahetuste arv õhus ühe tunni jooksul, ruumi ruumala kuupmeetrites, soojusmahtuvus ning sise- ja välisõhu temperatuuride vahe .

Tabel 4.11:

Köök

Vannituba

Elutuba

Magamistuba


Õhuvahetused ühe tunni jooksul: keskmised väärtused tuuletõmbekindlates ruumides. Kõige hullemate tuuletõmmetega ruumide -väärtus võib olla kuni õhumuutust tunnis. Soovitatav minimaalne õhuvahetuse kiirus on kusagil ja õhumuutuse juures tunni kohta – see tagab adekvaatse õhuvahetuse inimeste tervise tagamiseks, kütuste ohutuks põletamiseks ning hoiab ära hoone ehitusmaterjalide kahjustumise õhu liigse niiskuse tõttu (EST 2003).

Tabel 4.12: Seinte, põrandate, katuste ja akende U-väärtused



U-väärtused (W/m2/K)



Vanad hooned

Kaasaegsed standardid

Parimad meetodid

Seinad


0,450,6

0,12

Telliskivi-müür



Välissein: 23-sentimeetri paksune telliskivi

2,2



-sentimeetri paksune telliskividest sein, täitmata seinaõõnsused

1,0



-sentimeetri paksune telliskividest sein, isoleeritud seinaõõnsused



Põrandad


0,45

Tõstetud puitpõrand

0,7



Tahke betoonpõrand

0,8



Katused


0,25

0,12

-millimeetrise isolatsiooniga lamekatus

0,9



-millimeetrise isolatsiooniga viilkatus

0,3



Aknad



Ühekordsed

5,0



Kahekordsed

2,9



Kahekordsed, 20mm vahe



Kolmekordsed

0,70,9



Energiakadu ja temperatuurinõudlus (kraad-päevad)

Kuna energia = v˜oimsus × aeg, võime pindala kohta lühikese aja jooksul läbi soojusjuhtivuse kaotatud energiahulka kujutada ka järgnevalt:

ning läbi ventilatsiooni kaotatud energiahulka kui

Mõlema energiakao kuju on järgmine:

Joonis E.3 Suurbritannia ja Rootsi ehitusstandardite U-väärtused.

milles seda „miskit“ mõõdetakse vattides kraadi kohta (W/C). Päevast öösse üleminekul temperatuurierinevus muutub; võime pikast perioodist mõelda kui mitme lühikese perioodi summast, kusjuures iga sellise perioodi temperatuurierinevus on ligikaudu konstantne. Ühest perioodist teisele üleminekul temperatuurierinevus muutub, kuid „miski“ ei muutu. Kui soovime ennustada mingi ruumi soojusjuhtivusest ning ventilatsioonist tulenevat soojuskadu pikema perioodi jooksul, tuleb meil seega korrutada kaks väärtust:

  1. kõikide „miskite“ summa (liites kokku pindala × U-v¨a¨artused kõigi seinte, katuste, põrandate, uste ja akende jaoks ning 1/3NV ruumala jaoks); ning
  2. kõikide korrutiste temperatuurierinevus × kestvus summa (kõikide kestvuste jaoks).

See esimene tegur on hoone omadus, mida mõõdetakse vattides kraadi kohta (W/C). Nimetagem seda hoone lekkelisuseks. (Mõnikord kutsutakse seda lekkelisust hoone soojuskao teguriks.) Teine tegur kirjeldab ilmastikuomadusi ning tihti väljendatakse seda „kraad-päevades,“ sest temperatuurierinevust mõõdetakse kraadides ning päevad on ajavahemike kujutamiseks väga kasulikud. Kui sinu maja sisetemperatuur on näiteks 18C ning välistemperatuur on terve nädala jooksul 8C, siis võime öelda, et see nädal lisas omalt poolt meie (ΔT×kestvus) summasse 10×7=70 kraad-päeva. Nimetagem kõikide (ΔT×kestvus) tegurite summat antud perioodi temperatuurinõudluseks.

Energiakadusid saame vähendada, kui vähendame hoone lekkimist või kahandame soovitavat temperatuuri – või siis teeme mõlemat. Järgnevas kahes peatükis vaatame neid tegureid lähemalt, kasutades näitena ühte Cambridge'is asuvat maja.

Kuid on ka kolmas tegur, mida peame arvesse võtma. Kogu kaotatud energia asendatakse läbi hoone küttesüsteemi ning ka teiste energiaallikate, sealhulgas elanike, nende seadmete, pliidi ning Päikese abil. Küttesüsteemi osas peame ära märkima, et kütmisest saadav energia pole võrdne küttesüsteemi poolt tarbitava energiahulgaga. Nende kahe energiahulga suhet nimetatakse küttesüsteemi kasuteguriks.

Maagaasi põletava kondensatsioonikatla kasutegur on näiteks , sest energiast läheb korstnas kaduma.

Kokkuvõtvalt saab öelda, et hoone energiakulu saame vähendada kolmel viisil:

  1. vähendades temperatuurinõudlust;
  2. vähendades lekkelisust;
  3. suurendades küttesüsteemi kasutegurit.

Proovime nende valikute potentsiaalse kasulikkuse nüüd numbritesse panna. (Neljas meetod – hoone juhuslike kütteallikate, eriti päikesepaiste, suurendamine võib samuti kasulik olla, kuid ma ei kavatse seda siin kirjeldada.)

Temperatuurinõudlus

Temperatuurnõudlust saame kenasti graafikul kujutada, kui kanname sellele välistemperatuuri aja suhtena (joonis E.4).

Joonis E.4: Temperatuurinõudlus Cambridge'is 2006. aastal päevade keskmisena. (a) Termostaat on seatud kraadi peale, kaasa arvatud suvine jahutamine; (b) talvel on termostaat seatud 17 kraadi peale.

Selleks, et hoida hoonet temperatuuril 20C, on temperatuurinõudlus võrdne 20-kraadise horistontaalse joone ning välistemperatuuri vahele jääva ala pindalaga. Jooniselt E.4a loeme välja, et ühe aasta jooksul hoone hoidmine temperatuuril 20C andis temperatuurinõudluseks 3188 kraad-päeva kütmist ning 91 kraad-päeva jahutamist. Selliste graafikute abil saame ilma õhukonditsioneerita elamise või termostaadi keeramise mõju kergelt hinnata. Kui keerame talvel termostaadi 17 kraadini, langeb temperatuurinõudlus 3188lt kraad-päevalt 2265 kraad-päevani (joonis E.4b) ehk ligi võrra. Kui keerame termostaadi aga kraadile, langeb nõudlus 3188lt kraad-päevalt 1748 kraad-päevani – lausa -protsendiline kahanemine!

Joonis E.6: Temperatuurinõudlus Cambridge'is 2006. aastal graafikul, mille ühikuteks on kraad-päeva päeva kohta ehk siis lihtsalt kraadi. Nendes ühikutes on temperatuurinõudlus lihtsalt sise- ja välistemperatuuride vahe keskmine.

Nende arvutuste abil saame ligikaudselt hinnata termostaadi keeramise kasu, kuid täpse hinnangu saame vaid siis, kui võtame arvesse veel kahte detaili: esiteks neelavad hooned iseenesest Päikeselt tulevat energiat ning tõstavad seeläbi hoone sisetemperatuuri välisest kõrgemale – seda ka ilma kütmiseta; teiseks kiirgavad hoone elanikud ja nende seadmed samuti soojust, vähendades kunstliku kütmise vajadust veelgi. Mingi piirkonna temperatuurinõudlus, mida kirjeldatakse tavaliselt kraad-päevades, on veidi jäik asi. Minu jaoks on näiteks raske meeles pidada sellist numbrit nagu 3500 kraad-päeva. Ning akadeemikute jaoks on kraad-päeva ühik päris murettekitav, sest nemad kasutavad kraad-päeva jaoks juba ühte teist tähendust (tegu on uhketesse kleitidesse ning mütsidesse riietumise päevaga). Kui jagame selle arvu aga 365ga (ehk siis päevade arvuga aastas) muutub see suurus tähendusrikkamaks ning on kergemini kasutatav – nii saame temperatuurinõudluse kraad-päevades päeva kohta ehk siis lihtsalt kraadides. Joonisel E.6 on eelmine graafik toodud nendes uutes ühikutes. Sel viisil kujutatuna on temperatuurinõudlus sise- ja välistemperatuuri vahede keskmine. Esiletõstetud temperatuurinõudlused on: 8,7C kui termostaadi seadistus on 20C, 6,2C kui seadistus on 17C ning 4,8C kui seadistus on 15C.

Joonis E.7: Minu maja.

Lekkelisus – näide: minu maja

Minu maja on kolme magamistoaga paarismaja, mis ehitati umbes aastal 1940 (joonis E.7). 2006. aastaks oli selle kööki veidi laiendatud ning enamik aknaid olid kahekordsed. Nii esi- kui ka tagauks olid jätkuvalt ühekordse klaasiga.

Minu hinnang selle maja lekkelisusele 2006. aastal on toodud ära järgnevas tabelis. Hoone kogu-lekkelisus oli 322W/C (ehk 7,7kWh/p/C), kusjuures soojusjuhtivuse lekkelisus moodustas sellest 72% ning ventilatsioonist tulenev lekkimine 28%. Soojusjuhtivuse lekkimine jagunes kolmeks: aknad, seinad, põrand ja lagi.

Tabel 4.13: Soojuskaod soojusjuhtivusest.

Soojusjuhtivuse leke

Pindala (m2)

U-väärtus (W/m2/C)

Lekkelisus (W/C)

Horisontaalsed pinnad

Viilkatus

48

28,8

Lamekatus

4,8

Põrand

0,8

Vertikaalsed pinnad

Lisaseinad

24,1

14,5

Peamised seinad

Õhuke sein (13 cm)

Ühekordse klaasiga aknad ja uksed

7,35

36,7

Topeltaknad

17,8

2,9

51,6

Soojusjuhtivuslik koguleke



232,4

Tabel 4.13: Soojuskaod ventilatsioonist.

Ventilatsioonileke

Ruumala ()

 (õhumuutused tunnis)

Lekkelisus (W/C)

Magamistoad

Köök

Suur tuba

27

27

Teised toad

77

25,7

Ventilatsiooni koguleke




Minu maja soojusjuhtivusest ning ventilatsioonist tulenev koguleke enne 2006. aastat. Arvestasin selle paarismaja keskset seina kui täielikult isoleerivat seina, kuid see võib olla vale, kui lähedal asuvate majade vaheline osa on tegelikult hästi soojustatud.

Tõstsin esile parameetrid, mida ma pärast 2006. aastat muutsin – kirjeldan neid uuendusi kohe lähemalt.

Joonis E.5: Temperatuurinõudlus Cambridge'is kraad-päevades aasta kohta termostaadiseadistuse funktsioonina (). Termostaadi seadistuse talvine vähendamine lt kraadilt 17ne kraadini vähendab küttesüsteemi temperatuurinõudlust võrra, 3188-lt 2265 kraad-päevale. Suvine termostaadi seadistuse tõstmine lt kraadilt 23ne kraadini vähendab jahutussüsteemi temperatuurinõudlust 82% võrra, 91lt ne kraad-päevale.

Et võrrelda kahe erineva põrandapindalaga hoone lekkelisust võime jagada lekkelisuse pindalaga: nii leiame hoone soojuskao parameetri, mida mõõdetakse ühikutes 322W/m2/C. Antud maja (mille põranda kogupindala on 88m2) soojuskao parameeter on

Kasutame neid arve, et leida selle maja päevane energiatarve külmal talvepäeval ning ka terve aasta jooksul.

Külmal päeval võtame välistemperatuuriks 1C ning sisetemperatuuriks 19C, saades temperatuurierinevuseks ΔT=20C. Kui see erinevus kestab tundi päevas, siis on igapäevaseks kaotatud energiahulgaks

Kui temperatuuri hoitakse tunni jooksul kraadi juures, on igapäevane kaotatud energiahulk

Et leida terve aasta kohta käiv soojuskadu, võime võtta jooniselt E.5 Cambridge'i maja temperatuurinõudluse. Kui termostaat oli seatud -le kraadile, oli temperatuurinõudlus 2006. aastal 2866 kraad-päeva. Kui maja hoitakse alati kraadi juures, on keskmine soojuskadu

Kui nihutame termostaadi aga 17 kraadi peale, langeb keskmine soojuskadu 48 kilovatt-tunnini päeva kohta. Kui tõstame selle aga kraadi juurde, on keskmine soojuskadu kilovatt-tundi päevas.

Lisasoojustuse mõju

2007. aasta jooksul viisin ma oma majas läbi järgnevad muudatused:

  1. Lisasin seinaõõnsuste soojustuse (mis maja peamistes seintes puudus) – joonis 21.5
  2. Parandasin katuse isolatsiooni.
  3. Lisasin vanale esiuksele lisaks ka uue esiukse – joonis 21.6.
  4. Asendasin tagaukse klaasi kahekordse klaasiga.
  5. Vahetasin välja viimase ühekordse klaasiga akna.

Millist muutust võime selle maja soojuskadudes oodata?

Maja koguleke enne neid muudatusi oli 322W/C.

Maja peamiste seinte õõnsuste soojustus (uus -väärtus ) vähendas maja lekkelisust 20W/C võrra. Katuse parem soojustus (uus -väärtus 0,3) peaks lekkelisust vähendama 14W/C võrra. Muutused akna- ja ukseklaasides (uus -väärtus 1,61,8) peaks soojusjuhtivusest tulenevat lekkimist vähendama 23W/C võrra ning ventilatsioonist tulenevat lekkimist ligikaudu 24W/C Võrra. See teeb lekkimise vähenemiseks kokku , väärtuselt 320 (7,7kWh/p/C) väärtuseni 240W/C (6kWh/p/C). Järgnevas tabelis on toodud iga muudatusega seotud eeldatav võit.

Selle maja soojuskao parameeter (kogu põrandapindala 88m2) väheneb seega loodetavasti umbes võrra, väärtuselt 3,7 väärtuseni 2,7W/C/m2. (See on uute hoonete ehitustandarditele vastava „jätkusuutliku“ hoone soojuskadudest veel väga kaugel – vaja oleks saavutada väärtus  1,1W/C/m2).

Tabel 4.15: Eeldatav mõju minu maja soojuskadudele külmal talvepäeval.
 
Seinaõõnsuste täitmine (rakendav kahel kolmandikul 4,8kWh/p seina pindalast)
4,8kWh/p
Parem katuse soojustus
3,5kWh/p
Soojusjuhtivuse vähenemine üleminekul topeltklaasile (kaks ust ja üks aken)
1,9kWh/p
Ventilatsiooni vähendamine elutoas ja köögis tänu uutele ustele ja akendele
2,9kWh/p
 

Juba olemasoleva hoone lekkelisust on masendavalt raske olulisel määral muuta! Nagu vaid hetk tagasi nägime, on tulemus palju parem kui keerame lihtsalt termostaati veidi madalamale. Termostaadi seadistuse muutmine -lt kraadilt 17-nele kraadile vähendas soojuskadu võrra.

Nende kahe teguviisi kombineerimisel – füüsilised muudatused ning termostaadi nupu kruttimine – ennustab see mudel, et soojuskadu peaks vähenema kuni võrra. Kuna majas toodetakse mingil määral soojust ka tänu päikesevalgusele, seadmetele ning elanikele, peaks gaasitarve vähenema rohkem kui võrra.

Pärast kõiki neid muudatusi jälgisin ma oma mõõdikute näitusid iganädalaselt. Võin kinnitada, et minu küttearve vähenes tõepoolest rohkem kui võrra. Nagu jooniselt 21.4 näha, langes minu gaasitarve väärtuselt  väärtuseni 13kWh/p ehk ligikaudu 67% võrra.

Lekkelisuse vähendamine seinte toapoolse isolatsiooni abil

Kas seinte lekkelisust saaks vähendada seinte toapoolse isolatsiooni parandamise abil? Vastus on jah, kuid siinkohal on meil kaks probleemi. Esiteks suureneks seina paksus rohkem kui sa arvata oskad. Et muuta olemasolev 23-sentimeetrine sein (-väärtus 2,2W/m2/K) arvestatavaks  0,30W/m2/K seinaks, on vaja sellele lisada umbkaudu 6-sentimeetri paksune vooderplaat. [65h3cb] Teiseks võib selliste sisemiste soojustuskihtide vahele tekkida kondensatsioon, tuues endaga kaasa niiskusprobleemid.

Kui sul pole tarvis oma seinu sellisel määral soojendada, võid kasutada ka mõnda õhemat sisekatet. Näiteks võid osta 1,8-sentimeetriseid isoleeritud kipsplaate -väärtusega 1,7W/m2/K. Need koos olemasoleva seinaga tähendavad U-väärtuse kahanemist väärtuselt 2,2W/m2/K väärtuseni

See on päris oluline võit.

Õhuvahetus

Pärast hoone edukat soojustamist toimub peamine soojuskadu soojusjuhtivuse asemel läbi ventilatsiooni (õhumuutused). Ventilatsiooniga seotud soojuskadu saame vähendada, kui kanname väljamineva õhu soojuse sissetuleva õhu soojusesse üle. Hämmastaval kombel saab selle soojuse kanda üle ilma lisaenergiat kasutamata. Trikiks on siin nina kasutamine – selle selgitas välja looduslik valik ise. Nina soojendab sissetulevat õhku tänu väljuva õhu jahutamisele. Kogu nina ulatuses võime märgata temperatuurigradienti – nina seinad on kõige jahedamad just ninasõõrmete ümbruses. Mida pikem on su nina seda paremini see vastuvoolu liikuva õhu soojusvahetina töötab. Looduse enda „ninades“ on õhuvoolu suund tavaliselt muutlik. Alternatiivselt võib ninana kasutada kahte õhukanalit – ühes liigub õhk sisse ning teises välja – nende kahe kanali õhuvoolud on üksteisest eraldatud kuid soojus saab nende vahel kergesti liikuda. Nii töötavad ninad igasugu ehitistes. Tavaliselt nimetatakse neid ninasid soojusvahetiteks.

Energiatõhusad majad
Joonis E.10: Heatkeeper Serrekunda.

1984. aastal ehitas energiakonsultant Alan Foster Cambridge'i lähedusse energiatõhusa maja – ta jagas oma mõõtetulemusi minuga lahkelt. Maja ise on puitkarkassiga suvemaja, mis põhineb Skandinaavias välja töötatud Heatkeeper Serrekunda mudelil (joonis E.10) ning selle põrandapindala on 140m2. Majas on kolm magamistuba, kontor, kaks vannituba, elutuba, köök ning eesruum. Välised puitseinad toodeti valmiskujul Šotimaal ning maja peamiste osade ehitamine võttis aega vaid paar päeva.

Selle maja seinad on sentimeetri paksused ning nende -väärtus on 0,28W/m2/C. Seestpoolt väljapoole liikudes koosnevad seinad -millimeetrisest kipsplaadist, 27-millimeetrisest õõnsusest, niiskustakistusest, -millimeetrisest vineerplaadist, -millimeetrisest kivivillast, -millimeetrisest bituumeniga immutatud puitkiudplaadist, -millimeetrisest õõnsusest ning 103-millimeetrisetest tellistest. Lae konstruktsioon on sarnane - millimeetrise kivivillast isolatsiooniga. Lae -väärtus on 0,27W/m2/C ning põranda -väärtus on 0,22W/m2/C. Kõik aknad on topeltklaasiga (-väärtus 2W/m2/C) ning nende toapoolne klaas on kiirguse vähendamiseks spetsiaalse materjaliga kaetud. Aknad on paigutatud nii, et päikesevalgus lisab olulisel hulgal soojust, moodustades ruumiküttest umbkaudu .

