Kalev Tarkpea, Indrek Peil Füüsikalise looduskäsitluse alused
 
© Eesti Füüsika Selts

Füüsikalise looduskäsitluse alused

  1. Saatesõna
    1. Saatesõna
  2. 1 Sissejuhatus füüsikasse
    1. Sissejuhatus füüsikasse
    2. 1.1 Maailm, loodus ja füüsika
    3. 1.2 Vaatleja kujutlused ja füüsika
    4. 1.3 Nähtavushorisondid ja füüsika
    5. Kokkuvõte
  3. 2 Füüsika uurimismeetod
    1. Füüsika uurimismeetod
    2. 2.1 Loodusteaduslik meetod ja mõõtmised
    3. 2.2 Mõõtmised ja mõõteseadused
    4. 2.3 Rahvusvaheline mõõtühikute süsteem (SI)
    5. 2.4 Mõõtmise täpsus
    6. 2.5 Füüsikalised mudelid
    7. Kokkuvõte
  4. 3 Füüsika üldmudelid
    1. Füüsika üldmudelid
    2. 3.1 Füüsikalised objektid ja suurused
    3. 3.2 Pikkus, kiirus ja aeg
    4. 3.3 Liikumise üldmudelid
    5. 3.4 Aine ja väli
    6. 3.5 Kehade liikumisoleku muutumine
    7. 3.6 Võimsus ja kasutegur
  5. 4 Füüsika üldprintsiibid
    1. Füüsika üldprintsiibid
    2. 4.1 Põhjuslikkus ja juhuslikkus
    3. 4.2 Printsiibid füüsikas ja atomistika
    4. 4.3 Teised füüsikalised printsiibid
    5. 4.4 Absoluutkiiruse printsiip
    6. 4.5 Terviklik kaasaegne füüsikaline maailmapilt
Saatesõna

See õpik on koostatud vastavalt 2010.a. kehtima hakanud riiklikule õppekavale. Tänaseks on õppekava muutunud ja FLA osa selles vähenes oluliselt.  Uuele õppekavale vastav õpik on siit keskkonnast leitav. Käesolev õpik on jätkuvalt sobiv neile, kes otsivad põhjalikumat käsitlust. 

Impressum

Autorid: Indrek Peil, Kalev Tarkpea
Keeletoimetajad: Maarja Valk, Sven Saun
Toimetajad: Kaido Reivelt, Uku Pütsepp
Arvutigraafika: Nils Austa
Kasse joonistab Urmas Nemvalts

Sissejuhatus füüsikasse

Enamik kaasaja teaduste juuri ulatub kaugesse antiikaega. Ka füüsika on alguse saanud Vana- Kreeka fi losoofi de töödest. Sõna füüsika tuleb kreekakeelsest sõnast φυσικός [fi sikos], mis tähendab looduslikku või loomulikku. Nimetus viitab, et tegemist on loodusteadusega. Loodusteadusi teame peale füüsika teisigi. Ent mille poolest erineb füüsika keemiast, bioloogiast või geograafi ast? Kuidas on ta nendega seotud? Mis on füüsika põhiolemus? Kuidas me üldse saame oma teadmised loodusest?

Maailm, loodus ja füüsika
Füüsika põhikoolis ja gümnaasiumis
Kuidas panna kokku terviklik maailmapilt?

Õpik, mille äsja üheskoos avasime, eeldab, et selle kasutajal on juba olemas mingi kogemus füüsikaga. Veidi puutusime füüsikaga kokku juba 7. klassi Loodusõpetuse tundides. 8. ja 9. klassis aga läbisime esimese ringi süstemaatilist füüsikaõpet. Saime teada, et füüsika uurib looduse kõige üldisemaid ja põhilisemaid seaduspärasusi. Põhikooli füüsikakursustes alustasime uut teemat reeglina asjakohaste näidetega tavaelust ja tegime suhteliselt lihtsaid katseid. Seejärel püüdsime tulemusi lühidalt kokku võtta, kasutades füüsika keele oskussõnu ehk füüsikaliste nähtuste, suuruste ja nende mõõtühikute nimetusi. Selgus, et füüsikalistel suurustel ja mõõtühikutel on olemas kindlad tähised – vastavate ladinakeelsete sõnade esitähed. Suuruste tähiste abil kirja pandud füüsikalise sisuga lauseid nimetati füüsika valemiteks. Neid tuli kasutada füüsikaliste arvutusülesannete lahendamisel. 

Põhikooli füüsikaõppes saadi uus laiema kehtivusalaga teadmine üksikute kitsama kehtivusalaga teadmiste üldistamise teel. Järeldusi tehti tavaelust tuntud näidete ja õpetaja poolt teostatud lihtsate demokatsete põhjal. Need järeldused ei saanud olla väga üldise kehtivusega. Seda, et mingi üldistus kehtib kogu looduses, tuli enamasti lihtsalt uskuda. Põhikooli füüsikaõppe sihiks oli anda õpilastele tavaelus toimetulemiseks vajalikke teadmisi ja oskusi. Seejuures vaadeldi ühekaupa füüsikalise looduskäsitluse üksikuid, suurema praktilise väärtusega osi (liikumisõpetus, valgusõpetus, elektri­õpetus, soojusõpetus) ning ei seatud veel eesmärgiks neist tervikpildi kujundamist.

Kuidas seda kõike paari lausega kokku võtta?

Gümnaasiumi füüsikaõpe aga ei saa selliste eesmärkidega piirduda. Gümnaasium valmistab noori ette õpinguteks kõrgkoolis. Gümnaasiumi lõpetajalt oodatakse juba mingilgi määral tervikliku maailmapildi olemasolu. Eeldatakse tema oskust eristada olulist teavet ebaolulisest ja teaduslikku väidet ebateaduslikust. Temalt oodatakse suutlikkust eraldada meid tänapäeval ümbritsevast infomerest just konkreetse probleemi lahendamiseks vajalikku infot. Seetõttu peavad gümnaasiumi füüsika­kursused andma süsteemse ülevaate kõigest olulisest, mida kaasaegne füüsika looduse kohta üldse väita suudab. Samas pole aga lootust demonstreerida katseliselt kõigi esitatud väidete kehtivust. Vajalikud katsevahendid oleksid veel palju kallimad ja keerukamad kui põhikooli füüsika katsetes. Meil tuleb harjuda sellega, et juba gümnaasiumi esimeses füüsikakursuses formuleeritakse peamised füüsikalised printsiibid, ehk kõige üldisemad tõdemused looduse kohta. Printsiipide tõestamist kohe pärast nende sõnastamist eesmärgiks ei seata. Printsiipide paikapidavust tõestab asjaolu, et loodust vaadeldes me veendume ikka ja jälle nende kehtivuses ning ei näe mitte kusagil erandeid printsiipidest. Füüsika üldprintsiipe vaadeldakse lähemalt käesoleva õpiku 4. peatükis.

Gümnaasiumi füüsikaõppe eripära jätkuval avamisel täheldame, et tegeledes mistahes keeruka ning omavahel seostatud teadmiste süsteemiga, oleme sageli raske küsimuse ees – millest alata? Ühte kindlat loodusnähtust on hea uurida siis, kui teisi sellega seonduvaid nähtusi on juba vaadeldud, vajalikud taustateadmised on olemas. Millestki aga tuleb ometi alustada ning seda tuleb teha suuresti ilma probleemi tausta tundmata. Sellises olukorras võiksime valida ajaloolise lähenemisviisi, korrates vastava loodusteaduse ajaloos reaalselt kasutatud arutluskäike, vaadeldes nähtusi nende tundmaõppimise ajaloolises järjestuses. Kahtlemata on see õpetlik, aga olulise info hulga pideva kasvu tingimustes üha raskemini teostatav. Meil pole aega kaasa mängida kõiki inimtunnetuse ajaloolisi eksisamme. Seetõttu alustame füüsika õppimist gümnaasiumis kohe kokkuvõtliku ülevaatega põhifaktidest, millele tugineb kaasaegne füüsikaline maailmapilt. Need on koondatud käesolevasse esimesse kursusesse Füüsikalise looduskäsitluse alused (edaspidi kasutame lühendit FLA). 

FLA kursuses püüame üheskoos mõista, mis on loodus, millega tegeleb füüsika ja mille poolest eristub füüsika teistest loodusteadustest. Füüsikaliste mõistete sisu üritame kõigepealt avada tavakeele sõnadega. Alles ülejäänud neljas kursuses hakkame süstemaatiliselt kasutama füüsika keelt. FLA kursuse eesmärgiks ei ole õpetada teid füüsikaga tegelema. FLA kursuses püütakse vaid selgitada, miks on hea loodusseadusi tunda ning millist kasu saab ühiskond mõnede oma liikmete füüsika- ja tehnikateadmistest. FLA kursus vaid mõtestab füüsikaga tegelemist. Selleks tegevuseks vajalikke konkreetseid teadmisi ja oskusi pakuvad juba neli ülejäänud füüsikakursust.

Mida öelda siinkohal lõpetuseks? Gümnaasiumi füüsikaõpe on olnud edukas, kui me selle lõpul mõistame, et füüsika ei ole kõigest veidrate sõnade ja märkide süsteem. Vastupidi, füüsika on üks tähtsamaid vahendeid selleks, et end meie maailmas koduselt tunda. Kui füüsikaga ei tegeldaks, siis oskaksid inimesed vaid karta neile tundmatuid loodusjõude. Poleks ka olemas kogu kaasaegset tehnoloogiat ning selle poolt loodud hüvesid. See, et Eestis tegeldakse füüsikaga ja õpetatakse füüsikat, annab Eesti elanikele võimaluse kuuluda nende väga väheste hulka, kes loovad uusi tehnoloogiaid ning kellele ülejäänud osa inimkonnast vastavate hüvede kasutamise eest maksab. 

Inimene, maailm ja maailmapilt
Eksperiment on põhilisi loodusest informatsiooni saamise viise. Milline võiks olla vee ja kokkusurutud õhu mahtude suhe, mis lennutab 1,5 L pudeliraketi kõige kõrgemale?