Maja on hästi tihendatud – kõik aknad ja uksed omavad neopreenist tihendeid. Hoonet köetakse õhksoojuspumpadega läbi põrandasse ehitatud avauste; talvel imetakse pumba abil kogu kasutatud õhk mitmest ruumist välja; selle õhu asendamiseks imetakse uus õhk sisse katusekorruselt.

Joonis E.11: Energiatõhusa maja soojusvaheti.

Nii sissetulev kui ka väljaminev õhk liigub läbi soojusvaheti (joonis E.11), mille abil püütakse kinni 60% vahetuva õhu soojusest. Soojusvaheti on passiivne seade ning ei kasuta energiat: see on justkui suur metallist nina, mis soojendab sissetulevat õhku väljuva õhu abil. Külmal talvepäeval oli väline õhutemperatuur 8C, katusekorruselt sisse tuleva õhu temperatuur oli  0C ning soojusvahetist sisse tulev õhk oli +8C.

Esimese kümne aasta jooksul tuli kogu küte elektrilistest kütteseadmetest – nende abil köeti öise madala elektrihinna jooksul 570-liitrist soojusmahutit. Hiljuti ühendati see maja aga gaasivõrgustikuga ning nüüd toimub ruumi kütmine kondensatsioonikatla abil.

Selle maja soojuskadu soojusjuhtivuse ning ventilatsiooni näol on 4,2W/m2/C. Soojuskao parameeter (lekkimine ühe-ruutmeetrise põrandapinna kohta) on 1,25W/m2/C (minu majal on see 2,7W/m2/C).

Majas on kaks elanikku ning hoone keskmine ruumikütte tarve (kui termostaat oli päeva ajal seatud või kraadi peale) oli 8100kWh aastas ehk päevas. Kogu energiatarve oli umbes 15000kWh aastas ehk päevas. Kui esitada see väärtus keskmise energiakuluna ruutmeetri kohta, saame 6,6W/m2.

Joonisel E.12 võrreldakse selle maja ning minu kodu energiatarvet (nii enne kui ka pärast minu efektiivsusmeetmete läbiviimist) ruutmeetri kohta ning ka Euroopa keskmist. Minu maja energiatarve pärast efektiivsusmeetmeid on energiatõhusa maja väärtustele sarnane – seda tänu termostaadi mahakruttimisele.

Hoonete ja kontorite sihtmärgid

Saksamaa passiivmaja standard nimetab kütte ja jahutuse energiatarbe eesmärgiks 15kWh/m2/a, mis teeb 1,7W/m2. Kogu energiatarbe eesmärgiks on 120kWh/m2/a, mis teeb pindalaühiku kohta 13,7W/m2.

Suurbritannia teenindussektori keskmine energiakulu pindalaühiku kohta on hetkel .

Energiatõhus kontor

Riiklik Energia Sihtasutus ehitas endale madalate ülalpidamiskuludega energiatõhusa hoone. Sooja vee tootmiseks on sel päikesepaneelid, fotogalvaanilised kollektorid toodavad kuni 6,5kW elektrit ning kütmiseks kasutatakse 14-kilovatist maasoojuspumpa ning mõnikord ka puidukatelt. Selle hoone põrandapindala on 400m2 ning selles töötab umbakudu inimest. Korruseid on sel majal vaid üks. Seinad on soojustatud -millimeetrise kivivillaga. Soojuspumba kasutustegur oli talvisel ajal . Kasutatud energiahulk oli 65kWh aastas ruutmeetri kohta (7,4W/m2). Fotogalvaaniline süsteem tootis sellest energiast umbes .

Moodsad kontorid

Kuulutatakse, et uued kontorihooned on hämmastavalt keskkonnasõbralikud. Vaatame siis mõningatele numbritele otsa.

Cambridge'i Ülikooli William Gates'i hoone sisaldab arvutiteadlasi, juhtkonda ning väikest kohvikut. Selle pindala on 11110m2 ning energiatarve 2392MWh/a. Pindalaühiku kohta teeb see energiatarbeks 215kWh/m2/a ehk 25W/m2. See hoone võitis 2001. aastal oma eeldatava energiatarbe eest RIBA auhinna. „Selle hoone arhitektid kasutasid hoone konstrueerimisel mitmeid erinevaid keskkonnasõbralikke tehnoloogiaid.“ [5dhups]

Kuid kas need hooned on tõesti silmapaistvad? Vaid üle tee asub Rutherfordi hoone, mis ehitati 1970ndatel ilma igasuguste öko-väideteta – ja isegi ilma topeltakendeta! Selle pindala on 4998m2 ning see tarbib 1557MWh aastas ehk 0,85kWh/p/m2 ehk 36W/m2. Seega on kõrgelt auhinnatud hoone oma pindalaühiku kohta kuluva energiahulga osas vaid parem kui selle 1970ndatest pärinev sugulane. Joonisel E.12 võrreldakse neid ning veel ühte moodsat hoonet (Õigusteaduste Hoone) vanakooli hoonete ehk 1980ndatest pärinevate iidsete kontorihoonetega. Kogu selle meediakajastuse najal võiks eeldada, et uue ja vana vahel on suur erinevus, kuid asi pole üldse nii!

Joonis E.12: Hoonete sihtmärgid. Energiakasutus ühikpindala kohta erinevates kodudes ja kontorites.
Joonis E.13: Ideaalse soojuspumba efektiivsused. Üleval vasakul: termodünaamika seaduste kohane ideaalne vajalik energiahulk, mis kulub selleks, et puhuda temperatuuriga Tsisse paigast õhk temperatuuriga Tv¨alja=35C paika. Paremal: ideaalne vajalik energiahulk, mis kulub selleks, et puhuda temperatuuriga Tv¨alja=0C paigast õhk temperatuuriga Tsisse paika. Alumine rida: efektiivsus, mida tavaliselt nimetatakse kasutusteguriks – soojushulk, mida pumbatakse ühe ühiku elektrienergia kohta. Minu arusaama mööda võib öelda, et praktikas on hea isolatsiooniga maasoojuspumpade ning parimate õhksoojuspumpade kasutustegur või . Tänu Jaapani valitsuse regulatsioonidele on sealsete pumpade kasutustegur isegi kuni 6,6.

Pangem tähele, et hoone energiatarve ühikpindala kohta on toodud sama ühikuga (), millega kirjeldasime lehekülgedel 43, 47 ja 177 ka taastuvenergiat ühikpindala kohta. Nende tootmise ja tarbimise numbrite võrdlemise abil mõistame, kui keeruline on moodsaid hooneid täies ulatuses lähikonnast saadud taastuvenergiaallikate abil ülal pidada. Biokütuste võimsus pindalaühiku kohta (joonis 6.11) on , tuuleparkidel ning päikesepaneelidel (joonis 6.18). Vaid kuuma vee tootmiseks kasutatavate päikesepaneelide võimsus ühikpindala kohta on enam-vähem see, mida vaja: 53W/m2 (joonis 6.3).

Kasutusteguri suurendamine

Võiks ju arvata, et kondensatsioonikatla -protsendiline kasutustegur on ületamatu. Kuid soojuspumbad on tunduvalt efektiivsemad. Kui kondensatsioonikatel kasutab keemilist energiat ning muundab selle 90-protsendilise efektiivsusega kasulikuks soojuseks, kasutab soojuspump vähesel määral elektrienergiat ning kasutab seda soojuse liigutamiseks ühest paigast teise (näiteks õuest tuppa). Tavaliselt on kasuliku soojuse hulk palju suurem kui kasutatud elektri hulk. Kasutustegur väärtusega kuni on täiesti tavaline.

Soojuspumpade teooria

Järgnevalt toome ära valemid, mis kirjeldavad soojupumba ideaalset efektiivsust ehk elektrienergia sellist hulka, mida on vaja ühe ühiku soojuse pumpamiseks. Kui me pumpame õhku välisest kohast, mille temperatuur on , kohta, mille soojem temperatuur on , ning mõlemat temperatuuri väljendatakse absoluutse nulli suhtes (st Kelvinites toodud temperatuur esitatakse Celsiuse skaalas kujul 273,15+Tsisse), on ideaalseks efektiivsuseks:

Kui me pumpame soojust temperatuuriga kohast välja soojemasse kohta temperatuuriga , on ideaalseks efektiivsuseks:

Selliseid teoreetilisi piirväärtusi saab saavutada vaid süsteemides, milles pumpamine toimub lõputult aeglaselt. Pangem tähele, et efektiivsus on seda suurem mida sarnasem sisetemperatuur välistemperatuurile on.

Kuigi teoorias on maasoojuspumpade efektiivsus suurem kui õhksoojuspumpadel, sest maapinna temperatuur on siseõhu temperatuurile tavaliselt lähemal kui välisõhu temperatuur, on praktikas õhksoojuspump parim ja lihtsaim valik. Linnades pole maasoojuspumpade tuleviku efektiivsus kindlustatud, sest mida rohkem inimesi neid talvel kasutab seda jahedamaks maapind muutub. See soojuslik pahupidisus võib linnades esineda ka suvel, kui liiga palju hooneid kasutab maasoojuspumpasid (või peaksin ma ütlema „soojuskaeve“?) õhu jahutamiseks.

Tabel 4.13: Graniidi olulised omadused. (Kasutan graniiti tavalise kivi näitena.)

Soojusmahtuvus: C=820J/kg/K
Soojusjuhtivus:κ=2,1W/m/K
Tihedus:ρ=2750kg/m3
Soojusmahtuvus ühikruumala kohta:Cr=2,3MJ/m3/K
Kütmine ja maapind

Teeme veel ühe huvitava arvutuse. Kujutame ette, et meil on katusel sooja vee tootmiseks päikesepaneelid ning alati, kui paneelide temperatuur on üle 50C, pumpame me selle sooja vee läbi maja all asuva suure kivi. Kui lõpuks jõuab käte see vihatud hall ja külm kuu, võiksime seda kivi kasutada oma maja kütmiseks. Kui suur peaks see -kraadine kivi olema, et see hoiaks endas terve kuu jooksul maja kütmiseks kuluva hulga energiat?  Eeldame, et meil on päeva jooksul iga päev tarvis 24kWh ning et maja temperatuur on 16C. Graniidi soojusmahtuvus on 0,195×4200J/kg/K=820J/kg/K.  Vajatav graniidi mass on:

tonni – see on kandiline kivi suurusega 6m×6m×1m.

Soojuse salvestamine maapinnas ilma seinteta

Hea küll – panime kasuliku maapinna-energiasalvesti suuruse paika. Kuid kas soojust on kerge ühes kohas kinni hoida? Kas meil tuleks see kivi suure hulga soojustusega ümbritseda? Selgub, et maapind ise on tegelikult päris sea soojustusmaterjal. Kui lisame maapinnas asuvasse auku mingis koguses soojust, levib see vastavalt valemile

milles on maapinna soojusjuhtivus,  on selle soojusmahtuvus ning  selle tihedus. See valem kirjeldab kellukesekujulist joont laiusega

Tabel 4.17: Soojusjuhtivused.

(W/m/K)
vesi
kvarts
graniit2,1
maakoor
kuiv pinnas

Kui kasutame graniidi kohta käivaid andmeid (C=0,82kJ/kg/K, ρ=2500kg/m3, κ=2,1W/m/K), on see laius kuue kuu korral (t=1,6×107s) 6m.

Vee puhul (C=4,2kJ/kg/Kρ=1000kg/m3, κ=0,6W/m/K) on selleks laiuseks 2m.

Seega – kui salvestusala on suurem kui  20m×20m×20m, on suur osa salvestatud soojusest seal alles ka kuue kuu möödudes (sest meetrit on tunduvalt suurem kui meetrit või meetrit).

Maasoojuspumpade piirangud

Maapinna madal soojusjuhtivus on justkui kahe teraga mõõk. Tänu madalale soojusjuhtivusele hoiab maapind soojust pikka aega kinni. Kuid teisalt tähendab madal soojusjuhtivus, et soojust pole võimalik maapinda ei kiiresti lisada ega sealt kiirelt eemaldada. Uurime nüüd, kuidas soojusjuhtivus maasoojuspumpade efektiivsust piirab.

Vaatleme naabruskonda, mille asustustihedus on üpriski suur. Kas kõik elanikud saaksid kasutada soojuspumpasid ilma suvisel ajal kunstlikku soojuse lisamist kasutamata (nagu eelnevalt kirjeldasime)? Kardame nimelt, et kui me kõik korraga maapinnast soojust välja imeme, külmub see lihtsalt ära. Ma proovin sellele küsimusele vastata kahe arvutuse abil. Esiteks leiame maapinnast suvel ja talvel sisse ja välja liikuva energiavoolu.

Joonis E.16: Temperatuur Cambridge'is 2006. aastal ning graafik, mis näitab, et temperatuur on siinusekujulise 3C ja 20C vahelise aastase variatsiooni summa. Päevaselt on siinusekujulise variatsiooni ulatus kuni 10,3C. Keskmine temperatuur on 11,5C.

Kui energiahulk, mille me tahame talve jooksul maapinnast välja imeda, on palju suurem kui need looduslikud energiahulgad, siis teame, et meiepoolne imemine muudab oluliselt maapinna temperatuuri ning ei pruugi seega teostatav olla. Selle arvutuse jaoks eeldan, et Päikese, õhu, pilvede ja öötaeva mõjul hoitakse maapinna ülemist kihti temperatuuril, mis aasta jooksul vähesel vaid määral varieerub (joonis E.16).

Vastus välistele temperatuurimuutustele

Selleks, et mõista, kui palju maapinna temperatuur välismõjudele reageerib ning milline on sisse ja välja liikuv energiahulk, on meil tarvis kasutada veidi keerulisemat matemaatikat (E.19).

Selle arvutuse tulemuseks on üpriski ilus joonis (joonis E.17), mis näitab temperatuuri varieerumist ajas erineval sügavusel. Need tulemused kehtivad iga materjali kohta vastavalt nende karakteristlikule pikkusskaalale (valem E.7), mis sõltub materjali soojusjuhtivusest κ ning soojusmahtuvusest Cr ning välistemperatuuri kõikumise sagedusest  . (Võime selle teooria abil uurida nii päevaseid kui ka aastaseid variatsioone.) Sügavusel 2z0 moodustavad temperatuurikõikumised vaid seitsmendiku pinnal toimuvatest kõikumistest ning need toimuvad umbes kolmandik tsüklit hiljem (joonis E.17). Sügavusel 3z0 moodustavad temperatuurikõikumised vaid ühe kahekümnendiku pinnal toimuvatest kõikumistest ning toimuvad pool tsüklit hiljem.

Joonis E.17: Temperatuur (C) sügavuse ja aja funktsioonina. Sügavused on toodud karakteristliku sügavusühiku abil – graniidi ning aastaste muutuste jaoks on see meetrit. Sügavusel 2 (6m) on temperatuur alati umbkaudu kuni 12C. Sügavusel 1 (3m) jääb see kuhugi ja 15C vahele.

Päevaste variatsioonide ja tahke graniidi korral on karakteristlikuks pikkusskaalaks z0=0,16m. (See tähendab, et igapäevase temperatuurikõikumise tasakaalustamiseks on tarvis -sentimeetrist kivimikihti.) Aastaste variatsioonide ning tahke graniidi korral on karakteristlikuks pikkusskaalaks z0=3m.

Keskendume aastastele muutustele ning vaatleme ka mõnda muud materjali. Erinevate materjalide karakteristlikud pikkusskaalad on toodud tabeli kolmandas tulbas. Niiskete liivaste pinnaste või betooni jaoks on karakteristlik pikkusskaala sarnane graniidile – umbes 2,6m. Kuiva või turbarikka pinnase pikkusskaala on lühem – umbes 1,3m. See on võib-olla hea uudis, sest see tähendab, et sa ei pea stabiilse temperatuuriga pinnase leidmiseks eriti sügavale kaevama. Kuid sellega kaasnevad ka mõned halvad uudised: kuiv pinnas neelab iseenesest vähem energiat.

Sissetuleva energia hulk muutub aasta jooksul ning selle tippväärtus (valem E.9) on seda väiksem mida väiksem on materjali soojusjuhtivus.

Tahke graniidi korral on maksimaalne sissetulev energiahulk . Kuiva pinnase korral jääb see energiahulk ja 2,3W/m2 vahemikku. Niiske pinnase korral  jääb see energiahulk ja vahemikku.

Mida see tähendab? Võtame kasuliku eesmärgina kuhugi selle vahemiku keskele jääva energiahulga - 5W/m2 – see arv ütleb meile, millist võimsust võime maasoojuspumba abil ühikpindala kohta oodata. Kui me imeme energiat maapinnast välja palju väiksema kiirusega kui  5W/m2, ei mõjuta me looduslikku energiavoogu eriti suurel määral. Kui me imeme energiat välja aga palju kiiremini kui  5W/m2, võime oodata, et maapinna temperatuur nihkub oma loomulikust väärtusest palju olulisemal määral eemale – me ei saa sellist energiahulka nõuda.

Keskmise Inglise eeslinna asustustihedus teeb inimese kohta 160m2 (paarismajade read, kus iga maja kohta on umbes 400m2 maad, seehulgas kõnniteed ja tänavad). Sellise tihedusega elamurajooni korral võime öelda, et soojuspumba võimsuse eeldatav ligikaudne piirang on

See on ebameeldivalt lähedal võimsusele, mida me talvisel ajal kasutada sooviksime: on usutav, et meie talvine sooja vee ja õhu vajadus vanas majas (nagu minu maja) võib olla inimese kohta.

Sellest arvutusest saame järeldada, et keskmises elamurajoonis ei saaks kõik selle elanikud kasutada soojuspumpasid, kui nad ei ole suvisel ajal maapinda lisanduva energiahulga suhtes just eriti tähelepanelikud.

Teeme veel ühe arvutuse: kui palju energiat saame soojuspumba abil ühtlase kiirusega imeda välja maapinnast h=2m sügavusel. Eeldame, et me saame energiat imeda seni, kuni pumba maa-aluse osa temperatuur langeb maapinna keskmisest temperatuurist ΔT=5C madalamale. Lisaks eeldame, et maapinna temperatuur on konstantne. Seejärel saame leida maapinnast tuleva sisend-soojuse hulga. Kui võtame soojusjuhtivuseks 1,2W/m/K (tüüpilise niiske savirikka pinnase vastav väärtus),

Kui sarnaselt ülalpool toodule eeldame asustustihedust, millele vastab 160m2 inimese kohta, on soojuspumba poolt inimese kohta toodetav maksimaalne energiahulk 480W ehk eeldusel, et kõik naabruskonna elanikud kasutavad sellist pumpa.

Seega saame taaskord järeldada, et keskmises elamurajoonis, mille hooned on sama halva soojustusega kui minu kodu, ei saa kõik elanikud maasoojuspumpasid kasutada, kui nad suvel hoolsalt energiat tagasi maapinda ei pane. Ning suurema asustustihedusega linnades ei tasu maasoojuspumbad end tõenäoliselt ära.

Seetõttu ütlesingi, et õhksoojuspumbad on enamike inimeste jaoks parimaks küttemeetodiks.

Tabel 4.17: Erinevate materjalide ja pinnasetüüpide soojusjuhtivus ja soojusmahtuvus.


Soojusjuhtivus  (W/m/K)

Soojusmahtuvus Cr(MJ/m3/K)

Pikkusskaala (m)

Energiavoog ACVκω ()

Õhk

0,02

0,0012



Vesi

0,57

4,18

5,7

Tahke graniit

2,1

3,0

8,1

Betoon

1,28

1,94

2,6

5,8

Liivane pinnas



Kuiv

0,30

1,28

küllastunud

1,80

2,12

2,9

7,2

100% küllastunud

2,20

2,96

9,5

Savine pinnas



Kuiv

0,25

1,42

2,2

küllastunud

1,18

2,25

6,0

100% küllastunud

1,58

3,10

8,2

Turbarikas pinnas



Kuiv

0,58

1,0

0,7

küllastunud

0,29

2,31

3,0

100% küllastunud

0,50

4,02

5,3


Erinevate materjalide ja pinnasetüüpide soojusjuhtivus ja soojusmahtuvus ning nende põhjal arvutatud pikkusskaala z0=2κCVω ja energiavoog ACVκω vastavalt aastastele temperatuurikõikumistele amplituudiga A=8,3C. Liivaste ja savirikaste pinnaste poorsus on 0,4, turbarikka pinnase poorsus on 0,8.

Soojusmass

Kas hoone soojusmassi suurendamine aitab vähendada selle kütte- ja jahutusarveid? Noh, see sõltub. Välistemperatuur võib ühe päeva jooksul kõikuda umbes kraadi ulatuses. Suure soojusmassiga hooned – paksude kiviseintega, näiteks – tasakaalustavad neid temperatuurimuutusi iseenesest ning ilma kütmise ja jahutamiseta on nende sisetemperatuur keskmise välistemperatuuri lähedane. Selliseid Suurbritannia hooneid pole aastas mitme kuu jooksul kütta ega jahutada isegi tarvis. Võrdluseks võib tuua halva soojustuse ning madala soojusmassiga hooned, mis päeva ajal on liiga kuumad ning öösel liiga jahedad, põhjustades suuremaid arveid.

Kuid suur soojusmass pole mitte alati eelis. Kui ruumis veedetakse talvisel ajal igapäevaselt vaid paar tundi  (näiteks loenguruum), on selle ruumi küttekulu seda suurem mida suurem on selle ruumi soojusmass. See investeeritud lisasoojus jääb sellesse suure soojusmassiga ruumi pikaks ajaks pidama, kuid kui see ruum on tühi, on tegu raisatud soojusega. Seega on vähese külastatavusega ruumide korral mõttekam kasutada madala soojusmassiga ehitisi ning kütta seda väikest massi vajaduse korral kiiresti.

Märkused ja edasine lugemine

Tabel. Allikad: Bonan (2002), www.hukseflux.com/thermalScience/thermalConductivity.html

Kui me eeldame, et maapinna moodustavad tahked homogeensed materjalid soojusjuhtivusega ning soojusmahtuvusega , vastab temperatuur sügavusel allpool maapinda maapinna kohal olevale temperatuurile vastavalt hajumisvalemile

Siinusekujulise temperatuurikõikumise korral, milles muutuste sagedus on ω ning amplituud A asub sügavusel ,

on sügavusel  ning ajahetkel  valitsevaks temperatuuriks lagunev ja ostsilleeriv valem

milles on nii lagunemise kui ka ostsilleerimise karakteristlik pikkusskaala,

Energiavoog (võimsus pindalaühiku kohta) sügavusel on

Maapinnal on maksimaalne energiavoog näiteks

Arvutamine siinusekujuliste temperatuurikõikumiste põhjal.

Lained II
Merelainete füüsika

Lained sisaldavad energiat kahel kujul: potentsiaalne energia ja kineetiline energia. Potentsiaalne energia on energia, mida on vaja selle vee liigutamiseks lainenõost laineharjani. Kineetilist energiat seostatakse vee ringi liikumisega.

Mõnikord eeldatakse, et kui lainehari liigub ookeanis kiirusega miili tunnis, liigub ka selles laineharjas olev vesi samas suunas sama kiirusega miili tunnis. Kuid see pole tõsi. Tegelikult on olukord rohkem nagu publikulainetus jalgpallistaadionil. Laine liikumisel ümber staadioni ei liigu lainet imiteerivad inimesed ise ringi: nad lihtsalt tõusevad üles ning istuvad seejärel uuesti maha. Ookeani ühe veejupi liikumine on sellega sarnane: kui me keskendume meist mööduvates lainetes ulpivatele vetikatele, siis näeme, et need vetikad liiguvad üles-alla ning vaikselt ka lainete liikumissuunas. Sama efekti saaks kopeerida ka publikulaines, kui inimesed liiguksid nagu suurt akent ringikujulise liikumise abil puhastavad töölised. Lainel on potentsiaalne energia tänu sellele, et laineharjas olev vesi asub lainenõgudes asuvast veest kõrgemal. Ning sel on kineetiline energia, sest vesi liigub vaikselt ringikujuliselt.

Et leida ookeanivee ligikaudne võimsus on meil vaja kolme koostisosa: hinnangut laineperioodile (laineharjade vaheline aeg), hinnangut lainekõrgusele ning füüsikavalemit, mis aitab meil laineperioodi abil leida selle kiiruse .

Lainepikkus ning laineperiood (kahe järjestikuse laineharja vahele jääv teepikkus ning aeg) sõltuvad laineid põhjustava tuule kiirusest vastavalt joonisele F.1. Lainete kõrgus tuulekiirusest ei sõltu – selle määrab ära ajavahemik, mille jooksul tuul veepinda mõjutanud on.

Joonis F.1: Mõningad faktid merelainete kohta. Kõigil neljal joonisel on horisontaalteljel toodud lainekiirus meetrites sekundi kohta. Alt üles liikudes näitavad need joonised järgnevat: tuulekiirust (), mida on vaja sellise kiirusega laine moodustamiseks; laineperioodi (s); lainepikkust (m) ning meetrise amplituudiga laine võimsustihedust (kW/m).

Ookeanilaine perioodi saame hinnata, kui meenutame kahe rannale jõudva laine vahelist aega. Kas sekundit on mõistlik aeg? Ookeanilainete kõrguse jaoks valime näiteks amplituudi , mis tähendab, et lainenõo ja -harja kõrguste vahe on meetrit. Sellise kõrgusega lainte korral ei näe paadis istuv mees lainenõos asumise hetkel tema ees oleva laineharja taha. Ma arvan, et see on tavalisest veidi kõrgem laine, kuid saame selle hiljem ümber hinnata, kui leiame, et see on väga oluline. Merevee lainete kiirus sõltub perioodist vastavalt järgmisele füüsikavalemile (vt Faber 1995):

milles on gravitatsioonikiirendus (9,8m/s2). Kui näiteks T=10s, siis v=16m/s. Sellise laine lainepikkus – kahe laineharja vaheline aeg – on λ=vT=gT22π=160m.

Joonis F.2: Laine omab energiat kahel kujul: potentsiaalne energia, mida seostatakse vee kerkimisega heleda tooniga kujutatud lainenõost tumedama tooniga laineharjani; veepinna läheduses asuva vee kineetiline energia – vee liikumiskiirus on kujutatud väikeste nooltega. Vasakult paremale liikuva laine kiirust kujutab joonise ülaosas toodud palju suurem nool.

Lainepikkusega ning perioodiga  laine jaoks, mille iga nõo ja harja sügavus on h=1m, on ühe ajahetke jooksul mööduva potentsiaalse energia hulk ühikpikkuse kohta

milles m on ühikpikkuse mass - ligikaudu 12ρh(λ/2) (see on ligikaudnu võrdne joonisel F.2 toodud toonitatud harja pindalaga, kui kujutame seda kolmnurgana) - ning ¯¯¯h on ülestõstetud vee raskuskeskme kõrguse muutus ehk ligikaudu . Seega,

Et anda sellele potentsiaalsele energiale veidi täpsem hinnang, oleksime siinkohal pidanud kasutama integraali – see oleks meile andnud sama vastuse. λT on lihtsalt laine liikumiskiirus , ning seega:

Lainetel on nii kineetiline energia kui ka potentsiaalne energia ning hämmastaval kombel on need väärtused täpselt ühesugused, kuid ma ei hakka seda arvutust siinkohal ära tooma. Seega on lainete koguvõimsus võrdne meie poolt välja arvutatud potentsiaalse energia topeltväärtusega:

See valem on vale vaid ühe asja poolest: see on liiga suur, sest me ei võtnud arvesse ühte dispersioonilainete veidrat omadust: laine energia ei liigu tegelikult sama kiirusega kui lainehari; see liigub kiirusega, mida kutsutakse rühmakiiruseks – merevee lainete korral on see pool kiirusest . Võime näha, et energia liigub laineharjast aeglasemalt, kui viskame tiiki ühe kivi ning jälgime hoolikalt tekkivaid laineid. See tähendab aga, et valem (F.4) on vale: me peame selle kaheks jagama. Lainefrondi tegelik võimsus ühikpikkuse kohta on

Kasutades väärtusi v=16m/s ning h=1m, saame

See ligikaudne hinnang on teadusega kooskõlas (Atantic – Mollison, 1986).

Viskoossusest tulenevad kaod on minimaalsed: -sekundilise perioodiga laine peaks rändama kolm korda ümber maailma, et kaotada oma amplituudist.

Tegelikud laineenergia süsteemid

Laineenergia seadmed

Kui efektiivsed on lainete energiat ammutavad reaalsed süsteemid? Stephen Salteri „Parti“ on väga täpselt kirjeldatud: -meetrise läbimõõduga partide rida, mis asub 45kW/m keskmise lainevõimsusega Atlandi ookeani pinnal, toodaks 19kW/m (transpordikulud Kesk-Šotimaale on siin juba sisse arvatud) (Mollison, 1986).

Ettevõtte Ocean Power Deliver'i poolt toodetavat Pelamise süsteemi peetakse Salteri pardi kõrval praegu parimaks lainete energiat ammutavaks süsteemiks. Iga maosarnane seade on 130 meetrit pikk ning koosneb neljast osast, millest igaühe läbimõõt on meetrit. Selle maksimaalne võimsus on 750kW. Pelamis on mõeldud kasutamiseks umbes meetrit allpool veepinda. Lainepargis asuksid sellist seadeldist kolmes, lainete liikumissuunaga risti asuvas reas, kattes umbes meetrit pika ning kilomeetrit laia ala (pindala 1km2). Ühe Pelamise seadme efektiivne ristlõige on 7m pikk (st heade lainete korral ammutab see 100% sellest energiast, mis sellest -meetrisest alast läbi liigub). Ettevõtte sõnul toodaks selline lainepark umbes 10kW/m.

Madalvee laineenergia seadmed

Vee sügavuse vähenemisel lt meetrilt ne meetrini hajub ookeanilainete energiast põhjaga hõõrdumise tõttu keskmiselt 70%. Seega väheneb ranniku madalvee keskmine lainevõimsus ühikpikkuse kohta väärtuseni ligikaudu 12kW/m. Belfasti Kuninganna Ülikooli ning Aquamarine Power Ltd [www.aquamarinepower.com] poolt välja töötatud seade nimega Auster on veepõhja monteeritud -meetrit kõrge klapp. See seadeldis on mõeldud -meetri sügavuste vete jaoks piirkondades, kus lainete keskmine võimsus on suurem kui 15kW/m. Selle tippvõimsus on 600kW. Üks selline seade toodaks umbes 270kW olukorras, kus lainekõrgus on suurem kui 3,5m. Ennustatakse, et Auster toodaks seadme enda ühikmassi kohta rohkem energiat kui Pelamis.

Austreid saaks kasutada ka pöördosmoosiprotsessil põhinevate merevee magestustehaste otseseks käitamiseks. „Auster-magestaja magevee tootmise tippvõimsus on 20006000m3/p.“ See toodang on väärtuslik, kui võtame arvesse juba olemasoleva Jersey tehase vastavaid näitajaid: tehas ise kasutab ühe kuupmeetri magevee tootmiseks energiat ehk 6002000kW elektrit.

Looded II
Loodebasseinide energiatihedus

Kunstlike loodebasseinide energiatihedusele hinnangu andmiseks kujutame ette, et bassein täitub tõusu ajal kiiresti ning tühjeneb mõõna ajal kiiresti. Energiat toodetakse mõlemas suunas – nii lisanduva kui ka eemalduva vee korral. (Seda nimetatakse kahesuunaliseks tootmiseks ehk topeltmõjuga energiatoodanguks.) Vee potentsiaalse energia muutus on iga kuuetunnise perioodi korral mgh, milles on vee massikeskme kõrguse muutus ehk pool veetaseme muutuse ulatusest. (Selle ulatuse all peame silmas tõusu ja mõõna ajalist veetaseme kõrguste vahet, joonis G.1.)

Joonis G.1: Loodebasseini ristlõige. Bassein oli tõusu ajal täiesti täis ning nüüd on mõõn. Lasime veel voolata välja läbi elektrigeneraatori, mille abil muundasime vee potentsiaalse energia elektrienergiaks.

Loodebasseini mass ühikpindala kohta on ρ×(2h), milles on vee tihedus (). Seega on loodebasseini poolt toodetav energia ühikpindala kohta

kui eeldame täieliku efektiivsusega generaatorite kasutamist. Kui h=2m (st ulatus on ), leiame, et loodebasseini energiatihedus ühikpindala kohta on 3,6W/m2. Kui see energia muundatakse elektrienergiaks -protsendilise efektiivsusega, saame

Seega – selleks, et toota 1GW võimsust (keskmiselt), on meil vaja loodebasseini, mille pindala oleks umbes 300km2. Selleks tuleks ehitada -kilomeetrise läbimõõduga ümmargune bassein. (Võrdluseks: Severni suudmesse kavandatava tammi taha jääva ala pindala on umbes 550km2 ning Washi pindala on üle .)

Kui loodebassein toodab elektrit vaid ühes suunas, kahaneb ühikpindala kohta toodetava energia hulk poole võrra. La Rance'i tammi, mille keskmine veetaseme ulatus on 10,9m, keskmine energiatihedus on juba mitmekümmend aastat järjest olnud 2,7W/m2.

Loodeenergia toor-ressurss

Suurbritannia ümbruses esinevad looded on päris tõusulained. (Tsunaamid, mida samuti tõusulaineteks kutsutakse, pole loodetega üldsegi seotud: neid põhjustavad veealused maalihked ning maavärinad.) Tõusuvee asukoht (tõusulaine hari) liigub palju kiiremini kui tõusuvesi – kui vesi ise liigub kiirusega vaid miil tunnis, on tõusuvee liikumiskiirus miili tunnis.

Tõusuveest loodebasseinide või loodeparkide abil saadav energia ei saa kunagi olla suurem kui nende Atlandi ookeani tõusulainete energia. Võime selliste suurte Atlandi tõusulainete energiatihedust hinnata samal viisil nagu hindasime tavaliste tuule poolt põhjustatud lainete energiat. Järgmisena kirjeldame standardmudelit, mille abil saab leida vees sügavusega liikuvate lainete poolt kantava energiahulga (joonis G.2). Madala rannikuvee tõusulainete laineharja energia ühikpikkuse kohta on

Joonis G.2: Madala vee laine. Sarnaselt süvavee lainele on sellise laine energia kahel kujul: potentsiaalne energia, mis on seotud heleda tooniga lainenõgudest tumeda tooniga laineharjani tõusva vee energiaga; kineetiline energia, mis on seotud väikeste nooltega näidatud vee liikumisega. Vasakult paremale liikuva laine kiirust näitab joonise ülaosas toodud suur nool. Tõusulainete jaoks on tüüpiline sügavus kuni meetrit, laineharja kiirus 30m/s, pindmise veekihi vertikaalne amplituud või meetrit ning veekiiruse amplituud 0,30,6m/s.

Tabelis on toodud laineharja energiatihedus ühikpikkuse kohta mõningate usutavate numbrite korral. Kui d=100m ning h=1 või 2m, on laineharja energiatihedus ühikpikkuse kohta vastavalt 150kW/m ning 600kW/m. Need näitajad on tavalise Atlandi ookeani süvavee lainete toore jõuga (40kW/m, peatükk Lained II) võrreldes üpriski muljetavaldavad. Atlandi ookeani lainete ning loodete vertikaalsed amplituudid on üpriski sarnased (umbes ), kuid loodete toores jõud on ligikaudu korda suurem kui tavaliste tuule poolt põhjustatud lainete energia.

Joonis G.4: Keskmised loodeenergia väärtused vastavalt Cartwright et al. uurimustööle (1980)

1920. aastal töötas Taylor loodeteenergia kirjeldamiseks välja palju detailsema mudeli, mis sisaldab selliseid olulisi tegureid nagu Coriolise efekt (efekt, mida põhjustab Maa igapäevane pöörlemine), vastassuunas liikuvate tõusulainete olemasolu ning Kuu otsene mõju Iiri mere energiavoole. Sellest ajast alates on eksperimentaalsed mõõtmisandmed ning kompuutermudelid Taylori mudelit vaid kinnitanud ning parandanud. 1976. aastal koostas Flather Kuu loodete kirjeldamiseks numbrilise mudeli, jagades Briti Saari ümbritseva mandrilava umbes tuhandeks ruuduks. Flather ennustas, et sellesse alasse siseneva energia keskmine väärtus on 215GW. Selle mudeli kohaselt sisaldab ainuüksi Prantsusmaa ja Iirimaa vahele jääv pilu 180GW energiat. Põhja-Iirimaa ja Shetlandi vahelisest pilust liigub läbi 49GW energiat. Shetlandi ja Norra vahelisest pilust liigub 5GW energiat aga välja. Nagu joonisel G.4 näha, leidsid Cartwright ja tema kolleegid (1980) eksperimentaalselt, et Malin Head'i (Iirimaa) ja Florø (Norra) vaheline keskmine energiavoog oli 60GW ning Valentia (Iirimaa) ja Ouessanti (Britannia) vahel 190GW. Iiri merre siseneva energia hulk oli 45GW ning Põhjamerre lisandus läbi Doveri väinade 16,7GW.

Tabel 4.19: Energiavoog (laineharja ühikpikkuse kohta) sügavusel d=100m.
h(m)ρg23dh22kW/m
125
1,0155
345
1,75470
2,0
2,25780

Tõusulainete energiatihedus

Selles alapeatükis, mille võite ka vabalt vahele jätta, kirjeldame veidi lähemalt eelmises lõigus kasutatud loodeteenergia valemit. Kirjeldan seda loodeteenergia mudelit üpriski detailselt, sest enamus Suurbritannia loodeteenergia hinnangutest põhinevad minu arust ebatäpsel mudelil.

Joonisel G.2 on kujutatud üpriski madalas vees liikuva tõusulaine mudelit. Selles mudelis on püütud kujutada läbi Inglise kanali Põhjamerre liikuvate tõusuharjade liikumist. On oluline, et eristame vee liikumiskiirust (umbes miil tunnis) tõusulaine kiirusest (tavaliselt kuni miili tunnis).

Veesügavus on . -tunni jooksul toimuvate tõusude ja mõõnade harjad ja nõod sisenevad joonisele vasakult poolt. Need nõod ja harjad liiguvad kiirusega

Eeldame, et lainepikkus on palju suurem kui veesügavus ning ei võta arvesse selliseid detaile nagu Coriolise jõud ning vee tiheduserinevused. Nimetame tõusu vertikaalset amplituudi suuruseks . Kui eeldame, et vesi voolab peaaegu ilma keeristeta, on vee horisontaalne liikumiskiirus kogu sügavuse ulatuses ühtlane. Horistontaalkiirus on pinnanihkega proportsionaalne ning selle leiame massi jäävuse seaduse abil:

(G.3)

Sügavuse vähenemisel väheneb ka lainekiirus (valem G.2). Praeguse mõttekäigu jaoks eeldame, et sügavus ei muutu. Energia voolab mingi kiirusega vasakult paremale. Kuidas seda loodeenergia suurust siis hinnata? Ning millise maksimaalse energiahulga saaksime sellest kinni püüda?