Juba sünnist peale tutvub inimene mitmesuguste lihtsate asjade ja nähtustega enda ümber. Mõnenädalane laps oskab vaid nutuga märku anda oma külma- või nälja­tundest. Mõnekuune laps aga tegeleb juba aktiivselt selle maailma uurimisega, kuhu ta on sattunud. Laps asub kompama oma keha, lelusid, voodipiiret ja lutipudelit. Ta püüab end pöörates või roomates liikudamuuta oma keha asukohta, asendit või kuju. Laps ei tea veel, et mingis mõttes on ta juba asunud tegelema füüsikaga. Ümbritseva maailma kohta aistinguid saades püüab laps neis sisalduvat infot süstematiseerida ja luua uusi olukordi, saamaks seni veel kogemata aistinguid. Füüsikas nimetatakse sellist tegevust eksperimendiks

Esialgu ei erine väikelapse käitumine kuigivõrd kassipoja või kutsika omast. Mõlemad õpivad oma vigadest. Näiteks puudutades töötava pliidi küttekeha, saavad nii laps kui kassipoeg valuaistingu, mis salvestub mällu ja samalaadse olukorra kordumisel hoiatab taas ohtlikku liigutust tegemast. Bioloogias nimetatakse seda tingrefleksi tekkimiseks. Kui laps õpib rääkima, siis hakkavad temani jõudma vanemate inimeste teadmised ja tekib mõtlemisvõime, mis eelkõige eristab inimlast loomalapsest. Üpris samaaegselt kõnevõimega tekib lapsel mina-tunnetus. 

Kui inimene kasutab iseenda kohta mõistet mina, siis maailma moodustab kõik tema mina piirist väljapoole jääv ehk mitte-mina. Vastavalt omab sõna maailm väga palju tähendusi. Me hakkame edaspidi nimetama maailmaks kõike, mis ümbritseb mistahes konkreetset inimest samamoodi nagu kõiki teisi inimesi. Seega jäävad vaatluse alt välja inimese mõttemaailm, tundemaailm ja muud sellised maailmad. Valdava osa inimeste usk nii määratletud välismaailma objektiivsesse ehk inimesest sõltumatusse olemasolusse põhinebki sellel, et kõik tervete meeleelunditega inimesed saavad nende elundite abil maailma kohta põhijoontes ühesugust infot. Täheldame ka, et rangelt võttes on igal inimesel oma maailm ja kõik teised inimesed on ühe konkreetse inimese maailma osad.

Keskajal ei olnud võimalik meist kaugete objektide kohta infot koguda. Eksperimentideta oletused viivad tihti füüsikast kauge maailmapildi kujunemiseni.

Maailmapildiks on kombeks nimetada teadmiste süsteemi, mille abil inimene tunnetab teda ümbritsevat maailma ja suhestab end sellega. Maailmapilt on kogu süstematiseeritud info, mida inimene maailma kohta omab. Võib rääkida ka suure inimgrupi või inimkonna kui terviku kollektiivsest maailmapildist, mis on kõigi antud gruppi kuuluvate inimeste maailmapiltide koondvariant. Kui soovitakse rõhutada maailmapilti moodustava info saamise ühesuguseid ehk universaalseid füüsikalisi meetodeid, siis kasutatakse sageli maailmaga samas tähenduses mõistet Universum. Pole midagi füüsikaliselt uuritavat, mis jääks väljapoole Universumit.

Kerge on märgata, et Universumis on olemas struktuuritasemed. Ühe kindla struktuuritaseme moodustavad ligikaudu ühesuguste mõõtmetega ja sarnaselt käituvad kehad, näiteks inimest tema igapäevaelus ümbritsevad asjad (tool, laud, kapp, uks jne). Igal struktuuritasemel toimuvaid nähtusi võib seletada just sellel tasemel oluliste seadus­pärasuste abil ja see ei sõltu kuigivõrd teistele tasemetele iseloomulikest nähtustest. Universumi struktuuritasemetega tutvume lähemalt allpool (p.1.1.3). Praegu aga märgime vaid, et maailma kohta kasutatakse sageli ka mõistet loodus

Loodus ja loodusteadused

Sõna loodus ongi maailma see sünonüüm, mis kõige probleemivabamalt sobib füüsikalisse konteksti. Sõnal maailm on ju olemas ka mittefüüsikalised tähendused (mõttemaailm, tundemaailm jne). Loodus (ld natura) on inimest ümbritsev ja inimesest sõltumatult eksisteeriv keskkond. Loodus vastandub selles määratluses inimeste poolt loodud ehk tehiskeskkonnale, aga ka inimesi ümbritse­vale mentaalset ehk vaimset komponenti (kunsti, muusikat, arhitektuuri, kirjandusteoseid jne) sisaldavale kesk­konnale, mida nimetatakse kultuuriks. Veidi ette­ruttavalt olgu veel öeldud, et kui me peaksime kaasaegse füüsikalise looduskäsitluse kokku võtma vaid ühteainsasse lausesse, siis oleks see lause järgmine: Kõik koosneb ainest ja väljast. Aine ja väli on kaks põhimõtteliselt erinevalt käituvat looduse alget. Lähemalt tutvume nende erinevustega käesoleva õpiku kolmandas ja neljandas peatükis. 

Universumis on väga erineva suurusega objekte. See Maast algav pildirida lõpeb Linnutee galaktikaga. Taevakehade kujutised võivad olla samasuured, ent tegelikkuses on Maa Linnuteest ligikaudu 1014 korda väiksem. Oleks Linnutee läbimõõt 100 m, poleks Päikesesüsteem selles suurem kui liivatera.

Nagu juba ülalpool öeldud, esineb looduses tasemeline struktureeritus. Igal kindlal struktuuritasemel toimuvaid nähtusi võib seletada sellel tasemel oluliste seadus­pärasuste abil ja see ei sõltu kuigivõrd teistele struktuuritasemetele iseloomulikest nähtustest. Näiteks seletavad gümnaasiumi Mehaanika kursuses õpitavad Newtoni seadused ja gravitatsiooniseadus väga hästi Päikesesüsteemi komponentide (planeetide, asteroidide, komeetide jne) liikumist. Seejuures pole üldse olulised Elektromagnetismi kursuses uuritavad elektrijõud, mille vahendusel aineosakesed moodustavad kehi. Ammugi pole Päikesesüsteemi toimimise mõistmiseks vaja teada näiteks bioloogias kehtivaid pärilikkuse seadusi. Erinevad loodusteadused tegelevad looduse erinevate struktuuritasemetega.

Tabelis 1.1 on esitatud looduse struktuuritasemete skeem, mille vasakpoolses ääres suureneb alt üles uuritava loodusobjekti iseloomulik ehk karakteristlik mõõde (pikkus või laius), skeemi keskosas on aga toodud näiteid tüüpilisest vaadeldavast objektist. Mõõtmete skaalal on igal ülemisel real paiknevad objektid vastava alumise rea objektidest ligikaudu kümme korda pikemad-laiemad. Kui tegemist on mitte enam järgmise, vaid juba ülejärgmise reaga, siis on mõõtmete erinevus juba sajakordne. Nii on näiteks laps ligikaudu 10 korda pikem meriseast, merisiga aga omakorda 100 korda pikem algloomast (ca 1 mm pikkusest amööbist või vetikast). Kolmandas veerus on märgitud vaadeldava struktuuritasemega kõige rohkem tegelev loodusteadus: füüsika, geograafia, bioloogia või keemia. Mõistagi on see kõige rohkem üpris tinglik, sest näiteks keemia ning bioloogia piirmiste harude uurimisobjektide mõõde (1 – 100 nm) on ligikaudu ühesugune. Seega on erinevate loodusteaduste tegevusväljad üpris suures kattumises. Näiteks mingi uurimistöö liigitumine kas bioloogiaks või keemiaks sõltub eelkõige sellest, kas kasutatakse bioloogia või keemia teaduskeelt (mõistetesüsteemi). Skeem pakub meile ka hea võimaluse õppida või korrata mõõtühikute eesliidete süsteemi (kilo-, mega-, giga- jne). 

Loodusteaduslik meetod, lennuoskuse võtmes.Loodusteaduslikust meetodist räägitakse palju ja väga erinevates kursustest. Kas oskad selle meetodi olemust seletada ka alljärgneva pildirea näitel? [@[312

Loodusteadused on koondnimetus kõigile teadustele, mis annavad loodusnähtustele teaduslikke kirjeldusi ja seletusi ning ennustavad pädevalt uusi loodusnähtusi. Sõna teaduslik viitab meie poolt juba põhikoolis õpitud loodusteadusliku meetodi järjekindlale kasutamisele. Selle kohaselt esmase vaatluse (andmete kogumise) järel püstitatakse hüpotees (oletus, kuidas asi võiks olla), seejärel korraldatakse hüpoteesi kontrollimiseks eksperiment (või sihipärane vaatlus), viiakse läbi andmetöötlus ja lõpuks tehakse järeldus hüpoteesi kehtivuse või mittekehtivuse kohta. Loodusteadus­likust meetodist tuleb lähemalt juttu edaspidi (p.1.2). 

Loodusnähtuse kirjeldus annab omavahelises loogilises seoses ning sobivat terminoloogiat kasutades edasi antud nähtusele iseloomulikke jooni (vastab küsimusele kuidas?). Loodusnähtuse seletus annab edasi selle nähtuse tulenemise üldisemast või sügavamal struktuuritasemel kehtivast seaduspärasusest (vastab küsimusele miks?, asetab selle nähtuse oma kohale). Seletus on enamasti viide põhjuslikule seosele. Miks-küsimuste ahelad lõpevad füüsikas reeglina printsiipidega, sest printsiipe me ei oska enam seletada. Me nendime, et loodus lihtsalt on selline. Loodusnähtuse ennustamine on väide selle nähtuse toimumise kohta tulevikus ja/või mingis teises kohas. Pädevaks nimetame ennustust, mis täitub (ennustatud nähtus toimubki). Loodusteadusliku ennustamise aluseks on põhjuslike seoste tunnetamine. Loodusteaduste ja põhjuslikkuse seostest tuleb lähemalt juttu käesoleva õpiku 4. peatükis.

Looduse erinevad struktuuritasemed ei ole üksteisest täiesti sõltumatud. Tallinnas asuva Keemilise ja Bioloogilise Füüsika Instituudi nimes ja tegevustes saavad kokku koguni kolm loodusteadust.

Teeme nüüd kiire ülevaate neist loodusteadustest, mida koolis õpitakse omaette ainena. See tähendab astronoomia ja kosmoloogia vaatlemist osana füüsikast, geoloogia pidamist üheks osaks geograafiast ning inimeseõpetuse ja ökoloogia käsitlemist osana bioloogiast. Geograafia on loodusteadus, mis uurib Maa pinda ja sellel toimuvaid protsesse. Geograafiat huvitavates loodusnähtustes osalevad objektid karakteristliku mõõtmega 1 m (inimene) kuni 1000 km (maailmajaod). Bioloogia on loodusteadus, mis käsitleb elusas looduses kehtivaid seaduspärasusi. Bioloogia tegevusvaldkond looduse struktuuritasemete skeemil ulatub bioloogilist infot kandvatest molekulidest (DNA) kuni looma- ja taimekooslusteni välja. Skeemil on valitud bioloogia uurimisobjekti mõõtmete tinglikuks vahemikuks 1 mm kuni 10 m, ehkki ökosüsteemid võivad osutuda veel palju suuremateks. Keemia on loodusteadus, mis uurib ainete omavahelisi muundumisi ja sidet aine aatomite vahel. Keemia tinglik spetsiifiline tegevusala struktuuritasemete skeemil ulatub aatomi läbimõõdust (0,1 nm) kuni suure molekuli mõõtmeni (100 nm).