Üheks võimaluseks on võtta ristlõikepindala ning hinnata sellest alast läbi voolavat keskmist kineetilise energia hulka. Peaksime olema kindlad, et see suurus esindab ka kinnipüütava energia hulka. Seda kineetilise energia voo meetodit kasutasid Ühendkuningriikide loodeteenergia resursside hindamiseks energiakonsultandid Black ja Veatch. Meie lihtsas mudelis võime selle koguenergia hulga arvutada ka teistmoodi. Näeme kohe, et kineetilise energiavoo meetodiga leitud arv on liiga väike.

Mingi ristlõike maksimaalne kineetilise energia voog on

milles A on ristlõikepindala. (See on sama kineetilise energiavoo valem, mida kohtasime juba peatükis Tuul II.)

Läbi selle ristlõikepindala liigub aga suuremal hulgal energiat kui kineetilise energiavoo valemist lähtub. Madala vee laine tegeliku energia leiame tavalise õpikuvalemi abil – üheks variandiks on leida ühes lainepikkuses sisalduv koguenergia hulk ning jagada see perioodiga. Lainepikkuse koguenergia on potentsiaalse ja kineetilise energia summa. Kineetiline energia on juhtumisi potentsiaalse energiaga võrdne. (See on peaaegu kõigi veidi vankuvate objektide puhul nii, olgu selleks siis mõni vedru külge kinnitatud keha või kiikuv laps.) Seega tuleb meil koguenergia leidmiseks arvutada välja vaid üks kahest – lainepikkuse potentsiaalne energia või siis lainepikkuse kineetiline energia – ning see tulemus seejärel kahega korrutada. Laine potentsiaalse energia (lainepikkuse ning lainefrondi ühiklaiuse kohta) leiame integraali abil:

Korrutades selle väärtuse kahega ning jagades selle perioodiga, saame me madala vee tõusulaine mudeli tegelikuks energiaks

milles on lainefrondi laius. Kui asendame valemisse υ=gd, saame

Võrdleme seda energiat kineetilise energiavooga KBV. Hämmastaval kombel sõltuvad need kaks valemit amplituudist erineval moel. Amplituudi ja massi suhte (G.3), laineharja kiiruse (G.2) ning A=ωd abil saame kineetilise energia voogu esitada ka järgnevalt:

Seega selgub kineetilise energiavoo meetodist, et madala vee laine koguenergia sõltub amplituudi kuubist (valem G.8), kuid õige valemi järgi sõltub see amplituudi ruudust (valem G.7). See suhe ise on

Kuna on tavaliselt palju väiksem kui ( on umbes või meetrit, on kuni meetrit), võivad kineetilise energiavoo meetodil põhinevad tulemused olla liiga väikesed – seda eriti olukorras, kus meie madala veetaseme tõusulaine mudel sobib selle olukorra kirjeldamiseks paremini.

Lisaks väidavad kineetilise energiavoo mudelil põhinevad ennustused ebakorrektselt, et maksimaalse tõusu korral on kogu saadaolev energiahulk kaheksa korda suurem kui minimaalse tõusu korral (siin võetakse maksimaalse ja minimaalse tõusu amplituudide suhteks 2:1). Õigem on aga öelda, et liikuva laine kogu saadaolev energiahulk sõltub amplituudi ruudust, mistõttu sissetuleva koguenergia maksimaalse ja minimaalse tõusu vaheline suhe on hoopiski 4:1.

Konarliku merepõhja ning Coriolise jõu mõju

Kui sügavus väheneb ühtlaselt ning laius püsib konstantsena, tänu millele sissetuleva energia neeldumine ja peegeldumine on minimaalne, püsib ka laine energia konstantsena. See tähendab, et dh2 on konstant, mistõttu leiame, et tõusu kõrgus sõltub sügavusest vastavalt suhtele h1/d14.

Joonis G.5: (a) Tõusulooded päeva jooksul asukohas, mille suurim voolukiirus maksimaalse tõusu ajal on 2,9 sõlme (1,5m/s) ning minimaalse tõusu ajal 1,8 sõlme (0,9m/s). (b) Energiahulk merepõhja ühikpindala kohta 9-päevase perioodi jooksul nii maksimaalse kui ka minimaalse tõusu ajal. Energia maksimaalne väärtus saavutatakse neli korda päevas ning maksimaalselt on see 27W/m2. Loodeenergiat ammutava süsteemi keskmine energiatoodang on seega 6,4W/m2.

Siin on tegu vaid robustse mudeliga. Arvestamata on jäetud Coriolise efekt. Coriolise jõud põhjustab põhjapoolkeral tõusulaine harjade ja nõgude kaldumist paremale – kui vaatleme näiteks vaid Inglise kanalit, siis näeme, et Prantsusmaa-poolsel küljel on mõõna harjad kõrgemad ning nõod madalamad.

Loodeparkide energiatihedus

Kujutame ette, et kinnitame merepõhja veealused tuulegeneraatorid. Veevool paneb generaatorite labad tiirlema. Kuna vee tihedus on õhust ligi korda suurem, on ka veevoolu energia korda suurem kui sama kiirusega puhuva tuule energia.

Millist võimsust võiksid loodepargid toota? See sõltub suurel määral sellest, kas meil õnnestub liita kokku üksteise kõrval asuvate merepõhja kinnitatud loodeparkide energiatoodang. Tuule puhul töötab see eeldus üpris hästi: kui tuulegeneraatorid asuvad üksteisest standardsel kaugusel, on näiteks kümne üksteise kõrval asuva tuulepargi poolt toodetav koguenergia sama mis kõigi üksikute farmide toodangute summa.

Kas sama kehtib ka loodefparkide kohta? Või on veealuste tuulegeneraatorite mõju üksteise energiatoodangule teistsugune? Ma ei usu, et vastus sellele küsimusele üldse eksisteerib. Me võime teha kaks erinevat ennustust ning kirjeldada olukordi, milles need ennustused võiksid kehtida. Esimene eeldus, mille kohaselt looded käituvad nagu tuul, tähendab, et kui me katame merepõhja turbiinidega, mis asuvad üksteisest viiekordse läbimõõdu kaugusel, siis ei mõjuta need üksteist olenemata turbiinide ning loodeparkide hulgast.

„Ainult ühe rea“ eelduse kohaselt saab mingis piirkonnas toota maksimaalset energiahulka vaid siis, kui asetame voolusuunaga risti vaid ühe rea turbiine. Selline eeldus kehtib vaid hüdroelektrijaama tammi eriolukorras: kui tammist tulev vesi voolab läbi ühe, spetsiaalselt selleks ehitatud turbiini, pole selle taha enam teisi turbiine mõtet ehitada. Me ei saaks toota korda rohkem energiat, kui ehitaksime esimese turbiini taha veel 99 turbiini. Esimene turbiin püüab kinni kogu energia – ülejäänud turbiinide jaoks ei ole lihtsalt midagi järel. See eeldus on õige kasutamiseks situatsioonis, kus meil on vaja ennustada energiatoodangut kohas, kus kõrgemal asuv statsionaarne vesi voolab läbi kitsa kanali madalamasse reservuaari. (Sellist juhtumit analüüsisid Garret ja Cummins (2005, 2007).)

Selgitan nüüd oma seisukohta. Mina arvan, et mitmete Briti Saarte ümbruses asuvate paikade jaoks on lainete ja tuule samastamine üpriski hea lähendus. Mõni paik sarnaneb aga rohkem kitsale kanalile – sellistes paikades on minu ennustused võib-olla ülehinnatud.

Eeldame, et mõistliku loodepargi ehitamise reeglid on sarnased tuulepargi ehitamise reeglitega ning et loodegeneraatorite efektiivsus on sama mis parimatel tuulegeneraatoritel: umbes . Seega võime kasutada tuulepargi energiatiheduse valemit (ühikpindala kohta). Merepõhja ühikpindala kohta on energiatihedus seega

Selle valemi abil koostatud tabel näitab loodefpargi energiatoodangut erinevate tõusuloodete korral.

Tabel 4.20
U(m/s)U(s˜olmed)Loodepargi võimsustihedus ()

( sõlm = meremiil tunnis = ). Energiatihedus on arvutatud vastavalt valemile (π/200)12ρU3 (valem G.10)).

Milline on aga üks tüüpiline tõus? Tõusugraafikutel on tavaliselt näidatud suurima ulatusega (maksimaalse tõusuga) ja vähima ulatusega (minimaalse tõusuga) seotud looded. Maksimaalne tõus esineb kohe pärast täiskuud ning noorkuud. Minimaalne tõus esineb kohe pärast Kuu esimest ja kolmandat veerandit. Loodepargi toodang varieerub igapäevaselt täiesti regulaarselt. Joonisel G.5 on kujutatud maksimaalse voolukiirusega 1,5m/s loodepargi energiatiheduse variatsioon. Selle loodepargi keskmine energiatihedus oleks 6,4W/m2. Briti Saarte ümber on mitmeid kohti, kus loodepargi võimsus ühikpindala kohta oleks 6W/m2 või rohkemgi. See energiatihedus on sarnane hinnanguga, mille andsime tuuleparkide (23W/m2) ning fotogalvaaniliste päikesefarmide (510W/m2) tootlikkusele.

Kasutame nüüd Briti Saarte kaldale jäävate paljulubavate piirkondade loodeenergia potentsiaali hindamiseks eeldust, mille kohaselt loodepargid käituvad sarnaselt tuuleparkidele. Igaks juhuks arvutame kõigi nende paikade kohta veel välja ka neid alasid läbiva kogu loodeenergia vastavalt tõusulainete energiatiheduse teooriale (nii saame veenduda, et meie loodepargi hinnanguline energiatihedus pole suurem kui kogu saadaolev energiahulk). Suurbritannia parimad ehk suurimate tõusulainetega piirkonnad on toodud joonisel G.7.

Joonis G.7: Briti Saarte ümbruses asuvad paigad, kus maksimaalne tõusuvoog ületab 1m/s. Neid kuute tumeda tooniga kujutatud paika on kirjeldatud ka tabelis: Inglise kanal (Wighti saarest lõunas); Bristoli kanal; Anglesey'st põhja poole jääv ala; Man'i saarest põhja poole jääv ala; Põhja-Iirimaa, Mull of Kintyre'i ning Islay vahele jääv ala; Pentland Firth (Orkney ja Mandri-Šotimaa vahele jääv ala) ja Orkney saarte vaheline ala. Hiiglaslikud looded esinevad ka Kanalisaarte ümbruses, kuid need veed ei kuulu Ühendkuningriikidele. Napilt jääb meie nimekirjast välja ka Thamesi (London) ja Washi (Kings Lynn) vaheline piirkond Põhjameres. Kontuurjoontega on näidatud rohkem kui -meetrise sügavusega piirkonnad. Loodete andmed pärinevad Reed'i Nautical Almanac käsiraamatust ning DTI koostatud „Ühendkuningriikide Mere Taastuvenergiaresursside Atlasest (2004)“.

Reed'i koostatud käsiraamatu Nautical Almanac abil leidsin ma nende kuue suurte loodetega piirkonna jaoks tüüpilised maksimaalsed voolukiirused (need hinnangud võivad vabalt mööda olla). Kas ma hindasin nende piirkondade ulatust liiga suureks või väikeseks? Ma ei ole nende piirkondade merepõhja analüüsinud, mistõttu ei saa me kindlad olla, et kõik need paigad on loodepargi ehitamiseks üldse sobilikud – võib-olla on mõni neist liiga sügav või liiga madal või lihtsalt keerulise maastikuga.

Kõiki neid ebatäpsusi arvesse võttes saame loodeparkide lõplikuks hinnanguliseks koguvõimsuseks inimese kohta. See moodustab juba varem mainitud toorest sissetulevast energiahulgast, milleks oli 100kWh/p/i. (Bristoli kanali piirkonnast saadav energiahulk 1,1kWh/p/i on Severni tammi tootlikkusega võib-olla vastuolus – see toodang sõltuks sellest, kas loodepark lisaks süsteemi suurel määral hõõrdumist või asendaks juba olemasolevat.)

Tabel 4.21

Piirkond

U(s˜olme)N

U(s˜olme)S

Võimsustihedus ()

Pindala ()

Keskmine võimsus ()

3,1

1,8

3,2

350

2,9

3,4

1,4

3,1

0,8

5,0

9,0

Kokku





(a) Loodeteenergia hinnang eeldusel, et loodepargid on tuuleparkide sarnased. Energiatihedus on ühe ühiku merepõhja pindala kohta toodetav keskmine energia. Antud kuus piirkonda on näidatud joonisel G.7. N = minimaalne tõus, S = Maksimaalne tõus

Tabel 4.22

d(m)

w(km)

Toores jõud N(kWh/p/i)

Toores jõud S(kWh/p/i)

7,8

17

4,7

3,0

9,3

6,3

78


(b) Võrdluseks on selles tabelis toodud valemi G.1 abil arvutatud toores sissetulev jõud.

Tabel 4.23

v(m/s)

v(s˜olm)

Hõõrdejõu tihedus (R1=0,01

Hõõrdejõu tihedus (R1=0,003

Loodepargi võimsustihedus ()

1,25

0,4

270

640

1270


Hõõrdumise energiatihedus R1ρU3  (vattides merepõhja ruutmeetri kohta) on voolukiiruse funktsioon, milles R1=0,01 või 0,003. Oma uurimustöös kasutas Flather (1976) väärtust R1=0.00250.003 ning Taylor (1920) väärtust 0,002. ( sõlm = meremiil tunnis = .) Viimases tulbas on toodud tabeli abil arvutatud loodeparkide energiatihedus. Lisainformatsioon: Kowalik (2004), Sleath (1984).

Loodeenergia resursi hindamine merepõhja hõõrdumise abil

Teiseks võimaluseks loodeenergia resurssi hinnata on arvutada välja kui palju energiat hajub vee ja merepõhja vahelisel hõõrdumisel. Otse merepõhja kohale ehitatud turbiinid käituksid justkui asendus-merepõhjana, tekitades ligikaudu samal määral hõõrdumist kui põhi ise. Seega saaks ilma tõusuloodeid erilisel määral mõjutamata kinni püüda ka ligikaudu samal hulgal energiat mis hõõrdumisel hajub.

Milline on seega merepõhja hõõrdumisel hajuv energiahulk? Kahjuks ei eksisteeri merepõhja hõõrdumise kirjeldamiseks ühtegi lihtsat mudelit. See sõltub merepõhja konarlikkusest ning materjalist, kuid isegi nende andmete olemasolul ei ole korrektset valemit veel kindlaks tehtud. Ühe laialdaselt kasutatava mudeli kohaselt on pinge (jõud ühikpindala kohta) , milles on keskmine voolukiirus ning on ühikuta suurus nimega tangentsiaalpinge koefitsient. Ühikpindala kohta hajuvat energiahulka saame hinnata, kui korrutame omavahel tangentsiaalpinge ja kiiruse. Tabelis on näidatud hajuv energiahulk  eeldusel, et  R1=0,01 või R1=0,003. Kui tangentsiaalpinge koefitsient jääb sellesse vahemikku, on hõõrdumise energia sarnane loodepargi hinnangulisele energiatihedusele. See on hea uudis, sest see tähendab, et üksteisest viie läbimõõdu kaugusel asuvate veealuste generaatorite olemasolu ei muuda erilisel määral voolu ennast. Juba olemasolev loomulik hõõrdumine avaldab peaaegu sama suurt mõju.

Pumpadega loodebasseinid

Pumpamise trikk suurendab lisaenergia tootmiseks kunstlikult loodebasseini tõusude amplituudi. Tõusu ajal basseini pumbatava lisavee pumpamise energiakulu tasakaalustatakse mõõna ajal basseinist välja voolava lisavee poolt toodetava lisaenergia abil. Sarnaselt saab mõõna ajal basseinist rohkem vett välja pumbata, et see siis tõusu ajal uuesti basseini sisse lasta. Pumpamise trikki kasutatakse mõnikord LaRance'is, misläbi selle energiatoodang suureneb ligikaudu võrra (Wilson ja Balls, 1990). Proovime leida selle tehnoloogia teoreetilise piirangu. Eeldan, et elektritootmise efektiivsus on ning et pumpamise efektiivsus on . Olgu tõusu ulatuseks 2<em>h. Lihtsuse mõttes eeldan samuti, et elektri müümise ja ostmise hind on alati sama, tänu millele optimaalset lisakõrgust , milleni basseini veetase võrreldes tõusuvee tasemega pumbatakse, esitab valem (lisapumpamise väike kulu = lisavee väike tagasivool):

Tabel 4.24: Loodeenergia teoreetiline energiatihedus pumpamistriki kasutamisel eeldusel, et basseini seinte kõrgus on lõputu.

Tõusu amplituud (pool ulatust) h(m)

Optimaalne lisakõrgus (pool ulatust) b(m)

Energiatihedus pumpamise korral

Energiatihedus ilma pumpamiseta ()

1,0

6,5

0,8

2,0

14

3,3

3,0

31

7,4

Koguefektiivsuse ε=εgεp, hindamiseks on meil valem

Kui tõusu ulatus on näiteks ning koguefektiivsus on ε=76%, on optimaalseks lisakõrguseks . See on maksimaalne kõrgus, milleni pumpamine on majanduslikult mõistlik olukorras, kus elektrihind ei muutu.

Eeldame, et pumbatrikki kasutatakse ka mõõna ajal. (See tähendab, et basseini vertikaalne ulatus oleks 30m!) Toodetav energiahulk pindala kohta on siis

milles on tõusu ja mõõna vaheline aeg. Võime seda väärtust esitada ka kui lisakõrgusest sõltuvat maksimaalset võimalikku energiatihedust ilma pumpamiseta (εg2ρgh2T):

mis teeb erinevusteguriks ligikaudu . Tabelis on näidatud pumpamise abil saavutatavad võimalikud teoreetilised energiatihedused. Kahjuks ei kasutata selle pumbatriki potentsiaali eriti ära, sest sobiva basseini ehitamine on kulukas: toodetava energiahulga neljakorsdeks suurendamiseks peaks sobiv bassein olema korda kõrgem kui loode ulatus. Merevette ehitamisel sõltub aga ehitise seina paksus seina kõrguse ruudust, mistõttu neli korda kõrgema basseini ehitamise korral oleks selle kogumaksumus neli korda suurem. See lisaraha tuleks parem kulutada loodebasseini horisontaalsele suurendamisele.

Pumbatrikki saab siiski tasuta kasutada alati, mil tõusu loomulik ulatus on alla maksimumi: loodebasseini veetaseme saab pumbata maksimaalse kõrguseni. Järgnevas tabelis on toodud toodetav energiahulk sõltuvalt lisakõrgusest (st basseini ulatus on kaks korda suurem kui väline ulatus). Vertikaalse ulatuse kahekordistamine on kergeim minimaalse tõusu ajal, sest siis on ulatus selle maksimaalväärtusest umbes poole väiksem. Seega võimaldab basseini lisavee pumpamine minimaalse tõusu ajal toota umbkaudu kaks korda rohkem energiat kui ilma pumpamiseta. Seega oleks pumbaga loodebasseini süsteemi kahenädalased variatsioonid hulga väiksemad.

Tabel 4.25

Tõusu amplituud (pool ulatust) h(m)

Lisakõrgus b(m)

Energiatihedus pumpamise korral

Energiatihedus ilma pumpamiseta ()

1,0

1,0

0,8

2,0

2,0

6,3

3,3

3,0

3,0

14

7,4


Pumpamise abil saavutatav energiatihedus eeldusel, et lisakõrgus on sama mis loodete amplituud. See eeldus rakendub näiteks minimaalse tõusu korral, kus pumpamise abil täidetakse bassein veetasemeni, mis tavaliselt saavutatakse maksimaalse tõusu korral.

„Alati töötava“ loodeenergia tootmine kahe basseini abil

Leidub veel üks huvitav idee: ehitame kaks basseini, millest üks on „täis“ ja teine „tühi,“ ning iga tõusu ajal täidame esimese pilgeni ning iga mõõna ajal tühjendame teise täielikult. Selline tühjendamine ja täitmine võiks toimuda kas passiivselt tänu lüüsidele või aktiivselt tänu pumpadele (ülalkirjeldatud meetodi abil). Alati, kui on tarvis energiat toota, laseme veel täis basseinist tühja basseini või (mis veelgi parem) ühest basseinist merre voolata. Kahebasseinilise süsteemi kapitalikulu on küll suurem, sest vaja on ehitada rohkem seinu, kuid selle eeliseks on tõsiasi, et energiat saab toota kogu aeg, mistõttu on nõudlusele kergem vastata.

Tühja basseini abil toodetud energiat saame me kasutada „täis“ basseini täitmiseks mõõna ajal. Sarnaselt saame kasutada täis basseini abil toodetud energiat, et mõõna ajal „tühja“ basseini tühjendada. See ise-pumpamine suurendaks meie energiatoodangut ilma elektrivõrgust elektrit ostmata. Kahebasseinilise süsteemi eelis on ka see, et tõusu ajal toimuva „täis“ basseini täispumpamise optimaalne toimumisaeg kattub tühja basseini poolt toodetava energia optimaalse toimumisajaga. Ja ka vastupidiselt: mõõna ajal pumbatakse tühi bassein tühjaks ning just sel ajal on optimaalne täis basseini abil energiat toota. Lihtsa simulatsiooni abil arvutasin ma välja, et loodusliku -meetrise tõusuulatusega asukohta ehitatud kahebasseiniline süsteem toodaks sobiva pumpamisplaani abil stabiilselt 4,5W/m2 (MacKay, 2007a). Ühe basseini veetaset hoitakse alati mere keskmisest veetasemest kõrgemal ning teise basseini veetaset hoitakse alati mere keskmisest veetasemest madalamal. Energiatihedus 4,5W/m2 on suurem kui samas paigas asuva tavalise loodebasseini maksimaalne keskmine energiatihedus (). Basseinisüsteemi stabiilne energiatoodang  on palju väärtuslikum kui tavalise loodebasseini varieeruv ja mittepaindlik toodang.

Kahebasseinilist süsteemi saaks kasutada ka pump-hüdroakumulatsiooni süsteemina.

Joonis G.12: Pumpamistriki kasutamine erinevail viisidel. Basseinid asuvad merepinna tasemel. (a) Kahebasseinilise süsteemi üheks kasutusviisiks on nimetada üks bassein „kõrgeks“ ning teine bassein „madalaks.“ Kui ümbritseva merevee tase on tõusu lähedane, laseme me veel kõrgesse basseini voolata või siis pumpame selle kunstlikult täis (kasutades muudest allikatest pärinevat elektrit); kui merevee tase on aga mõõna lähedane, tühjendame me madala basseini või siis pumpame selle kunstlikult tühjaks. Hiljem, kui elektri hind on piisavalt kõrge, toodame me vastavalt nõudlusele energiat, lastes veel kõrgest basseinist madalasse basseini voolata. (b) Teine huvipakkuv meetod, mille võimsus ühikpindala kohta võib isegi suurem olla, ei hõlma üleüldse kahe basseini vahelist veevoolu. Ajal, mil ühte basseini kas täis või tühjaks pumbatakse, toodab teine bassein stabiilselt elektrivõrgustiku nõudlusele vastaval hulgal energiat. Pumpamise energia saadakse kas tuulest, elektrivõrgustiku jääkenergiast (näiteks tuumaelektrijaama energiast) või siis basseinisüsteemi enda teisest poolest: ühe basseini energiat kasutatakse teise basseini täitmiseks või tühjendamiseks.

Märkused ja edasine lugemine

90-protsendiline efektiivsus... Turbiinide efektiivsus on ligikaudu , kui veesamba kõrgus on vähemalt 3,7m. Baker et al. (2006).

Alati töötava loodeenergia tootmine kahe basseini abil. Kahebasseiniline loodeenergia jõujaam eksisteerib juba praegu Hiinas, Maoyani saarel. Kahe basseini vahel asuv üksik generaator, mis on toodud joonisel G.12(a), toodab elektrit ühtlaselt keskmise väärtusega 39kW.  [2bqapk].

Edasine lugemine: Shaw ja Watson (2003b); Blunden ja Bahaj (2007); Charlier (2003a,b).

Lisainformatsioon merepõhja hõõrdumise ning voolukiiruse ja veesügavuse vahelisest sõltuvuse kohta: Sleath (1984).

Lisainformatsioon Ühendkuningriikide loodeenergia resursside kohta: MacKay (2007b).

Lisainformatsioon tõusubasseinide kohta: MacKay (2007a).

Asjad II
Imporditav energia
Joonis H.1:  Terastrosside valamine Korea Raua ja Terasetehases.

Teadlane Dieter Helm koos oma kolleegidega hindas riiki X imporditavate kaupade süsinik-jalajälge kilogrammi kohta, kasutades selleks riigi X majanduse keskmist süsinik-intensiivsust (st riigi sisemajanduse koguprodukti ning selle süsinik-heitgaaside hulga suhet). Suurbritannia jaoks leiti, et riiki imporditavate kaupade tootmiseks kulutatud süsiniku hulk (mis tuleks kindlasti lisada Suurbritannia ametlikule süsinik-jalajäljele, milleks on tonni e aastas inimese kohta) on ligikaudu tonni e aastas inimese kohta. Hilisem ning täpsem DERFA volitatud uuring leidis, et see kaupade tootmise süsinik-heitgaaside kogus on madalam, kuid siiski märkimisväärne: umbes 6,2 tonni e aastas inimese kohta. Energiakuluks teisendatuna teeb tonni e aastas umbkaudu .

Vaatame, kas jõuame samale järeldusele ka muul moel – proovime kasutada imporditavate kaupade kaalu.

Joonisel H.2 on näidatud Suurbritannia 2006. aasta importkaupad kolmel viisil: vasakul on toodud importkaupade koguväärtus päritoluriikide kaupa; keskel on toodud importkaupade majanduslik väärtus kaubatüübi kohta (vastavalt Suurbritannia kõrgeima kontrolliasutuse HM Revenue and Customs kategooriatele); paremal on toodud kõigi meretranspordi abil Suurbritanniasse jõudvate importkaupade kaal Transpordiministeeriumi kategooriate kaupa (neis kategooriates ei eristata, kas miski on toodetud nahast või tubakast, loeb vaid kauba kaal, kauba olek – tahke või vedel - ning selle transpordimeetod – konteiner või praam).

Importkütuste energiakulu (üleval paremal) sisaldub Suurbritannia energiatarbe tavaväärtuses alati, kõigi teiste importkaupade energiakulu selles aga ei arvestata. Enamike materjalide jaoks on tootmiseks kulnud energiahulk massiühiku kohta suurem või võrdne väärtusega – sama, mis fossiilkütuste energia massiühiku kohta. See väärtus kehtib näiteks kõigi metallide ja sulamite, polümeeride ja komposiitmaterjalide, enamike pabertoodete ning suure osa keraamiliste toodete jaoks. Eranditeks on siinkohal sellised toormaterjalid nagu maagid ja poorne keraamika (betoon, telliskivid, portselan), mille energiakulu on korda madalam; puit ja mõned kummid ning klaas, mille energiakulu on vaid veidi alla . [r22oz]

Seega saame me hinnata importkaupade energia-jalajälge kui arvestame nende toodetud kaupade materjalide kaalu (välja arvatud maagid ja puit). Kuna kasutame üpriski robustseid andmeid, juhtub kindlasti, et siia-sinna jääb siiski sisse veidi puitu ja klaasi sisaldavaid tooteid, kuid loodetavasti tasakaalustuvad need vead metallide ja plastmassi tootmiseks kuluva energia ülehindamise abil (enamike selliste asjade tootmiseks kulutatud energia jääb 1030kWh vahemikku kilogrammi kohta).

Selle arvutuse jaoks kasutan ma joonise H.2 paremas tulbas olevaid väärtusi raua- ja terastoodete, tahkete hulgitoodete, konteinertranspordi ning „muu transpordi“ kohta – see teeb kokku 98 miljonit tonni aastas. Jätan esialgu sõidukid oma arvutusest välja. Sellest väärtusest lahutan ma hinnangulised miljonit tonni toidukaupasid, mis eeldatavasti kuuluvad „muu transpordi“ kategooriasse (2006. aastal imporditi 34 miljonit tonni toidukaupasid) – seega jääb alles 73 miljonit tonni.

Joonis H.2:  Suurbritannia import, 2006.

73 miljonit tonni saame energiaks teisendada, kui kasutame ülaltoodud vahetuskurssi ning jagame selle miljoni inimese vahel. Seega: nende importkaupade tootmiseks kasutati 33kWh/p inimese kohta.

Autode jaoks saame teha täpsema arvutuse, sest meil on rohkem informatsiooni: 2006. aastal oli imporditavate sõidukite arv miljonit. Kui võtame ühe sõiduki tootmiseks kuluvaks energiahulgaks (leidsime selle numbri lihtsalt kusagilt), teeb see inimese kohta päevas.

Jätsin sellest hinnangust „vedelad hulgitooted“ välja, sest ma ei tea täpselt, milliste toodetega on tegu. Kui selle all mõeldakse vedelaid kemikaale, on nende panus tõenäoliselt märkimisväärne.

Jõudsime järeldusele, et importkaupade tootmiseks kulutatud energia koguhinnang on 41kWh/p inimese kohta – see jääb tõepoolest Dieter Helmi ning tema kolleegide poolt arvutatud väärtusega samasse suurusjärku.

Kahtlustan, et 41kWh/p inimese kohta on aga tegelikkusest veidi väiksem, sest meie kasutatud energiaintensiivsus (10kWh/p inimese kohta) on enamike toodetud kaupade, näiteks masinate ja elektriseadmete, jaoks liiga madal. Kuid ilma kõigi importkategooriate kogukaalu teadmata ei saa me hetkel paremat hinnangut leida.

Joonis H.3: Nioobiumi pealmaakaevandus Brasiilias.
Hoonete elutsükli analüüs

Järgnevas tabelis on toodud ehitusmaterjalide ning ehitusega seotud protsesside energiakulu hinnangulised väärtused. Siia alla käib käib ka toormaterjalide tehasesse transportimise energiakulu kuid mitte valmistoodete transport ehitusplatsile.

Nende väärtuste abil on selles tabelis hinnatud kolme magamistoaga hoone ehitamiseks kuluvat energiahulka. Koguenergiakulu hõlmab enda all ka linnainfrastruktuuri tootmiseks kulunud energiahulka (näiteks toormaterjale tootvate masinate tootmisenergia). Umbkaudselt võib öelda, et hoone ehitamise energiakulu on kaks korda suurem kui protsessi energiakulu [3kmcks].

Kui me jagame 42000kWh aastaga ning koguenergiakulu leidmiseks korrutame selle kahega, saame ühe maja tootmise koguenergiakuluks umbes . See on aga vaid maja „kooriku“ (tellised, keraamilised plaadid, katusetalad) energiakulu.

Tabel 4.26: Ehitusmaterjalides sisalduv energia (eeldusel, et kasutatud pole taastöödeldud materjale).

Materjal

Tootmisenergia (MJ/kg)

Tootmisenergia ()

Kamberkuivatatud saetud okaspuit

3,4

0,94

Kamberkuivatatud saetud lehtpuit

2,0

0,56

Atmosfäärkuivatatud saetud lehtpuit

Kiudplaat

24,2

6,7

Puitlaastplaat

8,0

2,2

Puitkiudplaat

11,3

3,1

Vineer

10,4

2,9

Liimpuit

3,0

Liimkihtpuit

3,0

Õled

0,24

0,07

Tambitud maapind

0,7

0,19

Imporditud ehitusgraniit

13,9

3,9

Kohalik ehitusgraniit

5,9

Kipsplaat

2,9

0,8

Kuivkrohvplaat

4,4

Kiudtsement

4,8

Tsement

Kohapeal valmistatav betoon

1,9

0,53

Eelnevalt valatud aur-tahestatud betoon

2,0

0,56

Eelnevalt valatud betoonsein

1,9

0,53

Savitellis

0,69

Betoonplokid

0,42

Poorbetoon

3,6

1,0

Üldine plastmass

PVC

Sünteetiline kumm

Akrüülvärv

61,5

17

Klaas

12,7

Klaaskiud (klaasvill)

7,8

Alumiinium

47

Vask

Galvaniseeritud teras

38

10,6

Roostevaba teras

51,5

14,3

(Ehitusgraniit on looduslik kivi, mis on ehituseks spetsiaalselt valitud ning õigesse suurusesse lõigatud.) Allikad: [3kmcks], Lawson (1996).


Tabel 4.27: Erinevate seinade, põrandate ja katuste tootmisenergia.


Tootmisenergia (kWh/m2)

Seinad


Puitsõrestik, voodrilaud, kuivkrohvplaat

52

Puitsõrestik, savitellis, kuivkrohvplaat

156

Puitvõrestik, alumiiniumvooderlaud, kuivkrohvplaat

112

Terassõrestik, savitellis, kuivkrohvplaat

168

Kahekordne savitellis, kuivkrohvplaat

252

Tsementstabiliseeritud tambitud pinnas

Põrandad


Tõstetud puitpõrand

81

110mm betoonplaat maapinnal

179

200mm eelvalmistatud betoon T-tala/täitmine

179

Katused


Puitvõrestik, betoon-katuseplaat, kuivkrohvplaatidest lagi

Puitvõrestik, terrakota katuseplaat, kuivkrohvplaatidest lagi

Puitvõrestik, teraskatus, kuivkrohvplaatidest lagi

Allikad: [3kmcks], Lawson (1996).

Tabel 4.28: Kolme magamistoaga maja ehitamisprotsessi energiakulu.


Pindala (m2) x energiatihedus (kWh/m2)

Energia ()

Põrandad

100×81=

8100

Katus

75×75=

5600

Välisseinad

75×252=

19000

Toaseinad

75×125=

9400

Kokku


42000

Märkused ja edasine lugemine

Hilisem ning täpsem DERFA volitatud uuringus leiti, et see kaupade tootmise süsiniku kogus on madalam... Wiedmann et al. (2008).

Lisainformatsioon ehitustoodete elutsüklite hindamisest:  www.greenbooklive.com.

Mõned kasulikud hoiatused elutsükli analüüsi kohta: www.gdrc.org/uem/lca/ life-cycle.html.

Veel linke: www.epa.gov/ord/NRMRL/lcaccess/resources.htm.

Joonis H.7: Millau viadukt Prantsusmaal – maailma kõrgeim sild. Selle ehituseks kasutati terast ja betooni, see on kilomeetri pikkune ning 353 meetrit kõrge.
Kasulikud andmed
Lühikokkuvõtted
Rahvastik ja pindalad
Ühendkuningriikide energiaajalugu
Veebilinkide nimekiri
Veebilinkide nimekiri

This section lists the full links corresponding to each of the tiny URLs mentioned in the text. Each item starts with the page number on which the tiny URL was mentioned. See also http://tinyurl.com/yh8xse (or www.inference.phy.cam.ac.uk/sustain for a clickable page with all URLs in this book.

If you find a URL doesn’t work any more, you may be able to find the page on the Wayback Machine internet archive

[f754].

tinyURL - Full web link.

ydoobr - www.bbc.co.uk/radio4/news/anyquestions_transcripts_20060127.shtml

2jhve6 - www.ft.com/cms/s/0/48e334ce-f355-11db-9845-000b5df10621.html

25e59w - news.bbc.co.uk/1/low/uk politics/7135299.stm

5o7mxk - www.guardian.co.uk/environment/2007/dec/10/politics

5c4olc - www.foe.co.uk/resource/press_releases/green_solutions_undermined_10012008.html

2fztd3 - www.jalopnik.com/cars/alternative-energy/now-thats-some-high-quality-h20-car-runs-on-water-177788.php

26e8z - news.bbc.co.uk/1/hi/sci/tech/3381425.stm ykhayj - politics.guardian.co.uk/terrorism/story/0„1752937,00.html l6y5g - www.grida.no/climate/ipcc tar/wg1/fig3-1.htm

5qfkaw - www.nap.edu/catalog.php?record_id=12181

2z2xg7 - assets.panda.org/downloads/2_vs_3_degree_impacts_1oct06_1.pdf yyxq2m - www.bp.com/genericsection.do?categoryId=93&contentId=2014442 dzcqq - www.defra.gov.uk/environment/climatechange/internat/pdf/avoid-dangercc.pdf y98ys5 - news.bbc.co.uk/1/hi/business/4933190.stm

5647rh - www.dft.gov.uk/pgr/statistics/datatablespublications/tsgb/

27jdc5 - www.dft.gov.uk/pgr/statistics/datatablespublications/energyenvironment/tsgb-chapterCarsenergyandtheenvi1863

28abpm - corporate.honda.com/environmentology/ nmn4l - www.simetric.co.uk/si_liquids.htm 2hcgdh - cta.ornl.gov/data/appendix_b.shtml vxhhj - www.cl.cam.ac.uk/research/dtg/weather/ tdvml - www.phy.hw.ac.uk/resrev/aws/awsarc.htm

3fbufz - www.ipcc.ch/ipccreports/sres/aviation/004.htm

3asmgy - news.independent.co.uk/uk/transport/article324294.ece

9ehws - www.boeing.com/commercial/747family/technical.html

3exmgv - www.ryanair.com/site/EN/about.php?page=About&sec=environment yrnmum - www.grida.no/climate/ipcc/aviation/124.htm

36w5gz - www.rolls-royce.com/community/downloads/environment04/products/air.html

2rqloc - www.metoffice.gov.uk/climate/uk/location/scotland/index.html

2szckw - www.metoffice.gov.uk/climate/uk/stationdata/cambridgedata.txt

5hrxls - eosweb.larc.nasa.gov/cgi-bin/sse/sse.cgi?+s01

6z9epq - www.solarcentury.com/knowledge_base/images/solar_pv_orientation_diagram

2tl7t6 - www.reuk.co.uk/40-Percent-Efficiency-PV-Solar-Panels.htm

6hobq2 - www.azonano.com/news.asp?newsID=4546

2lsx6t - www.udel.edu/PR/UDaily/2008/jul/solar072307.html

62ccou - www.nrel.gov/news/press/2008/625.html

5hzs5y - www.ens-newswire.com/ens/dec2007/2007-12-26-093.asp

39z5m5 - news.bbc.co.uk/1/hi/world/europe/6505221.stm

2uk8q8 - www.powerlight.com/about/press2006_page.php?id=59

2ahecp - www.aps.org/meetings/multimedia/upload/The_Status_and_Outlook_for_the_Photovoltaics_Industry_David_E_Carlson.pdf

6kqq77 - www.defra.gov.uk/erdp/pdfs/ecs/miscanthus-guide.pdf ynjzej - www.aceee.org/conf/06modeling/azevado.pdf wbd8o - www.ref.org.uk/energydata.php

25e59w - news.bbc.co.uk/1/low/uk politics/7135299.stm

2t2vjq - www.guardian.co.uk/environment/2007/dec/11/windpower.renewableenergy

57984r - www.businessgreen.com/business-green/news/2205496/critics-question-government

6oc3ja - www.independent.co.uk/environment/green-living/donnachadh-mccarthy-my-carbonfree-year-767115.html

5soql2 - www.housebuildersupdate.co.uk/2006/12/eco-bollocks-award-windsave-ws1000.html

6g2jm5 - www.carbontrust.co.uk/technology/technologyaccelerator/small-wind

5h69fm - www.thepoultrysite.com/articles/894/economic-approach-to-broiler-production