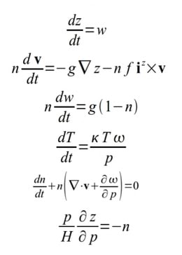
Füüsika kui eriline loodusteadus

Füüsikat eristab teistest loodusteadustest kõige ulatuslikum matemaatiliste meetodite rakendumine. Pildil on adiabaatiline täielik mittehüdrostaatiline hüdrodünaamika võrrandite süsteem rõhukoordinaatides. Selle süsteemi mõnedel

Mõistagi oli kõik eelnev käesoleva õpiku kontekstis vaid taust füüsika kui loodus­teaduse määratlemisele. Füüsika on loodusteadus, mis uurib looduse põhivormide liikumist ja looduses esinevaid vastastikmõjusid. Füüsika opereerib kõigil looduse struktuuritasemetel, alates alusosakestest kuni Universumini tervikuna, kuid delegeerib probleemi sageli mõnele teisele loodusteadusele, mille uurimismeetodid on antud tasemel sobivamad. Kõik loodusteadused püüavad tänapäeval üha rohkem muutuda täppisteadusteks, opereerides eelistatult arvuliste andmetega ning kasutades andmete töötlemisel ja oma mudelite kirjeldamisel matemaatikat. Kõige rohkem on see seni õnnestunud füüsikal. Seepärast pole liialdus öelda, et füüsika uurib looduse põhivorme (ainet ja välja) täppisteaduslike meetoditega. Loodusteaduste vajadus matemaatika järele on erinev, suurenedes liikumisel geograafia ning bioloogia juurest üle keemia kuni füüsikani. Füüsikat eristab teistest loodusteadustest kõigepealt matemaatiliste meetodite kõige ulatuslikum rakendamine

Füüsika üks eesmärke on luua loodusest kõige üldisemaid mudeleid. Pildil on Maa, Kuu, Merkuuri ja Päikse planetaarmudel, mis annab edasi olulisema informatsiooni nimetatud planeetide liikumise kohta.

Füüsika käsitleb füüsikalisi objekte. Üldiselt on objekt see ese, nähtus või kujutlus, millega meie (inimesed kui subjektid) – parajasti tegeleme. Füüsikalisteks objektideks on eelkõige esemed (füüsikas öeldakse – kehad) ja kõige üldisemad looduse nähtused (sulamine, aurustumine, laetud kehade tõmbumine või tõukumine jne). Kehade vastastikmõjusid (tõmbumist või tõukumist) vahendavad väljad on siis mõistagi ka füüsikalisteks objektideks. Tuntuimateks näideteks väljade kohta on elektriväli ja magnetväli, millega oleme põhikoolis juba natuke tutvunud. 

Laiemas tähenduses võib füüsikalisteks objektideks nimetada ka loodust uuriva inimese (vaatleja) välja mõeldud objekte, niivõrd kui need kontrollitavalt suhestuvad looduses reaalselt eksisteerivate objektidega. Selles mõttes on füüsikalisteks objektideks näiteks füüsikateooriates esinevad hüpoteetilised osakesed, mille olemasolu pole veel täielikku katselist kinnitust leidnud.

Füüsikaliste objektide lihtsustatud mudeleid leiab näiteks arvutisimulatsioonides. Selles simulatsioonis jäetakse arvestamata terve hulk viskekeha liikumist mõjutavaid faktoreid.

Füüsika kujundab füüsikaliste objektide kõige üldisemaid mudeleid, mida laialdaselt kasutavad ka teised loodusteadused. Loodus on väga mitmekesine, mistõttu uuritava objekti kõigi omaduste samaaegne arvestamine on üldjuhul võimatu ja sageli ka mitte­vajalik. Füüsikaline mudel rõhutab loodusobjekti neid omadusi, mis on antud kontekstis olulised.

Füüsika kui loodusteaduse olemust õigesti mõistes tuleb arvestada, et füüsika kooliülesanne on arutlus ülesande koostaja poolt ette antud mudeli raames ja mudeli täpsustamisel muutub ka ülesande vastus. Kui me näiteks uurime kahuri laskekaugust, siis on kasutatava mudeli kõige tähtsamaks tingimuseks kiirus, millega mürsk kahuritorust välja lendab. Kindlasti tuleb kõigis vähegi töötavates kahurilasu füüsikalistes mudelites arvestada ka mürsule lennu ajal mõjuvat raskusjõudu. Mürsule õhu poolt mõjuv takistusjõud aga jäetakse kooliülesandes tavaliselt arvestamata. Niisiis pole füüsikaline mudel enamasti mitte tegelikkuse vähendatud koopia, nagu seda näiteks on laeva-, lennuki- või automudel. Tegelikkust vähendavatest ja suurendavatest füüsikalistest mudelitest tuleb juttu allpool (p.2.5.1). 

Nagu juba öeldud (p.1.1.1), kasutab füüsika erilist keelt, milles esinevad väga kindla tähendusega sõnad ning märgid – füüsikalised suurused, nende mõõtühikud ja nii suuruste kui mõõtühikute tähised. Väga oluline on mõista, et me õpime füüsikaliste suuruste definitsioone lähtuvalt soovist väljendada oma mõtteid lühidalt. Kui me ei kasutaks füüsikalisi suurusi, siis peaksime uuritavat olukorda väga paljusõnaliselt kirjeldama. Sisuliselt tähendaks see füüsikaliste suuruste määratluste paljukordset väsitavat ümberjutustamist. Näiteks kui me oleme põhikoolis hästi ära õppinud rõhu mõiste, siis on meie jaoks kohe arusaadav lause Vedeliku rõhk anuma põhjale on 3000 paskalit. Rõhu mõiste kasutamist vältides peaksime sedasama mõtet väljendama lausega Anuma põhja pindala igale ruutmeetrile mõjub põhja pinnaga ristuvas suunas jõud 3000 njuutonit. See lause on eelmisest palju pikem ning füüsikalisi suurusi ja ühikuid mitte tundva inimese jaoks üldse mitte selgem, sest oluliselt on suurenenud tundmatute sõnade arv (pindala, ruutmeeter, jõud, njuuton). Füüsikalised suurused ja mõõtühikud moodustavad süsteemi, milles mõned suurused ja ühikud on valitud vastavalt põhisuurusteks ja põhiühikuteks. Olles aru saanud füüsikaliste põhisuuruste olemusest, võime nendest lähtudes rangelt tuletada kõik teised suurused. Nii tekivad omalaadsed suuruste või ühikute „puud“, mida me edaspidi (p.2.3.4) uurime lähemalt.

Sümbolpimedus või lihtsalt hea nali?

Füüsikaliste suuruste omavahelise seose kohta kehtivaid lauseid, mis on kirja pandud tähiste abil, tunneme füüsika valemitena. Valemite kasutamine võimaldab meil oma mõtteid veelgi lühemalt kirja panna. Nii on kogu eelmises lõigus toodud näide kompaktselt esitatav rõhu definitsioonivalemina 

mis aga on arusaadav vaid inimesele, kes tunneb kasutatud füüsikalisi suurusi ja nende tähiseid. Pahatihti taandatakse füüsika tundmine valemite päheõppimisele ja nende rakendamise oskusele. See oskus on aga üpris väärtusetu, kui puudub sügavam teadmine füüsikaliste suuruste olemuse ja valemite mõtte kohta. Valemite mõtet mitte mõistev inimene lahendab füüsika ülesannet nagu ristsõnamõistatust. 

Kas kass, kes kaalub 15kg võib sellise veidra liiklusmärgiga sillast üle minna?

Igaüks, kes on piisavalt palju lahendanud ühe ja sellesama autori ristsõnu, teab hästi, et neis ristsõnades esinevad mõisted korduvad, sest ka autori teadmistel on piir. Kui näiteks ristsõnas esineb küsimus Maakitsus Tais – 3 tähte, siis piisavalt palju ristsõnu lahendanud inimene lihtsalt teab, et sinna tuleb kirjutada tähed KRA. Ta kirjutab need tähed ja lahendab ristsõna edukalt – absoluutselt teadmata, et Tai on riik Kagu-Aasias, ning teadmata, mis asi on maakitsus. Lahendaja on küll mehaaniliselt ära õppinud seose Maakitsus Tais – Kra, kuid ta pole mõistnud seose mõtet. Tähekombinatsioon Kra on tema jaoks pime sümbol ehk sümbol, mille tähendust ta ei tea. Nii on ka ülalpool toodud kolmetäheline kombinatsioon ehk füüsika valem p = F / S, pime sümbol inimese jaoks, kes ei tea, mida näitavad rõhk, jõud ja pindala. Olles valemid mehaaniliselt pähe õppinud, võib inimene küll füüsika ülesande formaalselt edukalt lahendada, asendades valemis tähed arvudega ning seejärel korrutades või jagades, kuid sellisest oskusest on reaalelus vähe kasu. Nii ongi gümnaasiumi füüsika ainekavas nüüdseks loobutud valemite peast teadmise nõudest. Gümnasist peab vaid suutma sobiva valemi teiste hulgast ära tunda.

Rõhutagem, et füüsikalised suurused ning nende mõõt-ühikud on samuti looduse mudelid. Kui me näiteks mõõdame koolilaua pikkust, siis ei huvita meid parajasti laua laius või kõrgus, rääkimata lauapinna värvusest või materjalist. Nii saame looduse ühe lihtsaima mudelina füüsikalise suuruse nimega pikkus, aga põhimõtteliselt samamoodi ka teised füüsikalised suurused. Niisiis erineb füüsika teistest loodusteadustest selle poolest, et ta annab neile füüsikaliste suuruste näol kasutada looduse kõige üldisemad mudelid. Vastupidist me eriti ei tähelda, sest teiste loodusteaduste mudelid ei ole reeglina füüsikale vajalikul määral üldkehtivad. 

Biofüüsika käsitleb bioloogilisi objekte füüsikaliste meetoditega. Tartu Ülikooli Füüsika Instituudi biofüüsikud uurivad näiteks purpurse mitteväävlibakteri fotosünteesi.