5pwojp - www.fertilizer.org/ifa/statistics/STATSIND/pkann.asp

5bj8k3 - www.walkerscarbonfootprint.co.uk/walkers_carbon_footprint.html

3s576h - www.permatopia.com/transportation.html

6xrm5q - www.edf.fr/html/en/decouvertes/voyage/usine/retour-usine.html yx7zm4 - www.cancentral.com/funFacts.cfm r22oz - www-materials.eng.cam.ac.uk/mpsite/interactive_charts/energy-cost/NS6Chart.html yhrest - www.transportation.anl.gov/pdfs/TA/106.pdf y5as53 - www.aluminum.org/Content/NavigationMenu/The_Industry/Government_Policy/Energy/Energy.htm y2ktgg - www.ssab.com/templates/Ordinary__573.aspx

6lbrab - www.lindenau-shipyard.de/pages/newsb.html

5ctx4k - www.wilhelmsen.com/SiteCollectionDocuments/WW Miljorapport_engelsk.pdf yqbzl3 - www.normanbaker.org.uk/downloads/Supermarkets Report Final Version.doc yttg7p - budget2007.treasury.gov.uk/page_09.htm fcqfw - www.mod.uk/DefenceInternet/AboutDefence/Organisation/KeyFactsAboutDefence/DefenceSpending.htm 2e4fcs - press.homeoffice.gov.uk/press-releases/security-prebudget-report

33x5kc - www.mod.uk/NR/rdonlyres/95BBA015-22B9-43EF-B2DC-DFF14482A590/0/gep_200708.pdf

35ab2c - www.dasa.mod.uk/natstats/ukds/2007/c1/table103.html yg5fsj - siteresources.worldbank.org/DATASTATISTICS/Resources/GDP.pdf yfgjna - www.sipri.org/contents/milap/milex/mex_major_spenders.pdf/download slbae - www.wisconsinproject.org/countries/israel/plut.html

yh45h8 - www.usec.com/v2001_02/HTML/Aboutusec_swu.asp

t2948 - www.world-nuclear.org/info/inf28.htm

2ywzee - www.globalsecurity.org/wmd/intro/u-centrifuge.htm uzek2 - www.dti.gov.uk/energy/inform/dukes/

3av4s9 - hdr.undp.org/en/statistics/

6frj55 - news.independent.co.uk/environment/article2086678.ece

5qhvcb - www.tramwayinfo.com/Tramframe.htm?www.tramwayinfo.com/tramways/Articles/Compair2.htm

4qgg8q - www.newsweek.com/id/112733/output/print

5o5x5m - www.cambridgeenergy.com/archive/2007-02-08/cef08feb2007kemp.pdf 5o5x5m - www.cambridgeenergy.com/archive/2007-02-08/cef08feb2007kemp.pdf

5fbeg9 - www.cfit.gov.uk/docs/2001/racomp/racomp/pdf/racomp.pdf

679rpc - www.tfl.gov.uk/assets/downloads/environmental-report-2007.pdf

5cp27j - www.eaton.com/EatonCom/ProductsServices/Hybrid/SystemsOverview/HydraulicHLA/index.htm

4wm2w4 - www.citroenet.org.uk/passenger-cars/psa/berlingo/berlingo-electrique.html

658ode - www.greencarcongress.com/2008/02/mitsubishi-moto.html czjjo - corporate.honda.com/environment/fuel_cells.aspx?id=fuel_cells_fcx

5a3ryx - automobiles.honda.com/fcx-clarity/specifications.aspx

yok2nw - www.eca.gov.uk/etl/find/ P Heatpumps/detail.htm?ProductID=9868&FromTechnology=S_WaterSourcePackaged

2dtx8z - www.eca.gov.uk/NR/rdonlyres/6754FE19-C697-49DA-B482-DA9426611ACF/0/ETCL2007.pdf

2fd8ar - www.geothermalint.co.uk/commercial/hydronicheatpumpranges.html 5kpjk8 - blogs.reuters.com/environment/2008/09/09/a-silver-bullet-or-just-greenwash/ yebuk8 - www.dti.gov.uk/energy/sources/coal/index.html yhxf8b - www.worldenergy.org/wec-geis/publications/reports/ser/coal/coal.asp e2m9n - www.coal.gov.uk/resources/cleanercoaltechnologies/ucgoverview.cfm

5qntkb - www.world-nuclear.org/info/reactors.htm y3wnzr - npc.sarov.ru/english/digest/132004/appendix8.html

32t5zt - web.ift.uib.no/∼lillestol/Energy_Web/EA.html

2qr3yr - documents.cern.ch/cgi-bin/setlink?base=generic&categ=public&id=cer-0210391 ynk54y - doc.cern.ch//archive/electronic/other/generic/public/cer-0210391.pdf yl7tkm - minerals.usgs.gov/minerals/pubs/mcs/1999/mcs99.pdf

yju4a4 - www.uic.com.au/nip67.htm yeyr7z - taylorandfrancis.metapress.com/index/W7241163J23386MG.pdf

4f2ekz - www.publications.parliament.uk/pa/cm199900/cmhansrd/vo000505/text/00505w05.htm

2k8y7o - www.nei.org/resourcesandstats/

3pvf4j - www.sustainableconcrete.org.uk/main.asp?page=210

4r7zpg - csereport2005.bluescopesteel.com/

49hcnw - www.ace.mmu.ac.uk/Resources/Fact_Sheets/Key_Stage_4/Waste/pdf/02.pdf

3kduo7 - www.esrcsocietytoday.ac.uk/ESRCInfoCentre/facts/UK/index29.aspx?ComponentId=7104&SourcePageId=18130

69vt8r - www.osti.gov/energycitations/product.biblio.jsp?osti_id=7200593

6oby22 - www.osti.gov/energycitations/product.biblio.jsp?osti_id=6773271&query_id=0 63l2lp - pubs.acs.org/cgi-bin/abstract.cgi/jacsat/2002/124/i18/abs/ja003472m.html wnchw - www.feasta.org/documents/wells/contents.html?one/horelacy.html shrln - www.enviros.com/vrepository/

2wmuw7 - news.yahoo.com/s/ap/20071231/ap_on_hi_te/solar_roads;_ylt=AuEFouXxz16nP8MRlInTJMms0NUE

2hxf6c - www.eirgrid.com/EirGridPortal/DesktopDefault.aspx?tabid=WindGenerationCurve&TreeLinkModID=1451&TreeLink

2l99ht - www.reuters.com/article/domesticNews/idUSN2749522920080228

3x2kvv - www.reuters.com/article/rbssIndustryMaterialsUtilitiesNews/idUSL057816620080305

5o2xgu - www.esru.strath.ac.uk/EandE/Web_sites/03-04/wind/content/storageavailable.html

2n3pmb - www.dynamicdemand.co.uk/pdf_fridge_test.pdf

2k8h4o - www.int.iol.co.za/index.php?art_id=vn20080201045821205C890035

5cp27j - www.eaton.com/EatonCom/ProductsServices/Hybrid/SystemsOverview/HydraulicHLA/index.htm

2sxlyj - www.batteryuniversity.com/partone-3.htm ktd7a - www.vrbpower.com/docs/news/2006/20060830-PR-TapburySale-IrelandWindfarm.pdf

627ced - www.vrbpower.com/docs/whitepapers/SEItechpaper1.pdf

5fasl7 - www.indexmundi.com/en/commodities/minerals/vanadium/vanadium_t7.html

2wmuw7 - news.yahoo.com/s/ap/20071231/ap_on_hi_te/solar_roads;_ylt=AuEFouXxz16nP8MRlInTJMms0NUE

5os7dy - tinyurl.com/5os7dy yrw2oo - tinyurl.com/yrw2oo

6eoyhg - news.bbc.co.uk/1/hi/uk/7215688.stm yu8em5 - www.foe.co.uk/resource/reports/paying_for_better_transport.pdf

3x2cr4 - news.bbc.co.uk/1/hi/england/london/6151176.stm

2dd4mz - news.bbc.co.uk/1/low/uk politics/6391075.stm

7vlxp - www.lse.ac.uk/collections/pressAndInformationOffice/newsAndEvents/archives/2005/IDCard_FinalReport.htm

6x4nvu - www.statoil.com/statoilcom/svg00990.nsf?opendatabase&artid=F5255D55E1E78319C1256FEF0044704B

39g2wz - www.dillinger.de/dh/referenzen/linepipe/01617/index.shtml.en

3ac8sj - www.hydro.com/ormenlange/en/

y7kg26 - www.politics.co.uk/issue-briefs/economy/taxation/tobacco-duty/tobacco-duty-$366602.htm r9fcf - en.wikipedia.org/wiki/War_on_Drugs ysncks - news.bbc.co.uk/1/low/uk politics/6205174.stm

2vq59t - www.boston.com/news/globe/editorial opinion/oped/articles/2007/08/01/the_63_billion_sham/ ym46a9 - https://www.cia.gov/cia/publications/factbook/print/xx.html

99bpt - www.guardian.co.uk/Iraq/Story/0,2763,1681119,00.html

2bmuod - www.guardian.co.uk/environment/2007/aug/13/renewableenergy.energy

3g8nn8 - image.guardian.co.uk/sys-files/Guardian/documents/2007/08/13/RenewablesTargetDocument.pdf

3jo7q2 - www.viewsofscotland.org/library/docs/HoL_STC_RE_Practicalities_04.pdf

2ykfgw - www.guardian.co.uk/environment/2007/jan/09/travelsenvironmentalimpact.greenpolitics

2nsvx2 - www.number-10.gov.uk/output/Page10300.asp yxq5xk - commentisfree.guardian.co.uk/george monbiot/2007/01/an_open_letter_to_the_prime_mi.html

3doaeg - web.archive.org/web/20040401165322/members.cox.net/weller43/sunshine.htm

3lcw9c - knol.google.com/k/-/-/15x31uzlqeo5n/1 voxbz - news.bbc.co.uk/1/low/business/6247371.stm yofchc - news.bbc.co.uk/1/low/uk/7053903.stm

3e28ed - www.grida.no/climate/ipcc_tar/wg1/118.htm

2bhu35 - www.lafn.org/∼dave/trans/energy/rail_vs_auto_EE.html

6by8x - encarta.msn.com/encyclopedia_761553622/Internal-Combustion_Engine.html

348whs - www.cleangreencar.co.nz/page/prius-petrol-engine ydt7uk - www.nrel.gov/business_opportunities/pdfs/31235sow.pdf yaoonz - www.windpower.org/en/tour/wres/shear.htm

6o86ec - www.londonarray.com/london-array-project-introduction/offshore/ 6bkvbn - www.timesonline.co.uk/tol/news/world/asia/article687157.ece yekdaa - www.windpower.org/en/stat/betzpro.htm ymfbsn - www.windpower.org/en/tour/wres/powdensi.htm ypvbvd - www.ref.org.uk/images/pdfs/UK_Wind_Phase_1_web.pdf wbd8o - www.ref.org.uk/energydata.php

33ptcg - www.stevefossett.com/html/main_pages/records.html

6r32hf - www.theaustralian.news.com.au/story/0,25197,23003236-23349,00.html

2af5gw - www.airliners.net/info/stats.main?id=100

32judd - www.wildanimalsonline.com/birds/wanderingalbatross.php

2qbquv - news.bbc.co.uk/1/low/sci/tech/6988720.stm

5h6xph - www.goldcoastyachts.com/fastcat.htm

4p3yco - www.fas.org/man/dod-101/sys/ship/row/rus/903.htm

3ap7lc - www.biocap.ca/files/Ont_bioenergy_OPA_Feb23_final.pdf

4hamks - www.methanetomarkets.org/resources/landfills/docs/uk_lf_profile.pdf

65h3cb - www.dorset-technical-committee.org.uk/reports/U-values-of-elements-Sept-2006.pdf

5dhups - www.arct.cam.ac.uk/UCPB/Place.aspx?rid=943658&p=6&ix=8&pid=1&prcid=27&ppid=201

2bqapk - wwwphys.murdoch.edu.au/rise/reslab/resfiles/tidal/text.html r22oz - www-materials.eng.cam.ac.uk/mpsite/interactive_charts/energy-cost/NS6Chart.html

3kmcks - www.yourhome.gov.au/technical/index.html

3kmcks - www.yourhome.gov.au/technical/index.html

3b7zdf - www.communities.gov.uk/publications/planningandbuilding/generalizedlanduse