Füüsika kolmandat peamist erinevust teistest loodusteadustest oleme juba maininud. See on hästi näha looduse struktuuritasemete skeemilt (J.1.1). Kui bioloogia võib struktuuritaseme mõõtme vähenemise käigus oma probleemi edasi suunata keemiale ning keemia omakorda füüsikale, siis füüsikal pole probleemi enam kuhugi suunata. Bioloogia ei pea seletama, miks aatomid biomolekulides on seotud just sellel või teisel viisil. Sideme probleemidega tegeleb keemia. Samas ei pea keemia seletama, miks aatomid omavad just selliseid mõõtmeid või miks aatomi kõige sisemises elektronkihis ei saa olla üle kahe elektroni. Neile küsimustele vastab füüsika. Füüsika seletab ära nii aatomi, selle tuuma kui ka tuumaosakeste (prootonite ja neutronite) siseehituse, kuid peab esialgu tunnistama oma jõuetust „piilumisel“ kvarkide sisemusse. 

Analoogiliselt võib geograafia probleemi mõõtme suurenemisel pöörduda abi saamiseks füüsika poole. Näiteks nendib geograafia fakti, et inimeste poolt kasutatava ajaarvestuse aluseks on Maa ja Kuu perioodiline liikumine, aga millised need liikumised täpselt on ja kuidas nad kajastuvad kalendris, see on juba füüsika teema. Füüsika seletab Päikesesüsteemi komponentide liikumist ja teket, kuid ei suuda hetkel veel anda kõikehõlmavat vastust küsimusele, miks ikkagi Universum tervikuna kiirenevalt paisub. Pole ka olemas ühtegi teist loodusteadust, millele füüsika selle probleemi edasi suunata saaks. Niisiis tegeleb füüsika looduse äärmiste struktuuritasemetega. See eristab füüsikat kõige selgemini teistest loodusteadustest. 

Võtame nüüd kokku füüsika peamised erinevused teis­test loodusteadustest

  1. Füüsikale on omane täppisteaduslike (matemaatiliste) meetodite kõige ulatuslikum rakendamine; 

  2. Füüsika tekitab looduse kõige üldisemad mudelid (füüsikalised suurused ja nende mõõtühikud), kõik teised loodusteadused kasutavad neid; 

  3. Füüsika tegevusala hõlmab kogu loodusobjektide mõõt­mete skaalat. Füüsika tegeleb kõige suuremate ja ka kõige väiksemate loodusobjektidega. 

Millist fotoaparaati valida? Füüsika annab siin põhilised valikukriteeriumid.

Käesoleva teema lõpetuseks märkigem, et füüsikaline maailmapilt, mida me endil gümnaasiumi füüsikaõppe käigus kujundama asume, on kas ühe inimese või kogu inimühiskonna arengu mingile kindlale perioodile iseloomulik ettekujutus maailma (looduse) koostisosadest ja nendevahelistest seostest kui füüsikalistest objektidest. Füüsikaline maailmapilt on tervik, millesse uued teadmised kas sobituvad või siis sunnivad maailmapilti muutma. Viimane tähelepanek kehtib muide nii üksikisiku kui ka terve inimühiskonna kohta. Maailmapildi terviklikkus aga peegeldab looduse enda terviklikkust ja sisemist kooskõlalisust. Midagi tõeliselt uut suudavad loodusteadustes avastada vaid need, kellel on olemas terviklik maailmapilt. Vaid nemad saavad märgata, et “midagi on vahelt puudu”. Kuid ka tavakodanikule annab kooskõlalise maailmapildi omamine sisemise kindlustunde. Annab näiteks suutlikkuse läbi näha reklaamikampaaniates pahatihti esinevaid ebateaduslikke väiteid ja järelikult aitab mitte langeda petuskeemide ohvriks.

Vaatleja kujutlused ja füüsika
Vaatleja mõiste
Oma aistingute alusel alusel kujundab vaatleja maailmast omaenda pildi.

Põhikoolis õpitav lihtsustatud füüsikakäsitlus tugineb laialt levinud arvamusele, et tähtsaimad loodusteaduslikud mõisted (näiteks aeg ja ruum) on olemas sama objektiivselt (mistahes inimesest sõltumatult) nagu loodus isegi. Gümnaasiumi füüsikakursuse õige mõistmine algab aga tõdemusest, et inimesest sõltumatut füüsikat pole olemas. Inimene on looduse vaatleja, kes saab infot looduse kohta oma meeleorganite vahendusel ning füüsika on tema vaatluste üldistus. See, et kahel eri vaatlejal on tegelikult kummalgi oma aeg ja ruum (lähemalt sellest p. 4.4), näib loodusteaduse objektiivsusesse uskuvale inimesele mingi trikina, mis “ei saa ju tõsi olla”. Nagu ikka trikkide puhul, ootab inimene triki äraseletamist. Ta küsib: “Kuidas on see asi tegelikult?” Täpne vastus aga kõlab: Igal vaatlejal ongi omaenda tegelikkus.

Kuna inimese peamiseks aistinguliseks infokanaliks on nägemismeel, siis hakkab maailmapildi kujundamist oluliselt mõjutama valguse kiiruse väärtus. Oma aistingute alusel kujundab iga vaatleja maailmast omaenda pildi ning mitte ükski vaatleja pole eelistatud. Kui kaks vaatlejat on erinevates tingimustes (näiteks liiguvad teineteise suhtes), siis nad saavad erinevaid aistinguid ja maailm ongi nende jaoks erinev, mitte ei tundu erinevana. Kui me räägime loodusest, kui kõigi vaatlejate jaoks ühesugusest keskkonnast, siis eeldame vaikimisi vaatlejate viibimist ligikaudu ühesugustes tingimustes. Valguse kiirus on väga suur, mistõttu valgusega võrreldes on maapealsed vaatlejad üksteise suhtes peaaegu paigal. Vaatlejad lähtuvad aja ning ruumi mõistete kujundamisel ühesugustest aistingutest, sest inimese nägemismeel ei suuda vaatlejate aistingutes tekkivaid erinevusi tuvastada. Seetõttu tundub inimestele Maa peal, et aeg ja ruum on nende kõigi jaoks ühesugused. Märkigem veel, et lisaks probleemidele aja ning ruumiga muutub kaasaegses füüsikas üha olulisemaks küsimus Kas vaatleja olemasolu mõjutas vaatluse tulemust või mitte? Kaasaegne füüsikaline maailmapilt ei saa minna ei üle ega ümber vaatleja olemuse mõistmisest.

Kas vaatleja olemasolu mõjutab vaatluse tulemust või mitte?

Vaatleja on inimene, kes saab ja töötleb infot maailma (looduse) kohta. Vaatlejat võib defineerida mitmeti, aga soovitav on seda teha tunnuste kaudu, mis ühel vaatlejal olema peavad. Vaatleja tunnusteks võiksid olla: 

  1. vaba tahe ehk valikuvabaduse olemasolu; 
  2. aistingute saamise võime, võtmaks maailmast vastu infot; 
  3. mälu ehk võime salvestada infot ja seda hiljem uuesti kasutada ning 
  4. mõistus ehk võime konstrueerida mälus olemasoleva info abil mõtteseoseid, tehes nii tõeseid järeldusi maailma kohta ilma vastavat aistingut saamata. 

Legend sellest, kuidas Vana-Kreeka mõtleja Archimedese (287 – 212 eKr) vannis omanimelise seaduse avastas.

Teadust korrastatud mõtlemise reeglitest nimetatakse loogikaks. Mõtteseoseks ehk süllogismiks nimetatakse loogika elementaartehet, mille üks näide võiks olla järgmine:

1) kõik kassid on neljajalgsed,
2) Miisu on kass, seega
3) Miisu on neljajalgne.

Abstraktsemalt väljendudes:

1) kõik objektid A kuuluvad hulka B (eeldus 1);
2) objekt C osutub objektiks tüüpi A (eeldus 2);
3) objekt C kuulub ka hulka B (järeldus).

Nagu näeme, peavad süllogismi konstrueerija teadvuses eksisteerima kontseptsioonid (terviklikud mõttekujundid) objekt A (kassid) ning objekt B (neljajalgsed). Kontseptuaalne mõtlemine on omane vaid inimestele. Loomade kindlaviisilist käitumist juhivad enamasti tingrefleksid. Inimesega võrreldava efektiivsusega süllogisme konstrueerida loomad ei suuda.

Teaduslik aparatuur avardab vaatleja võimalusi. Pildil on raadioteleskoop, millega avastati 1964. aastal kosmiline taustkiirgus – sõnumitooja universumi kõige varasemast noorusest. Avastus oli juhuslik. Nobeli preemia pälvinud Arno Penzias nin

Kui vaatlejal puuduks vaba tahe, siis jääks mõistetamatuks juba tema otsustus valikute vaadelda ja mitte vaadelda vahel. Seda enam on vaba tahe vajalik vaatlusviiside ja vaatlusvahendite valikul ning tulemuste usaldatavuse hindamisel. Inimese mistahes tegevus eesmärgiga looduse toimimist mõista, aga ka otsus looduse vastu üldse mitte huvi tunda, on tahteline akt. Just vaba tahte olemasolu muudab vaatleja subjektiks (otsustusvõimeliseks olendiks), kes uurib füüsikalisi objekte (asju, millele vaatleja tegevus on suunatud).

Kui vaatleja ei saaks aistinguid, siis poleks tal üldse mingit infot maailmapildi kujundamiseks, sest tema enda vahetute loodusvaatluste tulemused on aistingulised ning igasugune info edastamine ühelt inimeselt teisele saab samuti teoks meeleelundite (peamiselt kuulmise ja nägemise) vahendusel. 

Kui vaatlejal puuduks mälu, siis ei saaks tal üldse tekkida meelelise tunnetuse keerulisemaid vorme (tajusid ja kujutlusi), sest kogu töödeldav info välismaailma kohta ei saabu vaatleja teadvusesse korraga. Mingi osa infost tuleb vältimatult vahepeal salvestada. Ilma mäluta poleks võimalik ka mõtlemine, sest seoseid saab konstrueerida vaid mälus säilitatavate mõttekujundite vahel. 

Kui vaatlejal puuduks mõistus (mõtlemisvõime), siis poleks ta suuteline tekitatud terviklikke mõttekujundeid liigitama ega omavahel seostama. Sellisel vaatlejal saaksid olla vaid otseselt aistingutest tulenevad ehk primaarsed kujutlused. Ta ei suudaks püstitada hüpoteese ega neid kontrollida.

Tunnetusprotsess füüsikas
Nahkhiir kuuleb helisid, mis on inimkõrvale kuuldamatud ning tajub seetõttu loodust teistmoodi. Milline võiks olla maailm siis, kui inimese silm "näeks" valguse asemel hoopis raadiolaineid?