3av4s9 - hdr.undp.org/en/statistics/

f754 - www.archive.org/web/web.php

Kasutatud kirjandus
  1. Aitchison, E. (1996). Methane generation from UK landfill sites and its use as an energy resource. Energy Conversion and Management, 37(6/8):1111–1116. doi: doi:10.1016/0196-8904(95)00306-
  2. 1. www.ingentaconnect.com/content/els/01968904/1996/00000037/ 00000006/art00306.
  3. Amos, W. A. (2004). Updated cost analysis of photobiological hydrogen production from Chlamydomonas reinhardtii green algae –milestone completion report. www.nrel.gov/docs/fy04osti/35593. pdf.
  4. Anderson, K., Bows, A., Mander, S., Shackley, S., Agnolucci, P., and Ekins, P. (2006). Decarbonising modern societies: Integrated scenarios process and workshops. Technical Report 48, Tyndall Centre. www.tyndall.ac.uk/research/theme2/fina reports/ t3_24.pdf.
  5. Archer, M. D. and Barber, J. (2004). Photosynthesis and photoconversion. In M. D. Archer and J. Barber, editors,
  6. Molecular to Global Photosynthesis. World Scientific. ISBN 978-1-86094-256-3. www.worldscibooks.com/lifesci/p218.html.
  7. Ashworth, W. and Pegg, M. (1986). The history of the British coal industry. Vol. 5, 1946–1982: the nationalized industry. Clarendon, Oxford. ISBN 0198282958.
  8. Asplund, G. (2004). Sustainable energy systems with HVDC transmission. In Power Engineering Society General Meeting, volume 2, pages 2299–2303. IEEE. doi: 10.1109/PES.2004.1373296. www.trec-uk.org.uk/reports/HVDC Gunnar Asplund ABB.pdf.
  9. Asselbergs, B., Bokhorst, J., Harms, R., van Hemert, J., van der Noort, L., ten Velden, C., Vervuurt, R., Wijnen, L., and van Zon, L. (2006). Size does matter –the possibilities of cultivating jatropha curcas for biofuel production in Cambodia. environmental.scum.org/biofuel/jatropha/.
  10. Baer, P. and Mastrandrea, M. (2006). High stakes: Designing emissions pathways to reduce the risk of dangerous climate change. www.ippr.org/publicationsandreports/.
  11. Bahrman, M. P. and Johnson, B. K. (2007). The ABCs of HVDC transmission technology. IEEE Power and Energy Magazine, 5(2).
  12. Baines, J. A., Newman, V. G., Hanna, I. W., Douglas, T. H., Carlyle, W. J., Jones, I. L., Eaton, D. M., and Zeronian, G. (1983). Dinorwig pumped storage scheme. Institution of Civil Engineers Proc. pt. 1, 74:635–718.
  13. Baines, J. A., Newman, V. G., Hanna, I. W., Douglas, T. H., Carlyle, W. J., Jones, I. L., Eaton, D. M., and Zeronian, G. (1986). Dinorwig pumped storage scheme. Institution of Civil Engineers Proc. pt. 1, 80:493–536.
  14. Baker, C., Walbancke, J., and Leach, P. (2006). Tidal lagoon power generation scheme in Swansea Bay. www.dti.gov.uk/files/ file30617.pdf. A report on behalf of the Dept. of Trade and Industry and the Welsh Development Agency
  15. Bayer Crop Science. (2003). Potential of GM winter oilseed rape to reduce the environmental impact of farming whilst improving farmer incomes. tinyurl.com/5j99df.
  16. Bickley, D. T. and Ryrie, S. C. (1982). A two-basin tidal power scheme for the Severn estuary. In Conf. on new approaches to tidal power.
  17. Binder, M., Faltenbacher, M., Kentzler, M., and Schuckert, M. (2006). Clean urban transport for Europe. deliverable D8 final report. www.fuel-cell-bus-club.com/.
  18. Black and Veatch. (2005). The UK tidal stream resource and tidal stream technology. report prepared for the Carbon Trust Marine Energy Challenge. www.carbontrust.co.uk/technology/technologyaccelerator/tidal stream.htm.
  19. Blunden, L. S. and Bahaj, A. S. (2007). Tidal energy resource assessment for tidal stream generators. Proc. IMechE, 221 Part A: 137–146.
  20. Bonan, G. B. (2002).         Ecological Climatology: Concepts and Applications.            Cambridge Univ.      Press.    ISBN 9780521804769.
  21. Boyer, J. S. (1982). Plant productivity and environment. Science, 218 (4571):443–448. doi: 10.1126/science.218.4571.443.
  22. Braslow, A. L. (1999). A history of suction-type laminar-flow control with emphasis on flight research. Number 13 in Monographs in Aerospace History. NASA. www.nasa.gov/centers/dryden/pdf/ 88792main Laminar.pdf.
  23. Broecker, W. S. and Kunzig, R. (2008). Fixing Climate: What Past Climate Changes Reveal About the Current Threat–and How to Counter It. Hill and Wang. ISBN 0809045028.
  24. Burnham, A., Wang, M., and Wu, Y. (2007). Development and applications of GREET 2.7 —the transportation vehicle-cycle model. www.transportation.anl.gov/software/GREET/publications.html.
  25. Carbon Trust. (2007). Micro-CHP accelerator –interim report. Technical Report CTC726. www.carbontrust.co.uk/publications/ publicationdetail.htm?productid=CTC726.
  26. Carlsson, L. (2002). “Classical” HVDC: still continuing to evolve. Modern Power Systems.
  27. Cartwright, D. E., Edden, A. C., Spencer, R., and Vassie, J. M. (1980). The tides of the northeast Atlantic Ocean. Philos. Trans. R. Soc. Lond. Ser. A, 298(1436):87–139.
  28. Catling, D. T. (1966). Principles and practice of train performance applied to London Transport’s Victoria line. Paper 8, Convention on Guided Land Transport (London, 27-28 October 1966).
  29. Charlier, R. H. (2003a). Sustainable co-generation from the tides: A review. Renewable and Sustainable Energy Reviews, 7:187213.
  30. Charlier, R. H. (2003b). A “sleeper” awakes: tidal current power. Renewable and Sustainable Energy Reviews, 7:515529.
  31. Charney, J. G., Arakawa, A., Baker, D. J., Bolin, B., Dickinson, R. E., Goody, R. M., Leith, C. E., Stommel, H. M., and Wunsch, C. I. (1979). Carbon dioxide and climate: A scientific assessment. www.nap.edu/catalog.php?record id=12181.
  32. Chisholm, S. W., Falkowski, P. G., and Cullen, J. J. (2001). Discrediting ocean fertilisation. Science, 294(5541):309–310.
  33. Chitrakar, R., Kanoh, H., Miyai, Y., and Ooi, K. (2001). Recovery of lithium from seawater using manganese oxide adsorbent (H1.6Mn1.6O4) derived from Li1.6Mn1.6O4. Ind. Eng. Chem. Res., 40(9):2054–2058. pubs.acs.org/cgibin/abstract.cgi/iecred/2001/ 40/i09/abs/ie000911h.html.
  34. Church, R. A., Hall, A., and Kanefsky, J. (1986). The history of the British coal industry. Vol. 3, 1830–1913: Victorian pre-eminence. Clarendon, Oxford. ISBN 0198282842.
  35. Cohen, B. L. (1983). Breeder reactors: A renewable energy source. American Journal of Physics, 51(1):75–76. sustainablenuclear.org/PADs/pad11983cohen.pdf.
  36. Coley, D. (2001). Emission factors for walking and cycling. www. centres.ex.ac.uk/cee/publications/reports/91.html.
  37. Committee on Radioactive Waste Management. (2006). Managing our radioactive waste safely. www.corwm.org.uk/Pages/Curren %20CoRWM%20July%202006% 20Recommendations%20to%20Government.pdf.
  38. CUTE. (2006). Clean urban transport for Europe. detailed summary of achievements. www.fuel-cell-bus-club.com/.
  39. David, J. and Herzog, H. (2000). The cost of carbon capture. sequestration.mit.edu/pdf/David and Herzog.pdf. presented at the Fifth International Conf. on Greenhouse Gas Control Technologies, Cairns, Australia, August 13 August 16 (2000).
  40. Davidson, E. A. and Janssens, I. A. (2006). Temperature sensitivity of soil carbon decomposition and feedbacks to climate change. Nature, 440:165–173. doi: doi:10.1038/nature04514. www.nature.com/nature/journal/v440/n7081/full/nature04
  41. Deffeyes, K. S. and MacGregor, I. D. (1980). World uranium resources. Scientific American, pages 66–76.
  42. Denholm, P., Kulcinski, G. L., and Holloway, T. (2005). Emissions and energy efficiency assessment of baseload
  43. wind energy systems. Environ Sci Technol, 39(6):1903–1911. ISSN 0013- 936X. www.ncbi.nlm.nih.gov/entrez/query.fcgi?cmd=R pubmeddopt=Abstractlist uids=15819254.
  44. Denison, R. A. (1997). Life-cycle assessment for paper products. In E. Ellwood, J. Antle, G. Eyring, and P. Schulze, editors, Wood in Our Future: The Role of Life-Cycle Analysis: Proc. a Symposium. National Academy Press. ISBN 0309057450. books.nap.edu/openbook.php?record id=5734.
  45. Dennis, C. (2006). Solar energy: Radiation nation. Nature, 443:23–24.doi: 10.1038/443023a.
  46. Dept. for Transport. (2007). Transport statistics Great Britain. www.dft.gov.uk/pgr/statistics/datatablespublications/tsgb/.
  47. Dept. of Defense. (2008). More fight –less fuel. Report of the Defense Science Board Task Force on DoD Energy
  48. Strategy.
  49. Dept.     of Trade and Industry.    (2004).  DTI Atlas of UK marine renewable energy resources.               www.offshoresea.org.uk/.
  50. Dept. of Trade and Industry. (2002a). Energy consumption in the United Kingdom. www.berr.gov.uk/files/file11250.pdf.
  51. Dept. of Trade and Industry. (2002b). Future offshore. www.berr. gov.uk/files/file22791.pdf.
  52. Dept. of Trade and Industry. (2007). Impact of banding the renewables obligation –costs of electricity production. www.berr.gov.uk/files/file39038.pdf.
  53. Dessler, A. E. and Parson, E. A. (2006). The Science and Politics of Global Climate Change –A Guide to the Debate. Cambridge Univ. Press, Cambridge. ISBN 9780521539418.
  54. di Prampero, P. E., Cortili, G., Mognoni, P., and Saibene, F. (1979). Equation of motion of a cyclist. J. Appl. Physiology, 47:201–206. jap.physiology.org/cgi/content/abstract/47/1/201.
  55. Diamond, J. (2004). Collapse: How Societies Choose to Fail or Succeed. Penguin.
  56. E4tech. (2007). A review of the UK innovation system for low carbon road transport technologies. www.dft.gov.uk/pgr/scienceres technology/lctis/e4techlcpdf.
  57. Eckhartt, D. (1995). Nuclear fuels for low-beta fusion reactors: Lithium resources revisited. Journal of Fusion Energy, 14(4):329–341. ISSN 0164-0313 (Print) 1572-9591 (Online). doi: 10.1007/BF02214511. www.springerlink.com/content/35
  58. Eddington, R. (2006). Transport’s role in sustaining the UK’s productivity and competitiveness.
  59. Eden, R. and Bending, R. (1985). Gas/electricity competition in the UK. Technical Report 85/6, Cambridge Energy Research Group, Cambridge.
  60. Elliott, D. L., Wendell, L. L., and Gower, G. L. (1991). An assessment of windy land area and wind energy potential in the contiguous United States. www.osti.gov/energycitations/servlets/ purl/5252760-ccuOpk/.
  61. Energy for Sustainable Development Ltd. (2003). English partnerships sustainable energy review. www.englishpartnerships.co. uk.
  62. Erdincler, A. U. and Vesilind, P. A. (1993). Energy recovery from mixed waste paper. Waste Management Research, 11(6):507–513. doi: 10.1177/0734242X9301100605.
  63. Etheridge, D., Steele, L., Langenfelds, R., Francey, R., Barnola, J.-M., and Morgan, V. (1998). Historical CO2 records from the Law Dome DE08, DE08-2, and DSS ice cores. In Trends: A Compendium of Data on Global Change. Carbon Dioxide Information Analysis Center, Oak Ridge National Laboratory, US Dept. of Energy, Oak Ridge, Tenn., USA.cdiac.ornl.gov/trends/co2/lawdome.html.
  64. European Commission. (2007). Concentrating solar power - from research to implementation. www.solarpaces.org/Library/librar htm.
  65. Evans, D. G. (2007). Liquid transport biofuels –technology status report. www.nnfcc.co.uk/.
  66. Evans, R. K. (2008). An abundance of lithium. www.worldlithium.com.
  67. Faber, T. E. (1995). Fluid dynamics for physicists. Cambridge Univ. Press, Cambridge.
  68. Faiman, D., Raviv, D., and Rosenstreich, R. (2007). Using solar energy to arrest the increasing rate of fossil-fuel consumption: The southwestern states of the USA as case studies. Energy Policy, 35:567576.
  69. Fies, B., Peterson, T., and Powicki, C. (2007). Solar photovoltaics –expanding electric generation options. mydocs.epri.com/docs/SEIG/1016279 Photovoltaic White Paper 1207.pdf.
  70. Fisher, K., Wallén, E., Laenen, P. P., and Collins, M. (2006). Battery waste management life cycle assessment. www.defra.gov.uk/ environment/waste/topics/batteries/pdf/erm-lcareport0610.pdf.
  71. Flather, R. A. (1976). A tidal model of the north-west European continental shelf. Memoires Société Royale des Sciences de Liège, 10(6):141–164.
  72. Flinn, M. W. and Stoker, D. (1984). The history of the British coal industry. Vol. 2, 1700–1830: the Industrial Revolution. Clarendon, Oxford. ISBN 0198282834.
  73. Francis, G., Edinger, R., and Becker, K. (2005). A concept for simultaneous wasteland reclamation, fuel production, and socioeconomic development in degraded areas in India: Need, potential and perspectives of Jatropha plantations. Natural Resources Forum, 29(1):12–24. doi:10.1111/j.1477-8947.2005.00109.x.
  74. Franklin, J. (2007). Principles of cycle planning. www.cyclenetwork.org.uk/papers/071119principles.pdf.
  75. Freeston, D. H. (1996). Direct uses of geothermal energy 1995. geoheat.oit.edu/bulletin/bull17-1/art1.pdf.
  76. Gabrielli, G. and von Kármán, T. (1950). What price speed? Mechanical Engineering, 72(10).
  77. Garrett, C. and Cummins, P. (2005). The power potential of tidal currents in channels. Proc. Royal Society A, 461(2060):2563–2572.dx.doi.org/10.1098/rspa.2005.1494.
  78. Garrett, C. and Cummins, P. (2007). The efficiency of a turbine in a tidal channel. J Fluid Mech, 588:243–251. journals.cambridge.org/production/action/cjoGetFulltext?fulltextid=1346064.
  79. Gellings, C. W. and Parmenter, K. E. (2004). Energy efficiency in fertilizer production and use. In C. W. Gellings and K. Blok, editors, Efficient Use and Conservation of Energy, Encyclopedia of Life Support Systems. Eolss Publishers, Oxford, UK. www.eolss.net.
  80. German Aerospace Center (DLR) Institute of Technical Thermodynamics Section Systems Analysis and Technology Assessment. (2006). Concentrating solar power for the Mediterranean region. www.dlr.de/tt/med-csp. Study commissioned by Federal Ministry for the Environment, Nature Conservation and Nuclear Safety, Germany.
  81. Goodstein, D. (2004). Out of Gas. W. W. Norton and Company, New York. ISBN 0393058573.
  82. Green, J. E. (2006). Civil aviation and the environment –the next frontier for the aerodynamicist. Aeronautical Journal, 110(1110): 469–486.
  83. Grubb, M. and Newbery, D. (2008). Pricing carbon for electricity generation: national and international dimensions. In M. Grubb, T. Jamasb, and M. G. Pollitt, editors, Delivering a Low Carbon Electricity System: Technologies, Economics and Policy. Cambridge Univ. Press, Cambridge.
  84. Gummer, J., Goldsmith, Z., Peck, J., Eggar, T., Hurd, N., Miraj, A., Norris, S., Northcote, B., Oliver, T., Strong, D., Twitchen, K., and Wilkie, K. (2007). Blueprint for a green economy. www.qualityoflifechallenge.com.
  85. Halkema, J. A. (2006). Wind energy: Facts and fiction. www.countryguardian.net/halkema-windenergyfactfiction.pdf.
  86. Hammond, G. and Jones, C. (2006). Inventory of carbon & energy (ICE). www.bath.ac.uk/mech-eng/sert/embodied/. version 1.5a Beta.
  87. Hammons, T. J. (1993). Tidal power. Proc. IEEE, 8(3):419–433.
  88. Hansen, J., Sato, M., Kharecha, P., Russell, G., Lea, D., and Siddall, M. (2007). Climate change and trace gases. Phil. Trans. Royal. Soc. A, 365:1925–1954. doi: 10.1098/rsta.2007.2052. pubs.giss.nasa.gov/abstracts/2007/Hansen etal 2.html.
  89. Hastings, R. and Wall, M. (2006).               Sustainable Solar Housing: Strategies And Solutions.               Earthscan.           ISBN 1844073254.
  90. Hatcher, J. (1993). The History of the British Coal Industry: Towards the Age of Coal: Before 1700 Vol 1. Clarendon Press.
  91. Heaton, E., Voigt, T., and Long, S. (2004). A quantitative review comparing the yields of two candidate C4 perennial biomass crops in relation to nitrogen, temperature, and water. Biomass and Bioenergy, 27:21–30.
  92. Helm, D., Smale, R., and Phillips, J. (2007). Too good to be true? The UK’s climate change record. www.dieterhelm.co.uk/ publications/Carbon record 2007.pdf.
  93. Helweg-Larsen, T. and Bull, J. (2007). Zero carbon Britain –an alternative energy strategy. zerocarbonbritain.com/.
  94. Herring, J. (2004). Uranium and thorium resource assessment. In C. J. Cleveland, editor, Encyclopedia of Energy. Boston Univ., Boston, USA. ISBN 0-12-176480-X.
  95. Herzog, H. (2003). Assessing the feasibility of capturingCO2 from the air. web.mit.edu/coal/working folder/pdfs/Air Capture Feasibility.pdf.
  96. Herzog, H. (2001). What future for carbon capture and sequestration? Environmental Science and Technology, 35:148A–153A. sequestration.mit.edu/.
  97. Hird, V., Emerson, C., Noble, E., Longfield, J., Williams, V., Goetz, D., Hoskins, R., Paxton, A., and Dupee, G. (1999). Still on the road to ruin? An assessment of the debate over the unnecessary transport of food, five years on from the food miles report.
  98. Hodgson, P. (1999). Nuclear Power, Energy and the Environment. Imperial College Press.
  99. Hopfield, J. J. and Gollub, J. (1978). Introduction to solar energy. www.inference.phy.cam.ac.uk/sustainable/solar/HopfieldGollub
  100. Horie, H., Tanjo, Y., Miyamoto, T., and Koga, Y. (1997). Development of a lithium-ion battery pack system for EV. JSAE Review, 18 (3):295–300.
  101. HPTCJ. (2007). Heat pumps: Long awaited way out of the global warming. www.hptcj.or.jp/about e/contribution/index.html.
  102. Indermuhle, A., Stocker, T., Joos, F., Fischer, H., Smith, H., Wahlen, M., Deck, B., Mastroianni, D., Tschumi, J., Blunier, T., Meyer, R., and Stauffer, B. (1999). Holocene carbon-cycle dynamics based on CO2 trapped in ice at Taylor Dome, Antarctica. Nature, 398:121–126.
  103. International Energy Agency. (2001). Things that go blip in the night –standby power and how to limit it. www.iea.org/textbase/np
  104. Jackson, P. and Kershaw, S. (1996). Reducing long term methane emissions resulting from coal mining. Energy Conversion and Management, 37(6-8):801–806. doi: 10.1016/0196-8904(95)00259-6.
  105. Jevons, W. S. (1866). The Coal Question; An Inquiry concerning the Progress of the Nation, and the Probable Exhaustion of our Coal-mines. Macmillan and Co., London, second edition. oll.libertyfund. org/.
  106. Jones, I. S. F. (2008). The production of additional marine protein by nitrogen nourishment. www.oceannourishment.com/files/Jc0
  107. Jones, P. M. S. (1984). Statistics and nuclear energy. The Statistician, 33(1):91–102. www.jstor.org/pss/2987717.
  108. Judd, B., Harrison, D. P., and Jones, I. S. F. (2008). Engineering ocean nourishment. In World Congress on Engineering WCE 2008, pages 1315–1319. IAENG. ISBN 978-988-98671-9-5.
  109. Juniper, T. (2007). How Many Lightbulbs does it take To Change a Planet? Quercus, London.
  110. Kammen, D. M. and Hassenzahl, D. M. (1999). Should We Risk It? Exploring Environmental, Health, and Technological Problem Solving. Princeton Univ. Press.
  111. Kaneko, T., Shimada,M., Kujiraoka, S., and Kojima, T. (2004). Easy maintenance and environmentally-friendly train traction system. Hitachi Review, 53(1):15–19. www.hitachi.com/ICSFiles/afieldfile/2004/05/25/r2004 01 103.pdf.
  112. Keeling, C. and Whorf, T. (2005). Atmospheric CO2 records from sites in the SIO air sampling network. In Trends: A Compendium of Data on Global Change. Carbon Dioxide Information Analysis Center, Oak Ridge National Laboratory, US Dept. of Energy, Oak Ridge, Tenn., USA.
  113. Keith, D. W., Ha-Duong, M., and Stolaroff, J. K. (2005). Climate strategy with CO2 capture from the air. Climatic
  114. Change. doi: 10.1007/s10584-005-9026-x. www.ucalgary.ca/∼keith/papers/ 51.Keith.2005.ClimateStratWithAirCapture.e.pdf.
  115. King, J. (2007). The King review of low-carbon cars. Part I: the potential forCO2 reduction. hm-treasury.gov.uk/king.
  116. King, J. (2008). The King review of low-carbon cars. Part II: recommendations for action. hm-treasury.gov.uk/king.
  117. Koomey, J. G. (2007). Estimating total power consumption by servers in the US and the world. blogs.business2.com/greenwombat serverpowerusecomplete-v3.pdf.
  118. Kowalik, Z. (2004). Tide distribution and tapping into tidal energy. Oceanologia, 46(3):291–331.
  119. Kuehr, R. (2003). Computers and the Environment: Understanding and Managing their Impacts (Eco-Efficiency in Industry and Science). Springer. ISBN 1402016808.
  120. Lackner, K. S., Grimes, P., and Ziock, H.-J. (2001). Capturing carbon dioxide from air. www.netl.doe.gov/publications/proceeding seq/7b1.pdf. Presented at First National Conf. on Carbon Sequestration, Washington DC.
  121. Lawson, B. (1996). Building materials, energy and the environment: Towards ecologically sustainable development.
  122. Layzell, D. B., Stephen, J., and Wood, S. M. (2006). Exploring the potential for biomass power in Ontario. www.biocap.ca/files/Ont bioenergy OPA Feb23 final.pdf.