Uurime nüüd detailsemalt füüsikalist käsitlust aistingulise info saamise kohta vaatleja poolt. Füüsikas tavatsetakse nimetada sündmuseks ükskõik mida, mis toimub maailmas kindlal ajal ja kindlas kohas. Füüsikutel on kombeks öelda, et iga sündmus omab kindlaid aegruumilisi koordinaate. Lihtsaimad näited sündmustest on terava heli tekkimine noa või kahvli kukkumisel põrandale või siis välklambi sähvatus.

Füüsikaline tunnetusprotsess ja kujutlus

Signaaliks nimetatakse sündmust kirjeldava info jõudmist vaatleja närviraku ehk retseptorini mingi füüsikalise nähtuse vahendusel, milleks äsja toodud näidetes on kas mehaaniline helilaine või elektromagnetiline valguslaine. Seda protsessi võivad komplitseerida signaali moonutavad sündmused, näiteks valguslainete levikusuuna muutumine kahe keskkonna lahutuspinnal, mille tulemusena veeklaasis paiknev lusikas näib vaatlejale pooleksmurtuna. Reeglina ei suuda vaatleja vaid aistingute abil tuvastada signaali moonutava sündmuse esinemist. Ta on sunnitud rakendama ka mälu ning mõistust. Info toimunud sündmuse kohta läheb retseptorist närvirakkude erilise elektrilise seisundi levimise teel ajuni, kus tekib sündmust peegel­dav aisting. Erinevatest meeleorganitest pärinevate aistingute põhjal tekib ajus sündmusest või sündmuste ahelast terviklik taju. Seejärel kasutab aju mälus säilitatavaid varasemaid sellelaadseid aistinguid ja tajusid, rakendab mõistust ning lõpptulemusena tekib vaatleja teadvuses maailma sündmusest või objektist tervik­lik kujutlus ehk visioon. Füüsika koosneb eri indiviidide poolt tekitatud ja omavahel kooskõlastatud kujutlustest. Füüsika on looduse peegeldus vaatleja kujutlustes. See on vist ka lühim võimalik füüsika definitsioon. Lisagem, et eelistame edaspidi sõna kujutlus sõnale visioon, kuna visiooniks nimetatakse tänapäeval üha sagedamini mingi ettevõtte või organisatsiooni arengukava. Sel pole aga midagi ühist looduse kirjeldamisega. 

Lasereid kasutatakse füüsikas põhiliselt selleks,et mõjutada katseobjekte valgusega, millel on väga täpselt määratud omadused. Kui me ei saa olla vigade piires kindlad mõõteinstrumendis, siis ei saa me olla kindlad ka tulemustes.

Järgnevalt nendime, et vaatlejal võib olla mitmesuguseid kujutlusi. Kui vaatlejal on primaarseid ehk otseselt aistingutest tulenevaid kujutlusi tekitatud piisavalt palju, siis asub ta mälu ja mõistust appi võttes konstrueerima sekundaarseid kujutlusi, millega seonduvaid aistinguid ta veel pole saanud, aga mis süllogistlikult tulenevad primaarkujutlustest. Loodusteadusliku uurimismeetodi kirjeldamisel nimetatakse sellist tegevust hüpoteesi loomiseks. Vaatlejal on sageli võimalik hüpoteesi kontrollida. Ta asub maailma kindlaviisiliselt mõjutama, eesmärgiga esile kutsuda uuritavale sekundaarkujutlusele vastav sündmus. Seda nimetatakse katseks ehk eksperimendiks. Kui vaatleja nüüd tõepoolest saab piisavalt täpselt sama komplekti aistinguid, mille tekkimist ta prognoosis, siis teeb vaatleja järelduse, et kõnealune sündmus maailmas tõepoolest toimus ja tema hüpotees on saanud eksperimentaalse kinnituse. Paraku jääb ”piisava täpsuse” kriteerium füüsika ja mistahes muu katselise loodusteaduse igaveseks probleemiks. Ka ühe eksperimendi positiivne või negatiivne tulemus ei tõesta veel midagi, kuna iialgi ei saa välistada viga ühe vaatleja poolt koostatud süllogismide ahelas. Alles paljude erinevate uurijate poolt maailma eri paigus saadud ühesugune eksperimentaalne tulemus muutub pikapeale usaldusväärseks eksperimentaalseks faktiks, millele tuginedes on teistel füüsikutel mõtet koostada suuri, veel aistingulise aluseta kujutluste süsteeme ehk füüsikalisi teooriaid

Esineb ka olukordi, kus eksperiment pole võimalik, sest vaatleja ei saa uuritavat loodusnähtust mõjutada. Näiteks ei saa me mõjutada kaugetel taevakehadel toimuvaid protsesse. Me saame neid vaid sihipäraselt vaadelda. Sõnaga sihipärane tähistame siin näiteks teleskoobi suunamist ühele konkreetsele tähele või selle teleskoobi väljundis paikneva spektraalaparaadi häälestamist elektromagnetlainete spektri ühele kindlale piirkonnale. Kuid sihipärase vaatluse positiivse tulemuse tõestuslik jõud ei jää alla eksperimendi omale. Üsna tuntud näiteks eduka sihipärase vaatluse kohta on planeet Neptuuni avastamise taevasfääri just selles piirkonnas, kus uus planeet gravitatsiooniseadusel põhinevate arvutuste põhjal paiknema pidi. Märkigem veel, et kaasajal on loodus­teadusliku meetodi tähtsaks osaks ka eksperimendile järgnev andmetöötlus.

Ka korduvalt teostatud hoolikas eksperiment või sihipärane vaatlus võivad anda ikka ja jälle täiesti negatiivse tulemuse. Sel juhul peab järeldama, et vaatleja poolt tekitatud kujutlusele looduses mitte midagi ei vasta – ennustatud loodusnähtust ei esine. Siis tuleb hüpotees kõlbmatuna kõrvale heita ja formuleerida täiesti uus hüpotees. Kui tulemus siiski saadakse, aga see erineb mõnevõrra prognoositust, siis on mõtet sama hüpoteesiga edasi töötada. Sel juhul käsitleb uus hüpotees reeglina erinevuste võimalikke põhjusi, olles vana hüpoteesi täpsustuseks. Sageli viitab uus hüpotees mingile loodusnähtusele, mida seni pole mudeli loomisel arvestatud, kuid mis võib siiski tulemust oluliselt mõjutada. 

Silmi tuleb kaitsta, need on meie põhilised informatsiooni saamise instrumendid!

Me oleme seni kasutanud veidi umbmäärast terminit aisting, täpsustamata konkreetset meeleelundit, mille vahendusel aisting saadakse. Tegelikult on inimesel ju viis meelt: nägemine, kuulmine, haistmine, maitsmine ja kompimine. Kuna lõviosa infost füüsikaliste objektide kohta jõuab inimese teadvusesse nägemismeele vahendusel, siis on ülejäänud meelte kirjeldamine FLA kursuse kontekstis üpris kasutu.

Lõpetuseks võime loodusteadusliku meetodi kirjelduse kokku võtta jadaga: esmane vaatlus hüpotees eksperiment (või sihipärane vaatlus) andmetöötlus järeldus hüpoteesi täpsustamine uus eksperiment ja nii ikka edasi.

Füüsika kui paljude vaatlejate ühine kujutlus
Füüsika õpikud annavad edasi paljude vaatlejate ühine loodust peegeldav kujutluste süsteemi.

Arendades vaatleja mõistest lähtudes edasi ülalpool juba toodud näidet füüsikaliste suuruste seose kohta, peame tõdema, et looduses pole olemas ei jõudu ega rõhku. Need ja kõik teised füüsikalised suurused ning mõõtühikud on vaatlejate kujutlused või veelgi selgemalt – inimlikud väljamõeldised. Samas on siiski reaalselt olemas vastastikmõjud ning on olemas kehad, mis neis mõjudes osalevad. Vastastikmõju tugevust kirjeldavat füüsikalist suurust nimetatakse jõuks. Me võiksime koostada tabeli, mis viib omavahel vastavusse mingi füüsikalise loodusobjekti (looduse nähtuse või omaduse) ja seda objekti kirjeldava füüsikalise suuruse (looduse üldmudeli). Me koostame sellise tabeli käesoleva kursuse lõpul, kui tähtsaimad füüsikalised üldmudelid on juba käsitlemist leidnud. Praegu vaid nendime, et füüsika on paljudele vaatlejatele ühine loodust peegeldavate kujutluste süsteem, aga mitte loodus ise. Ilma vaatlejata ei oleks ka füüsikat. 

Nähtavushorisondid ja füüsika
Nähtavushorisondi mõiste
Kõigepealt ilmub horisondile laeva taglas, alles siis kere. Tõenäoliselt olidki meremehed need, kes esimesena Maa kumerust aimasid.

Geograafias oleme juba õppinud mõistet horisont. See on joon, mis vaatleja jaoks lahutab taevast maast või merest. Kõige selgemini eristamegi horisonti vaadeldes merd, kuna veepind on raskusjõu mõjul horisontaalne ehk risti vertikaalsihiga. Vertikaalsiht on Maa pinna mistahes punktist suunatud Maa keskpunkti. Maa kerakujulisuse tõttu jäävad horisondile kõik need punktid, mida merepinnast mingil kindlal kõrgusel viibiv vaatleja veel näeb.

Vaatlejast kaugemal paiknevad punktid jäävad horisondi taha.Vaatleja ei saa neid punkte näha, kuna neist tulev ja õhus kui ühtlases keskkonnas sirgjooneliselt leviv valgus ei jõua enam vaatleja silma. Sellisena tunneb inimkond horisondi mõistet juba väga ammu, sest purjelaevade ajastul oli lihtne märgata läheneva laeva purjesid, mis kõigepealt horisondi tagant nähtavale ilmusid. Alles siis, kui laev oli tervikuna horisondini jõudnud, oli võimalik näha ka laeva keret ning tekiehitisi. FLA kursuse kontekstis me ei kasuta mõistet horisont selle sõna geograafilises tähenduses, kuna horisondi ristumine vertikaalsihiga pole meie jaoks tähtis. Horisondi meie jaoks oluline tunnus on vaid see, et meil pole veel infot horisondi taha jäävate füüsikaliste objektide kohta. Kuna nägemismeel on meie peamine aistinguline vahend füüsikalise info saamisel looduse kohta, siis hakkame kasutama mõistet nähtavushorisont, eristamaks meile vajalikku tähendust puhtgeograafilisest. 

Hubble-i teleskoop viis teadlaste kosmosevaatlused uuele taseme. Muu hulgas avanes võimalus pildistada tähti ümbritsevat tolmu. Pildil on Kassisilma udukogu, katalooginimega NGC 6543.

Nähtavushorisondiks nimetame piiri, kuni milleni vaatlejal või inimkonnal tervikuna on olemas eksperimentaalselt kontrollitud teadmised füüsikaliste objektide kohta. Inimese isikliku nähtavushorisondi taha võivad jääda need loodusobjektid, millega tutvumiseni ta pole oma personaalses arengus veel jõudnud. Võib öelda, et neid objekte pole tema jaoks veel olemas. Inimkonna kui terviku nähtavushorisondi taha jäävad füüsikalised objektid enamasti põhjusel, et pole veel olemas vahendeid kas nii väikeste või nii suurte objektide vaatlemiseks. Seega me kasutame nähtavushorisondi mõistet eelkõige loodusobjektide mõõtmete skaala (J.1.1) kontekstis. Objekt jääb nähtavushorisondi taha mitte lihtsa teadmiste puudumise tõttu (juhtumisi pole seda asja veel uuritud), vaid vaatlusvahendite ebatäiuslikkuse tulemusena. Kuna nii üksiku indiviidi kui ka kogu inimkonna maailmapilt pidevalt areneb, siis on mõlemal juhul nähtavushorisontide asukohad looduse struktuuritasemete skaalal sõltuvad ajast. 

Sisemine ja väline nähtavushorisont
Varjatud reaalsus võib olla ka hirmutav.

Kui me punktis 1.1.2 alustasime inimese ja maailma vahekorra uurimist, siis oli ka juttu sellest, kuidas väikelaps tutvub mitmesuguste lihtsate asjade ja nähtustega enda ümber. Mõnekuune laps asub kompama oma keha, lelusid, voodipiiret ja lutipudelit, saades nii esimesi päris oma aistinguid. Laps raputab oma mänguasja, mispeale selle sisse paigutatud plastkuulikesed toovad kuuldavale erutavat heli. Õige pea teeb laps esimese katse mänguasja purustada, eesmärgiga teada saada, mis see küll on, mis lelu raputamisel nii põnevat häält teeb. Me võime öelda, et laps on asunud liikuma sisemise nähtavushorisondi poole. Ta on esitanud küsimuse: Mis on need veel väikse­mad asjad, millest koosneb minu käes olev ese? 

Põhimõtteliselt sama küsimusega tegeleb terve inimkond kogu oma eksistentsi vältel. Inimkonna peamiseks vahendiks selles tegevuses on füüsika koos oma teooriate ja eksperimentaalseadmetega. Kuni suurendusklaaside (luupide) kasutuselevõtuni said katselised kinnitused palja silmaga nähtamatute objektide mõõtmete kohta olla vaid kaudsed. Näiteks oli võimalik õli vähimate osakeste mõõtmeid hinnata selle õlilaigu pindala põhjal, mis veepinnal moodustus õlitilga sattumisel vette. Mikroskoobi leiutamine aastal 1590 aga võimaldas hakata vahetult nägema objekte mõõtmetega kümnendik kuni sajandik millimeetrit (10 – 100 µm). 19. sajandi lõpuks oli optilise mikroskoopia areng viinud inimkonna sisemise nähtavushorisondi nähtava valguse keskmise lainepikkuseni (ca 0,5 µm). Niisiis, sisemine nähtavushorisont on konkreetse vaatleja või kogu inimkonna teadmiste piir liikumisel piki mõõtmete skaalat üha väiksemate objektide poole, järjestikusel vastamisel küsimusele Mis on selle sees?

Füüsik Ernest Rutherford (1871-1937) soovis purustada kulla aatomeid. Ta tegi seda alfaosakeste ehk heeliumi aatomite tuumade abil. Vastavaid katseid kirjeldatakse pikemalt Mikro- ja megamaailma füüsika kursuses. Nende katsete tulemusena tegi Rutherford aastal 1906 koos õpilaste Geigeri ja Marsdeniga kindlaks, et kulla aatom koosneb suhteliselt väikese massiga elektronidest, mis liiguvad ümber mõõtmetelt väga väikese, kuid samas väga suure massiga tuuma. Lühidalt öeldes, Rutherford, Geiger ja Marsden avastasid aatomi tuuma. Ernest Rutherford on läinud ajalukku oma lausega Loodusteadused jagunevad füüsikaks ja margikogumiseks. Olgu see tsitaat siin ära toodud mitte eesmärgiga halvustada teisi loodusteadusi, vaid rõhutamaks füüsika erilist, nähtavushorisonte edasi nihutavat rolli loodusteaduste hulgas. Rutherfordi veidi üleolev suhtumine teistesse loodusteadustesse sai karistatud sellega, et Rutherfordile anti aastal 1908 tema avastuse eest Nobeli keemia-, aga mitte füüsikapreemia. Muuseas, seda fakti esitatakse meeleldi ka kirjamarkidel. Nobeli keemiapreemiat vastu võttes ütles Rutherford: „Ma olen looduses näinud palju muundumisi, aga mitte kunagi nii kiiret nagu minu muundumine füüsikust keemikuks!“ 

Higgsi bosoni tekkimine ja lagunemine Euroopa tuumauuringute keskuse kiirendi detektoris. Higgsi boson on elementaarosake, mis annab kõikidele teistele osakestele massi. Kollased punktiirjooned kujutavad bosoni lagunemisel tekkinud ülisuure energiaga elektrone.

Euroopa rahvaste ühiseks vahendiks üritustes tungida kvarkide ja leptonite kui tänapäeval kõige väiksemate teadaolevate osakeste sisemusse, on Euroopa tuuma­uuringute keskuses CERN (Centre européenne pour la recherche nucléaire) paiknev suur hadronite põrgati LHC (Large Hadron Collider). Selgitusena: hadronid on kvarkidest koosnevad osakesed, näiteks prootonid. Kvarke seob hadroniteks tugev vastastikmõju (ingl hard - tugev). Kui see osakeste kiirendi saavutab oma projektvõimsuse, siis peaks tema abil olema võimalik näha objekte tüüpilise mõõtmega 10–20 meetrit, mis on hetkeseisuga (2013) inimkonna kui terviku sisemiseks nähtavushorisondiks (J.1.2. alumine äär). 

Universumi kärgstruktuur. Heledamad alad tähistavad galaktikaparvi. Parved on omavahel ühendatud galaktikaahelatega. Ühe kärjesilma läbimõõt on miljardeid valgusaastaid.

Väline nähtavushorisont on vaatleja(te) teadmiste piir liikumisel piki mõõtmete skaalat üha suuremate objektide poole (järjestikusel vastamisel küsimusele Mis on selle taga?). Väikelapse väline nähtavushorisont piirdub esialgu selle toa seintega, kus ta viibib. Veidi hiljem näeb laps ka õue, kuhu ta värsket õhku hingama viiakse. Kui laps õpib rääkima, siis asub ta peagi esitama vanematele küsimusi nende asjade kohta, mis on veelgi kaugemal. Ta küsib: Mis on see veel suurem asi, millesse mulle seni tuntud suured asjad kuuluvad vaid ühe osana? Laps liigub välise nähtavushorisondi poole.

Inimkonna kui terviku väline nähtavushorisont jõudis juba Vana-Kreeka õpetlaste töödega selleni, et esimeses lähenduses määrati Kuu, Päikese ning mõnede lähimate planeetide suurused ning kaugused Maast. Järgmiseks tõsiseks sammuks edasi oli optilise teleskoobi leiutamine 16. sajandi lõpul. See võimaldas avastada planeet Jupiteri kuud ja planeet Saturni rõnga, aga ka seni tundmatu planeet Uraani. 19. sajandi algul hakati tõsiseltvõetava täpsusega määrama tähtede kaugusi Maast ja 20. sajandi algul tehti kindlaks lähimate galaktikate suurused ning kaugused meist. Kaasajal kõige tuntum vaatlusseade, mis on võimaldanud viia inimkonna välise nähtavushorisondi kuni 1025 meetrini, on Hubble’i kosmoseteleskoop.

Hubble-i kosmoseteleskoobi mantlipärija James Webb-i teleskoop saadetakse orbiidile 2018. aastal. Uuel teleskoobil on eelkäijast oluliselt parem lahutusvõime, tundlikkus ning orbiidi asukoht.

Loodetavasti oleme juba mõistnud, mis seos on nähtavushorisontidel füüsikaga. Kui me soovime looduse kohta midagi uut teada saada, siis me enamasti nihutame edasi isikliku maailmapildi nähtavushorisonti. Väga sageli me tegeleme seejuures füüsikaga, mõnikord koguni endale sellest aru andmata. Füüsika kui teadus erineb teistest loodusteadustest just selle poolest, et ta määratleb ja nihutab edasi inimkonna kui terviku nähtavushorisonte. Seda ei tee mitte ükski teine loodusteadus. Füüsika formuleerib kõige üldisemaid küsimusi looduse kohta ja ka vastab neile, kui konkreetsel tehnilisel tasemel on üldse võimalik vastata.

Makro-, mikro- ja megamaailm
Lihtne katse makromaailmas - muna imeb pudelisse jahtuva õhu kokkutõmbumisest põhjustatud alarõhk.

Kui me püüame looduse struktuuritasemete skeemil tekitada mingeid põhjendatud alajaotusi, siis kindlasti eristub otsekohe kõigest muust inimesele lähedaste mõõtmetega objektide ehk makrokehade maailm. Makromaailmas kehtivaid füüsikaseadusi võime me uurida nägemismeelega vahetult hoomatavate katsete abil. Näideteks selliste katsete kohta sobivad pea kõik põhikooli füüsikaõpikus kirjeldatud või tunnis läbi tehtud katsed. Makromaailma moodustavad objektid tüüpilise mõõtmega, mis jääb ühe mikro­meetri (miljondiku meetri) ja ühe megameetri (miljoni meetri) vahele (roheline ala joonisel 1.3). Kuna inimese keha on tüüpiline makromaailma objekt (paikneb vastava mõõtmete vahemiku keskel), siis on makromaailm inimesele kodune ja harjumuspärane. Makromaailmas kehtivad klassikalise füüsika seadused, mida õppisime põhikoolis. Üleüldse tegeles põhikooli füüsikaõpe peaaegu eranditult makromaailma objektidega. 

Üldiselt on nii, et mida pisemad on uuritavad objektid, seda suuremad ja kallimad on aparaadid, millega neid uuritakse. Pildil on Jaapanis Kamioka mäe all asuv neutriinodetektor Super-Kamiokande, milles saab nagu järvel kummipaadiga ringi sõita. Kalade asemel on detektori ülipuhtas vees fotodetektorid.