  123. Le Quéré, C., Rödenbeck, C., Buitenhuis, E., Conway, T. J., Langenfelds, R., Gomez, A., Labuschagne, C., Ramonet, M., Nakazawa, T., Metzl, N., Gillett, N., and Heimann, M. (2007). Saturation of the southern ocean CO2 sink due to recent climate change. Science, 316:1735–1738. doi: 10.1126/science.1136188. lgmacweb.env.uea.ac.uk/e415/publications.html
  124. Lemofouet-Gatsi, S. (2006). Investigation and optimisation of hybrid electricity storage systems based on compressed air and supercapacitors. PhD thesis, EPFL. library.epfl.ch/theses/?nr=3628.
  125. Lemofouet-Gatsi, S. and Rufer, A. (2005). Hybrid energy systems based on compressed air and supercapacitors with maximum efficiency point tracking. leiwww.epfl.ch/publications/lemofouet rufer epe 05.pdf.
  126. Lomborg, B. (2001). The skeptical environmentalist: measuring the real state of the world. Cambridge Univ. Press, Cambridge. ISBN 0-521-80447-7.
  127. Mabee, W. E., Saddler, J. N., Nielsen, C., Henrik, L., and Steen Jensen, E. (2006). Renewable-based fuels for transport. www.risoe.dk/rispubl/Energy-report5/ris-r-1557 49-52.pdf. Riso Energy Report 5.
  128. MacDonald, J. M. (2008). The economic organization of US broiler production. www.ers.usda.gov/Publications/EIB38/EIB38.pd Economic Information Bulletin No. 38. Economic Research Service, US Dept. of Agriculture.
  129. MacDonald, P., Stedman, A., and Symons, G. (1992). The UK geothermal hot dry rock R&D programme. In Seventeenth Workshop on Geothermal Reservoir Engineering.
  130. MacKay, D. J. C. (2007a). Enhancing electrical supply by pumped storage in tidal lagoons. www.inference.phy.cam.ac.uk/mackay
  131. MacKay, D. J. C. (2007b). Under-estimation of the UK tidal resource. www.inference.phy.cam.ac.uk/mackay/abstracts/TideEstim
  132. MacLeay, I., Harris, K., and Michaels, C. (2007). Digest of United Kingdom energy statistics 2007. www.berr.gov.uk.
  133. Malanima, P. (2006). Energy crisis and growth 1650–1850: the European deviation in a comparative perspective. Journal of Global History, 1:101–121. doi: 10.1017/S1740022806000064.
  134. Marland, G., Boden, T., and Andres, R. J. (2007). Global, regional, and national CO2 emissions. In Trends: A Compendium of Data on Global Change. Carbon Dioxide Information Analysis Center, Oak Ridge National Laboratory, US Dept. of Energy, Oak Ridge, Tenn., USA. cdiac.ornl.gov/trends/emis/tre glob.htm.
  135. Massachusetts Institute of Technology. (2006). The future of geothermal energy. geothermal.inel.gov/publications/future of geothermal energy.pdf.
  136. McBride, J. P., Moore, R. E., Witherspoon, J. P., and Blanco, R. E. (1978). Radiological impact of airborne effluents of coal and nuclear plants. Science, 202(4372):1045–1050. doi: 10.1126/science. 202.4372.1045.
  137. Meadows, M. (1996). Estimating landfill methane emissions. Energy Conversion and Management, 37(6-8):1099–1104. doi: 10.1016/0196-8904(95)00304-5.
  138. B. Metz, O. Davidson, H. de Coninck, M. Loos, and L. Meyer, editors. (2005). Special Report on Carbon Dioxide Capture and Storage. Cambridge Univ. Press, Cambridge. ISBN 978-0-521-68551-1. www.ipcc.ch/ipccreports/srccs.htm.
  139. Mills, D. R. and Lièvre, P. L. (2004). Competitive solar electricity. www.ausra.com/pdfs/Paper CompetitiveSolar-
  140. Electricity.pdf.
  141. Mills, D. R. and Morgan, R. G. (2008). Solar thermal electricity as the primary replacement for coal and oil in US generation and transportation. www.ausra.com/technology/reports.html.
  142. Mills, D. R. and Morrison, G. L. (2000). Compact Linear Fresnel Reflector solar thermal powerplants. Solar Energy, 68(3):263–283. doi: 10.1016/S0038-092X(99)00068-7.
  143. Mills, D. R., Le Lièvre, P., and Morrison, G. L. (2004). First results from Compact Linear Fresnel Reflector installation. solarheatpower.veritel.com.au/MILLS CLFR ANZSES FINAL.pdf. Mindl, P. (2003). Hybrid drive supercapacitor energy storage calculation. www3.fs.cvut.cz/web/fileadmin/documents/12241-BOZEK/publikace/2003/Supcap6 EDPE.pdf.
  144. Mollison, D. (1986). Wave climate and the wave power resource. In D. Evans and A. de O. Falcao, editors, Hydrodynamic of Ocean Wave-Energy Utilization, pages 133–156, Berlin. Springer. www.ma.hw.ac.uk/∼denis/wave.html.
  145. Mollison, D. (1991). The UK wave power resource. In Wave Energy (Institution of Mechanical Engineers –Seminar), pages 1–6. John Wiley Sons. www.ma.hw.ac.uk/∼denis/wave.html.
  146. Mollison, D., Buneman, O. P., and Salter, S. H. (1976). Wave power availability in the NE Atlantic. Nature, 263(5574):223–226. www.ma.hw.ac.uk/∼denis/wave.html.
  147. Monteith, J. L. (1977). Climate and the efficiency of crop production in Britain. Philos. Trans. R. Soc. London, 281:277–294.
  148. National Bureau of Economic Research. (2001). NBER macrohistory database. www.nber.org/databases/macrohistory/contents/.
  149. Neftel, A., Friedli, H., Moor, E., Ltscher, H., Oeschger, H., Siegenthaler, U., and Stauffer, B. (1994). Historical
  150. CO2 record from the Siple station ice core. In Trends: A Compendium of Data on Global Change. Carbon Dioxide Information Analysis Center, Oak Ridge National Laboratory, US Dept. of Energy, Oak Ridge, Tenn.,USA. cdiac.ornl.gov/trends/co2/siple.htm.
  151. Netherlands Environmental Assessment Agency. (2006). History database of the global environment. www.mnp.nl/hyde/.
  152. Nickol, C. L. (2008). Silent Aircraft Initiative concept risk assessment. ntrs.nasa.gov/archive/nasa/casi.ntrs.nasa.gov/ 20080012497 2008011089.pdf.
  153. Norrström, H. (1980). Low waste technology in pulp and paper industries. Pure Appl. Chem., 52:1999–2004. www.iupac.org/publications/pac/1980/pdf/5208x1999.pdf.
  154. Nuttall, W. J. (2004). Nuclear Renaissance. Institute of Physics Publishing.
  155. OECD Nuclear Energy Agency. (2006). Forty Years of Uranium Resources, Production and Demand in perspective. OECD Publishing. ISBN 9264028064. books.google.com/books?id=HIT1o985uKYC.
  156. Ongena, J. and Van Oost, G. (2006). Energy for future centuries. Will fusion be an inexhaustible, safe and clean energy source? www.fusie-energie.nl/artikelen/ongena.pdf.
  157. Oswald, J., Raine, M., and Ashraf-Ball, H. (2008). Will British weather provide reliable electricity? Energy Policy, in press. doi:10.1016/j.enpol.2008.04.03.
  158. Price, R. and Blaise, J. (2002). Nuclear fuel resources: Enough to last? www.ingentaconnect.com/content/oecd/16059581/2002/0
  159. Putt, R. (2007). Algae as a biodiesel feedstock: A feasibility assessment. www.eere.energy.gov/afdc/pdfs/algae.pdf.
  160. Quayle, R. G. and Changery, M. J. (1981). Estimates of coastal deepwater wave energy potential for the world. Oceans, 13:903–907.ieeexplore.ieee.org/iel6/8271/25889/01151590.pdf.
  161. Rice, T. and Owen, P. (1999). Decommissioning the Brent Spar. Taylor and Francis.
  162. Richards, B. S. and Watt, M. E. (2007). Permanently dispelling a myth of photovoltaics via the adoption of a new net energy indicator. Renewable and Sustainable Energy Reviews, 11(1):162172. www.sciencedirect.com/science/journal/13640321.
  163. Richards, H. G., Parker, R. H., Green, A. S. P., Jones, R. H., Nicholls, J. D. M., Nicol, D. A. C., Randall, M. M., Richards, S., Stewart, R. C., and Willis-Richards, J. (1994). The performance and characteristics of the experimental hot dry rock geothermal reservoir at Rosemanowes, Cornwall (1985-1988). Geothermics, 23(2):73–109. ISSN 0375-6505.
  164. Ridley, T. M. and Catling, D. T. (1982). The energy implications of the design of mass transit railways. Presented at Tunnelling ’82 (Third International Symposium), Brighton.
  165. Rogner, H.-H. (2000). Energy resources. In World Energy Assessment –Energy and the challenge of sustainability, chapter Planes. UNDP, New York, USA. www.undp.org/energy/activities/wea/draft-start.html.
  166. Ross, A. (2008). The Loch Sloy hydro-electric scheme 1950. www.arrocharheritage.com/LochSloyHydroElectricScheme.htm.
  167. Royal Commission on Environmental Pollution. (2004). Biomass as a renewable energy source. www.rcep.org.uk.
  168. Royal Society working group on biofuels. (2008). Sustainable biofuels: prospects and challenges. royalsociety.org. Policy document 01/08.
  169. Rubbia, C., Rubio, J., Buono, S., Carminati, F., Fiétier, N., Galvez, J., Gelès, C., Kadi, Y., Klapisch, R., Mandrillon, P., Revol, J., and Roche, C. (1995). Conceptual design of a fast neutron operated high power energy amplifier. Technical Report CERN/AT/95-44 (ET), European Organization for Nuclear Research. doc.cern.ch//archive/electronic/oth cer-0210391.pdf.
  170. Ruddell, A. (2003). Investigation on storage technologies for intermittent renewable energies: Evaluation and recommended r&d strategy. www.itpower.co.uk/investire/pdfs/flywheelrep.pdf.
  171. Rydh, C. J. and Karlström, M. (2002). Life cycle inventory of recycling portable nickel-cadmium batteries. Resources, Conservation and Recycling, 34:289–309. homepage.te.hik.se/personal/tryca/battery/abstracts.htm.
  172. Salter, S. H. (2005). Possible under-estimation of the UK tidal resource. www.berr.gov.uk/files/file31313.pdf. Submission for DTI Energy Review.
  173. Schellnhuber, H. J., Cramer, W., Nakicenovic, N., Wigley, T., and Yohe, G. (2006). Avoiding Dangerous Climate Change. Cambridge Univ. Press. www.defra.gov.uk/environment/climatechange/internat/pdf/avoid-dangercc.pdf.
  174. Schiermeier, Q., Tollefson, J., Scully, T., Witze, A., and Morton, O. (2008). Energy alternatives: Electricity without carbon. Nature, 454:816–823. doi: 10.1038/454816a.
  175. Schlaich, J., Bergermann, R., W, S., and G, W. (2005). Design of commercial solar updraft tower systems –utilization of solar induced convective flows for power generation. Journal of Solar Energy Engineering, 127(1):117–124. doi: 10.1115/1.1823493. www.sbp.de/de/html/contact/download/The Solar Updraft.pdf.
  176. Schlaich J, S. W. Solar Chimneys. Academic Press, London, 3rd edition, (2001). ISBN 0-12-227410-5. \protect\T1\ textbraceleftwww.solarmillennium.de/pdf/SolarCh.pdf}. www.solarmillennium.de/pdf/SolarCh.pdf.
  177. Schmer, M. R., Vogel, K. P., Mitchell, R. B., and Perrin, R. K. (2008). Net energy of cellulosic ethanol from switchgrass. PNAS, 105(2):464–469. doi: 10.1073/pnas.0704767105. www.pnas.org/cgi/content/full/105/2/464.
  178. Schuiling, R. and Krijgsman, P. (2006). Enhanced weathering; an effective and cheap tool to sequesterCO2. Climatic Change, 74(1-3): 349–354.
  179. S. I. Schwartz, editor. (1998). Atomic Audit: Costs and Consequences of US Nuclear Weapons Since 1940. Brookings Institution Press, Washington, D.C. www.brook.edu/fp/projects/nucwcost/schwartz.htm.
  180. Seko, N., Katakai, A., Hasegawa, S., Tamada, M., Kasai, N., Takeda, H., Sugo, T., and Saito, K. (2003). Aquaculture of uranium in seawater by a fabric-adsorbent submerged system. Nuclear Technology, 144(2):274–278.
  181. Shapouri, H., Duffield, J. A., and Graboski, M. S. (1995). Estimating the net energy balance of corn ethanol. www.ethanol-gec.org/corn eth.htm. United States Dept. of Agriculture Agricultural Economic Report Number 721.
  182. Sharman, H. (2005). Why wind power works for Denmark. Proc. ICE Civil Engineering, 158:6672. incoteco.com/upload/CIEN.1
  183. Shaw, T. L. and Watson, M. J. (2003a). The effects of pumping on the energy potential of a tidal power barrage. Engineering Sustainability, 156(2):111–117. ISSN 1478-4637. doi: 10.1680/ensu.156.2.111.37018.
  184. Shaw, T. L. and Watson, M. J. (2006). Flexible power generation from a Severn barrage. www.dti.gov.uk/files/file31332.pdf.
  185. Shaw, T. L. and Watson, M. J. (2003b). Flexible power generation from the tides. Engineering Sustainability, 156(2):119–123. ISSN 1478-4629.
  186. Shepherd, D. W. (2003). Energy Studies. Imperial College Press.
  187. Shockley, W. and Queisser, H. J. (1961). Detailed balance limit of efficiency of p–n junction solar cells. Journal of Applied Physics, 32 (3):510–519.
  188. Shyy, W., Berg, M., and Ljungqvist, D. (1999). Flapping and flexible wings for biological and micro air vehicles. Progress in Aerospace Sciences, 35(5):455–505.
  189. Siegenthaler, U.,Monnin, E., Kawamura, K., Spahni, R., Schwander, J., Stauffer, B., Stocker, T., Barnola, J.-M., and Fischer, H. (2005). Supporting evidence from the EPICA Dronning Maud Land ice core for atmospheric CO2 changes during the past millennium. Tellus B, 57(1):51–57. doi: 10.1111/j. 1600-0889.2005.00131.x. ftp://ftp.nc dc.noaa.gov/pub/data/paleo/icecore/antarctica/maud/edml-co2-2005.xls.
  190. Sims, R., Schock, R., Adegbululgbe, A., Fenhann, J., Konstantinaviciute, I., Moomaw, W., Nimir, H., Schlamadinger, B., Torres-Martnez, J., Turner, C., Uchiyama, Y., Vuori, S., Wamukonya, N., and Zhang, X. (2007). Energy supply. In B. Metz, O. Davidson, P. Bosch, R. Dave, , and L. Meyer, editors, Climate Change 2007: Mitigation. Contribution of Working Group III to the Fourth Assessment Report of the Intergovernmental Panel on Climate Change. Cambridge Univ. Press, Cambridge. www.ipcc.ch/pdf/assessment-report/ar4/wg3/ar4-wg3chapterWind.pdf.
  191. Sinden, G. (2005). Variability of UK marine resources. Technical report, Oxford. www.carbontrust.co.uk/NR/rdonlyres/EC29306 611D-4BC8-A75C-9F84138184D3/0/variability_uk_marine_energy_resources.pdf.
  192. Sleath, J. F. A. (1984). Sea bed mechanics. Wiley, New York. ISBN 047189091X.
  193. Socolow, R. (2006). Stabilization wedges: An elaboration of the concept. In H. J. Schellnhuber, W. Cramer, N. Nakicenovic, T. Wigley, and G. Yohe, editors, Avoiding Dangerous Climate Change. Cambridge Univ. Press.
  194. Steinberg, M. and Dang, V. (1975). Preliminary design and analysis of a process for the extraction of lithium from seawater. Technical Report 20535-R, Brookhaven National Lab., Upton, N.Y. (USA). www.osti.gov/energycitations/product.biblio id=7351225. Presented at Symposium on United States lithium resources and requirements by the year 2000; 22 Jan 1976; Lakewood, CO, USA.
  195. Stern, N. (2007). The Economics of Climate Change. Cambridge Univ. Press, Cambridge.
  196. Subcommittee on Poultry Nutrition, National Research Council. (1994). Nutrient Requirements of Poultry. National Academy Press, Washington, ninth revised edition edition. www.nap.edu/openbook.php?isbn=0309048923.
  197. Supple, B. (1987). The history of the British coal industry. Vol. 4, 1913–1946: the political economy of decline. Clarendon, Oxford. ISBN 019828294X.
  198. Taylor, G. I. (1920). Tidal friction in the Irish Sea. R. Soc. Lond. Ser. A, 220:1–33. doi: 10.1098/rsta.1920.0001.
  199. Taylor, G. K. (2002a). Are you missing the boat? the ekranoplan in the 21st century –its possibilities and limitations. www.hypercraftassociates.com/areyoumissingtheboat2002.pdf. Presented at the 18th Fast Ferry Conf., Nice, France.
  200. Taylor, S. J. (2002b). The Severn barrage –definition study for a new appraisal of the project. www.dti.gov.uk/files/file15363.pdf. ETSU REPORT NO. T/09/00212/00/REP.
  201. Tennekes, H. (1997). The Simple Science of Flight. MIT Press.
  202. Thakur, P. C., Little, H. G., and Karis, W. G. (1996). Global coalbed methane recovery and use. Energy Conversion and Management, 37 (6/8):789–794.
  203. The Earthworks Group. (1989). 50 Simple things you can do to save the earth. The Earthworks Press, Berkeley, California. ISBN 0-929634-06-3.
  204. Treloar, G. J., Love, P. E. D., and Crawford, R. H. (2004). Hybrid life-cycle inventory for road construction and use. J. Constr. Engrg.and Mgmt., 130(1):43–49.
  205. Trieb, F. and Knies, G. (2004). A renewable energy and development partnership EU-ME-NA for large scale solar thermal power and desalination in the Middle East and in North Africa. www.gezen.nl/wordpress/wp-content/uploads/2006/09/san paper-and-annex_15-04-2004.pdf.
  206. Tsuruta, T. (2005). Removal and recovery of lithium using various microorganisms. Journal of Bioscience and Bioengineering, 100(5):562–566. www.jstage.jst.go.jp/article/jbb/100/5/100 562/article.
  207. Turkenburg, W. C. (2000). Renewable energy technologies. In World Energy Assessment –Energy and the challenge of sustainability, chapter Heating and cooling. UNDP, New York, USA. www.undp.org/energy/activities/wea/draftstart.html.
  208. Ucuncu, A. (1993). Energy recovery from mixed paper waste. Technical report, NC, USA. www.p2pays.org/ref/11/10059.pdf.
  209. Van den Berg, G. (2004). Effects of the wind profile at night on wind turbine sound. Journal of Sound and Vibration, 277:955–970. www.nowap.co.uk/docs/windnoise.pdf.
  210. Van Voorthuysen, E. d. M. (2008). Two scenarios for a solar world economy. Int. J. Global Environmental Issues, 8(3):233247.
  211. Ventour, L. (2008). The food we waste. news.bbc.co.uk/1/shared/bsp/hi/pdfs/foodwewaste_fullreport08_05_08.pdf.
  212. Warwick HRI. (2007). Direct energy use in agriculture: opportunities for reducing fossil fuel inputs. www2.warwick.ac.uk/fac/sci energy use in agriculture.pdf.
  213. Water UK. (2006). Towards sustainability 2005–2006. www.water.org.uk/home/policy/reports/sustainability/indicators2005-06/towards-sustainability-2005-2006.pdf.
  214. Watson, J., Hertin, J., Randall, T., and Gough, C. (2002). Renewable energy and combined heat and power resources in the UK. Technical report. www.tyndall.ac.uk/publications/working papers/wp22.pdf. Working Paper 22.
  215. Wavegen. (2002). Islay Limpet project monitoring –final report. www.wavegen.co.uk/pdf/art.1707.pdf.
  216. Weber, C. L. and Matthews, H. S. (2008). Food-miles and the relative climate impacts of food choices in the United States. Environ. Sci. Technol., 42(10):3508–3513. doi: 10.1021/es702969f.
  217. Weightman, M. (2007). Report of the investigation into the leak of dissolver product liquor at the Thermal Oxide Reprocessing Plant (THORP), Sellafield, notified to HSE on 20 April 2005. www.hse.gov.uk/nuclear/thorpreport.pdf.
  218. Wiedmann, T., Wood, R., Lenzen, M., Minx, J., Guan, D., and Barrett, J. (2008). Development of an embedded carbon emissions indicator producing a time series of input-output tables and embedded carbon dioxide emissions for the UK by using a MRIO data optimisation system. randd.defra.gov.uk/Document.aspx?Document= EV02033 7331 FRP.pdf.
  219. Williams, D. and Baverstock, K. (2006). Chernobyl and the future: Too soon for a final diagnosis. Nature, 440:993–994. doi:10.1038/440993a.
  220. Williams, E. (2004). Energy intensity of computer manufacturing: hybrid assessment combining process and economic input-output methods. Environ Sci Technol, 38(22):6166–6174. ISSN 0013-936X. \protect\T1\textbraceleftwww.ncbi.nlm. cmd=Retrievedb=pubmeddopt=Abstractlist uids=15573621}.
  221. Williams, R. H. (2000). Advanced energy supply technologies. In World Energy Assessment –Energy and the challenge of sustainability, chapter Hydroelectricity. UNDP, New York, USA. www.undp.org/energy/activities/wea/draftstart.html.
  222. Wilson, E. M. and Balls, M. (1990). Tidal power generation. In P. Novak, editor, Developments in Hydraulic Engineering, chapter The balance sheet. Taylor Francis. ISBN 185166095X.
  223. Wood, B. (1985). Economic district heating from existing turbines. Institution of Civil Engineers Proc. pt. 1, 77:27–48.
  224. Yaros, B. (1997). Life-cycle thinking for wood and paper products. In E. Ellwood, J. Antle, G. Eyring, and P. Schulze, editors, Wood in Our Future: The Role of Life-Cycle Analysis: Proc. a Symposium.
  225. Zaleski, C. P. (2005). The future of nuclear power in France, the EU and the world for the next quarter-century. www.npec-web.org/Essays/Essay050120Zalenski-FutureofNuclearPower.pdf. tinyurl.com/32louu.
  226. Zhu, X.-G., Long, S. P., and Ort, D. R. (2008). What is the maximum efficiency with which photosynthesis can convert solar energy into biomass? Current Opinion in Biotechnology, 19:153159.

Sustainable Energy –without the hot air

David JC MacKay

About the author

David J. C. MacKay

David MacKay is a Professor in the Department of Physics at the University of Cambridge. He studied Natural Sciences at Cambridge and then obtained his PhD in Computation and Neural Systems at the California Institute of Technology. He returned to Cambridge as a Royal Society research fellow at Darwin College. He is internationally known for his research in machine learning, information theory, and communication systems, including the invention of Dasher, a software interface that enables efficient communication in any language with any muscle. He has taught Physics in Cambridge since 1995. Since 2005, he has devoted much of his time to public teaching about energy. He is a member of the World Economic Forum Global Agenda Council on Climate Change.