Gümnaasiumi füüsikakursustes puutume kokku aga ka kahe ülejäänud maailmaga, seda kõige rohkem Mikro- ja megamaailma füüsika kursuses. Mikromaailma moodustavad inimesest mõõtmete poolest palju väiksemad objektid. Need on objektid tüüpilise mõõtmega, mis jääb alla ühe mikro­meetri (miljondiku meetri). Megamaailma moodustavad inimesest mõõtmete poolest palju suuremad objektid. Need on objektid tüüpilise mõõtmega, mis on üle ühe mega­meetri (miljoni meetri ehk 1000 kilomeetri). Mikro- ja megamaailmas pole enam rakendatavad kõik makro­maailmas tuntud füüsikaseadused. Mikro- ja megamaailmale on ühine see, et nende maailmade objektid võivad liikuda absoluutkiirusele (valguse kiirusele vaakumis, vt p. 4.5) lähedaste kiirustega. 

Tekib õigustatud küsimus, kustkohast on võetud objektide tüüpilise mõõtme piirid üks mikromeeter ja üks megameeter, mis on ka vastavatele maailmadele nime andnud. Kahjuks pole sellele küsimusele lihtne vastata. Appi tuleb võtta teadmine, et kõik füüsikalised nähtused taanduvad lõppkokkuvõttes neljale vastastikmõjule: elektro­magnetilisele, gravitatsioonilisele, tugevale ja nõrgale

Gravitatsiooniline vastastikmõju on meie jaoks eelkõige Maa külgetõmbejõu ehk raskusjõu põhjustaja. Ta määrab kehade käitumise oluliselt vaid siis, kui vähemalt üks kehadest kuulub megamaailma. Elektromagnetilise päritoluga on jõud, millega me oma igapäevases elutegevuses vältimatult kokku puutume. Nen­deks on näiteks elastsusjõud, hõõrdejõud ja ka elusorganismide lihas­jõud. Elektrijõud hoiavad koos lihtaine aatomeid. Lihtsateks molekulideks (H2O, CO2), tahkisteks ja keeru­listeks orgaanilisteks ühenditeks liidab aatomeid keemiline side, mis on samuti tingitud elektromagnetilisest vastas­tikmõjust. Tugev ja nõrk vastastikmõju tulevad esile vaid mikromaailma protsesside käigus. Näiteks hoiavad tugeva vastastikmõju jõud koos aatomite tuumi. Nende jõudude toime on ruumiliselt väga piiratud. Tugev vastastikmõju rakendub alles vahekaugustel 10–14 m ning nõrk vastastikmõju ei ulatu kaugemale 10–18 meetrist.

Mõistagi on igal vastastikmõjul looduse struktuuritasemete skeemil (J.1.2) oma piirkond ehk ala, kus see vastastikmõju on kõige tähtsam. Elektromagnetilise mõju tööpiirkond ulatub objektide tüüpilise mõõtme vähenemise suunal kuni pikkusteni 10–14 m. See on suure aatomi tuuma mõõde. Tugev mõju hoiab tuuma koos, ehkki samanimelise elektrilaenguga prootonite vahel mõjuv elektriline tõukejõud püüab tuuma laiali paisata. Objektide mõõtme kasvu suunal aga ulatub elektromagnetilise mõju tööpiirkond just ligikaudu ühe megameetrini. Kosmilised objektid läbi­mõõduga üle 1000 km ehk 1 Mm (näiteks Maa ja Kuu) on elektromagnetjõudude kiuste võtnud gravitatsioonijõu toimel kera kuju. Veidi väiksemad kosmilised objektid tüüpilise mõõtmega 100 km omavad veel kivitükile iseloomulikku nurgelist kuju, mille tagab elektromagnetilise päritoluga keemiline side tahkise aatomite vahel. Seega määrab objekti kuju kuni mõõtmeni 100 km veel makromaailmas domineeriv elektro­magnetiline mõju. Alates mõõtme suurusjärgust 1000 km ehk 1 Mm teeb seda aga juba megamaailmas domineeriv gravitatsiooniline mõju. 

Kosmiliste objektide kuju sõltub massist. Mida massiivsem objekt, seda ümaram see gravitatsioonilise mõju tõttu on. Kergemad objektid on seevastu elektromagnetilise mõju domineerimisest tingituna ebakorrapärasemad. Pildil on asteroid 21 Lutetia, mille läbimõõt on ligikaudu 100 km.

Makro- ja mikromaailmade vahelise tingliku piiri 1 mm määrab Plancki konstandi kui mikromaailma tähtsaima konstandi arvväärtus. Selle juures tuleb arvestada dualismiprintsiipi ja määramatuse printsiipi. Neist viimasega tutvume alles Mikro- ja megamaailma füüsika kursuses. Siinkohal oleks nende printsiipide äraseletamine väga pikk jutt, mistõttu jäägu see praegu rääkimata. 

Kui miskit äsja lõppenud peatükis Sulle arusaamatuks jäi, siis ei ole põhjust meelt heita - järgnevates peatükkides võetakse needsamad teemad uuesti ette, veidi rahulikumalt, veidi põhjalikumalt.

Kass ei saa aru
Füüsika uurimismeetod

Mistahes loodusteaduslik uurimistöö algab vaatlusest, edasi tuleb hüpotees, tehakse ennustusi, viiakse läbi katseid või sihipäraseid vaatlusi ning võrreldakse nende tulemusi ennustustega. Kuidas jõutakse teadmiste juurde, mis on usaldusväärsed? Missugused on need absoluutsed mõõdupuud, mis lubavad katseid ja vaatlusi üksteisega võrrelda?

Kui Keemilise ja Bioloogilise Füüsika Instituudis tehakse ülimadalatel temperatuuridel tehniliselt väga keerukaid teaduslikke eksperimente, siis mis on nendel ühist tavalise koolieksperimendiga?

Loodusteaduslik meetod ja mõõtmised
Loodusteaduslik meetod ja füüsika osa selles
Loodusteaduslik meetod näeb ette sihipäraste vaatluste läbiviimist.

Eelmises peatükis (p.1.2.2) tegelesime tunnetusprotsessiga füüsikas, mis polnud midagi muud kui loodusteaduste tüüpilise uurimismeetodi kirjeldus ühe konkreetse vaatleja seisukohalt. Tunnetusprotsess oli esitatav jadana: sündmus signaal retseptor närviprotsess aisting taju kujutlus mõtteseoste koostamine uus mõttekujund (hüpotees) eksperiment või sihipärane vaatlus (tagasi loodusesse) otsustus hüpoteesi tõesuse kohta. 

Selles skeemis oli pearõhk info saamisel looduse kohta ühe kindla vaatleja poolt. Põhikoolis oleme aga juba veidi õppinud loodus­teaduslikku meetodit, mis sisaldas samuti hüpoteeside kontrollimist, kuid ei keskendunud info saamise üksikasjadele (liikumisele sündmusest kuni kujutluseni). Sageli nimetatakse loodusteaduslikku meetodit ka lihtsalt teaduse meetodiks, tõlkides inglise sõna science eesti keelde sõnaga teadus. Korrektne on kasutada eesti keeles science’i vastena siiski sõna loodusteadus, rõhutamaks loodusteaduste erinevust humanitaarteadustest (humanities). Märgime veel, et meetod on reeglite ja nende rakendamisel kasutatavate võtete kogum, mis võimaldab saavutada seatud eesmärke.

Tartu Ülikooli Füüsika Instituudi röntgenelektronmikroskoop. Kerajas katsekambris on väga puhas ning täpselt häälestatav katsekeskond - üksainuski võõraatom võib mõõtetulemused rikkuda.

Tähelepanekute tegemist looduse kohta meeleelundite abil nimetatakse vaatluseks, mis on ka esimene samm loodusteadusliku meetodi rakendamisel. Kitsamas mõttes mõistame vaatluse all meelelise info kogumist loodusobjekti omaduste kohta objekti ennast mõjutamata. Teatavasti oleme otsustanud pidada loodusteaduse objektideks ka looduses toimuvaid muutusi ehk loodusnähtusi. Loodusliku protsessi vaatlemine tähendab protsessi kohta info kogumist ise sellesse sekkumata. Niisugune määratlus on vajalik, kui soovime eristada vaatlust katsest ehk eksperimendist, mille puhul loodusnähtus kutsutakse kunstlikult esile, protsess toimub kontrollitavates tingimustes. Vaatlus on loodusteadusliku uurimistöö esimene etapp, millele järgneb vaatlustulemuste liigitamine oluliseks peetavate tunnuste järgi. Seejärel toimub vaatluslike faktide kõrvutamine juba tuntutega. Alles nüüd on võimalik formuleerida teaduslikult sõnastatud küsimus ehk probleem ja teha selle lahenduse kohta teaduslikult põhjendatud oletusi, mida nimetatakse hüpoteesideks. Järgnevalt formuleeritakse hüpoteesidest tulenevaid konkreetseid ennustusi ja kontrollitakse nende täitumist eksperimendi abil. Kui hüpotees on osutunud tõeseks, siis sõnastatakse vastav seaduspärasus. Seaduspärasuse sõnastamisel tuleb kindlasti nimetada katse tingimusi, sest teistsugustes tingimustes ei pruugi katse tulemus enam olla selline.

Miks puuleht kukub aeglaselt, õun aga kiiresti?

Illustreerime kõike ülaltoodut konkreetse näitega. Olgu meil esmase vaatluse tulemuseks fakt, et puuleht langeb aeglaselt ja lehe langemistee pole isegi täiesti tuuletu ilmaga sirgjoon. Samas aga õun kukub lehest kiiremini ja sirgjooneliselt.

Probleem: Miks puuleht kukub aeglaselt, õun aga kiiresti?

Hüpotees: Keha langemise kiirus võib sõltuda keha kujust, aga ka keha raskusest. Õun ja puuleht erinevad mõlema omaduse poolest. Tuleb teostada katse kehadega, millel üks neist omadustest on mõlemal kehal sama. 

Katse: võtame A4 paberipakist kaks uut paberilehte. Paberi tootja on garanteerinud, et nad on ühesugused (erinevus ei ületa 1%). Kahel katsekehal on ühesugune mass ning raskusjõud, seega erinevus nende käitumises ei saa olla põhjustatud raskusest. Kägardame ühe paberilehe võimalikult väikeseks nutsakaks. Laseme kägardamata jäänud lehe ja nutsaka üheaegselt ning samalt kõrguselt langema. 

Ennustus: Kui langemise kiirus sõltub keha kujust, siis peavad leht ja nutsakas jõudma põrandani erineva aja jooksul. 

Tulemus: Kägardamata leht jõudis põrandani oluliselt hiljem kui nutsakas. 

Järeldus: Keha langemise kiirus sõltub keha kujust.

Katse tingimus: Me uurisime kehade langemist õhus.

Seaduspärasus: Õhus langemisel sõltub langemise kiirus keha kujust.

Austria ekstreemsportlane Felix Baumgartner sooritas 2012. aasta 14. oktoobril inimajaloo kõrgeima langevarjuhüppe, väljudes oma transpordikapslist 39 kilomeetri kõrgusel. Hüppe esimestel hetkedel oli Baumgartnerit ümbritsev atmosfäär väga hõre, mistõttu ei saanud ta oma kehaasendit kuidagi ise muuta ning pöörles abitult. Hiljem, Maale lähenedes muutus atmosfäär tihedamaks ning langevarjur sai õhutakistuse toel võtta horisontaalasendi.

Loodusteadusliku meetodi all mõistetakse niisiis meetodit, mis seisneb vaatluste põhjal hüpoteeside püstitamises, nende põhjal ennustuste tegemises ja ennustuste paikapidavuse kontrollimises katsete (eksperimentide) läbiviimise teel. Esimesena rakendas neid juhiseid järjekindlalt mehaanikateaduse alusepanija Galileo Galilei (1564-1642). Galilei töödest lähtudes andis Isaac Newton (1642-1727) tolleaegsel teadmiste tasemel kõikehõlmava seletuse kehade liikumisoleku muutumise põhjuste kohta. Sellega eristus füüsika filosoofiast, ehkki aastal 1687 ilmunud Newtoni peateos kandis veel pealkirja Loodusfilosoofia matemaatilised printsiibid (ld Philosophiae naturalis principia mathematica). Füüsika sai teerajajaks teistele loodusteadustele, mis kujunesid välja alles sadakond aastat hiljem.

Füüsikas näeme kujukalt ka seda, kuidas loodusteaduslikku meetodit võib rakendada erineva rangusega, sõltuvalt konkreetsete loodust uurivate inimeste võimekusest. Looduse kohta tehtud avastusi võib selles aspektis jagada seaduspärasusteks ja seadusteks ning kasutatavat üldist käsitlus- või mõtlemisviisi loodusteaduslikuks ja täppisteaduslikuks. 

Archimedese seadus on kvantitatiivne - sellega saab arvutada, kas kuumaõhupall tõuseb õhku või mitte. Kvalitatiivselt võiks öelda, et soe õhk on külmast õhust kergem.

Seaduspärasus on loodusnähtuse kohta kehtiv kvalitatiivne ehk erijooni rõhutav, mõõdetavust mitte eeldav – üldistus. Seaduspärasuste formuleerimisel kasutavad teiste loodusteaduste esindajad sageli väljendeid, mis füüsika jaoks pole enam piisavalt ranged. Näiteks ütlevad geograafid, et soe õhk on külmast kergem (füüsik ütleks: väiksema tihedusega !) ja tõuseb seetõttu ülespoole. Seaduspärasus ei pea olema esitatav matemaatiliselt rangelt (valemi või võrrandina). 

Seadus on loodusnähtuse kohta kehtiv kvantitatiivne ehk mõõdetav ja arvuliselt väljendatav, matemaatiliselt range valemi või võrrandina esitatav üldistus. Eelmises lõigus toodud seaduspärasusele vastab meie poolt põhikoolis õpitud Archimedese seadus (siin rakendatuna gaasi kohta): kehale mõjub gaasis üleslükkejõud Fü , mis võrdub keha poolt välja tõrjutud gaasi raskusjõuga. Valemina: Fü = ρ V g, kus ρ on gaasi tihedus, V – välja tõrjutud gaasi ruumala ning g – võrdetegur raskusjõu ja massi vahel. Kui mingi kogus väiksema tihedusega sooja õhku paikneb juhtumisi suurema tihedusega külmas õhus, siis on üleslükkejõud suurem selle õhukoguse enda raskusjõust ning soe õhk hakkab ülespoole tõusma. Füüsikaseaduste formuleerimisel kasutatakse kindlasti füüsikalisi suurusi.

Selliselt kahe paberilehe vahele õhku puhudes tõmbuvad need kokku.

Loodusteaduslik käsitlusviis on selline looduse uurimise viis, mille korral eelistatult kasutatakse kvalitatiivseid hinnanguid (nt suurem-väiksem, kõrgem-madalam). Liigutakse üksikult üldisele, alustades kõige lihtsamast olukorrast ning seejärel tasapisi keerukust lisades. Otsitakse seaduspärasusi, üldistused pole väga ranged. Põhieesmärgiks on tekitada loodusnähtuste olemust peegeldavaid kujutluspilte. 

Vaatleme näitena katset, mille korral katsetaja hoiab oma suu ja silmade kõrgusel kahte vertikaalset paberilehte ja puhub nende vahelt läbi. Paberilehed tõmbuvad kokku (liiguvad teineteise poole). Kui lähtume teadmisest, et õhu molekulid liiguvad mingil kindlal temperatuuril mingi keskmise kiirusega ning tekitavad rõhku mingil pinnal selle pinnaga põrkudes ning igal löögil pinnale mingit jõudu avaldades, siis võime antud katse tulemust loodusteaduslikult seletada järgmiselt. Kahe lehe vahelt läbi puhudes paneme õhu molekulid liikuma eelistatult ühes kindlas, paberilehtedega paralleelses suunas. Lehtedega ristuvas suunas liiguvad molekulid siis vastavalt vähem. Seetõttu löövad nad kahe lehe vahel vastu paberilehti vähem kui lehtede väliskülgedel, kus pinnaga paralleelne liikumise eelissuund puudub. Tulemusena on õhu rõhk lehtede välispindadel suurem kui kahe lehe vahel. Suurem rõhk tekitab sama pindala korral suurema jõu. Seega mõjub väljastpoolt sissepoole suurem jõud kui seest väljapoole. Osaliselt tasakaalustamata välisjõud surub paberilehed kokku. Nähtust seletab meie jaoks kujutluspilt eelistatult piki pinda liikuvatest õhu molekulidest.

2010. aasta 8. augustil Eestis tugevaid kahjustusi põhjustanud tormi liikumise mudel. Värvidega on edasi antud paikne tuulekiirus 10 m kõrgusel maapinnast. Tollase Eesti Metoroloogia ja Hüdroloogia Instituudi arvutimudelid ei suutnud tormi ette ennustada. Nüüd on see võimalik, sest meetodid on paremad ning arvutid võimsamad.

Täppisteaduslik käsitlusviis on selline looduse uurimise viis, mille korral eelistatult kasutatakse kvantitatiivseid (valemi või võrrandina esita­tavaid) järeldusi. Püütakse kõigepealt tuletada matemaatiliselt rangeid üldisi reegleid ja seejärel lahendada konkreetseid ülesandeid nende reeglite rakendamise teel. Seega liigutakse üldiselt üksikule. Põhieesmärgiks on kõigepealt jõuda loodusnähtust kirjeldava valemi või võrrandini, formuleerida seadusi ning seejärel neid rakendada. Täppisteaduslik seletus ülalpool kirjeldatud katsele kahe paberilehega tuleneb vedeliku või gaasi voolamist kirjeldavast Bernoulli võrrandist, mis aga ei kuulu kooli ainekavasse. 

Füüsikas kasutatakse palju mõlemat käsitlusviisi. Normaalne on, et loodusteadusliku käsitlusviisi omandamine eelneb täppisteadusliku käsitlusviisi tekitamisele. Põhikooli füüsikas domineeris selgesti loodusteaduslik lähenemine. Käesolev FLA kursus püüab seda joont jätkata. Gümnaasiumi füüsika ülejäänud neli kursust sisaldavad aga juba päris palju täppisteaduslikku käsitlust. Füüsikas soovitakse kindlasti välja jõuda täppisteaduslikkuseni, mistõttu asutakse pahatihti liiga vara kasutama valemeid ja võrrandeid. Sellega kaasneb aga oht rakendada valemeid sümbolpimedalt, nende mõtet mõistmata (p.1.1.4), vastavast loodusnähtusest kujutluspilti omamata.

Teaduslike teadmiste saamine füüskas

1967. aastal avastas Jocelyn Bell Burnell pärast mitmeid kuid kestnud vaatlusi ja paljude kilomeetrite andmesalvestuslindi läbivaatamist pulsarid. Need kosmilised objektid on märkimisväärsed eeskätt sellepärast, et kiirgavad perioodiliselt

Mistahes loodusteaduslik uurimistöö algab niisiis soovitavalt erapooletust vaatlusest, mida siiski tehakse tavaliselt mingist eelnevast teadmisest või oletusest lähtudes. Seejärel püstitatakse hüpotees, mille sisuks on tavaliselt oletus kahe loodusnähtuse omavahelise seose kohta. Nüüd tuletatakse hüpoteesist tulenevaid konkreetseid ennustusi. Nende kontrollimiseks viiakse läbi katseid või sihipäraseid vaatlusi ning võrreldakse tulemusi ennustusega. Katsete puhul on oluline nende käigu nii täpne jäädvustamine, et katseid oleks võimalik korrata kuskil mujal ja teiste teadlaste poolt. Väga tähtis on ka katsetulemuste võimalikult ühene tõlgendatavus. Vastavalt katsetulemustele leiab aset hüpoteesi kinnitamine või ümberlükkamine. Teadusliku uurimise protsessis võib ummikusse jõudes ka mistahes etapist tagasi pöörduda ja uuesti alustada. Teadusliku meetodi osaks on kujunenud nõue kasutatavaid mõisteid täpselt defineerida ja järjekindlalt kasutada teaduskeelt, milles sõnadel on väga kindlad tähendused. Loodusteadustes on need enamasti füüsikaliste suuruste definitsioonid. Kõik teadusliku uurimistöö etapid peavad põhimõtteliselt olema jälgitavad ja korratavad, kasutatud allikatele tuleb ettenähtud viisil viidata. Töö tulemused avaldatakse teadusajakirjades ja neid hindavad kõigepealt ajakirjade toimetuste poolt määratavad sõltumatud asjatundjad ning hiljem kogu teadusüldsus. Mingi eksperimentaalne teadustulemus muutub üldtunnustatud eksperimentaalseks faktiks alles pärast seda, kui sama tulemuse on saanud paljud erinevad teadlased erinevates laborites üle kogu maailma. Seega on tulemuse tunnustamine teadlaskonna avalik ja enamasti üksmeelne otsus. 

Pulsarid on ülikiiresti pöörlevad massiivsed neutrontähed, mis kiirgavad oma magnettelje sihis raadiolaineid. Et pulsari magnettelg ning pöörlemistelg ei pruugi kattuda, võib maapealsele vaatlejale jääda mulje, et täht kiirgab perioodiliselt nagu majakas. Tegelikult kiirgab pulsar pidevalt.

Kõik eelnev käsitles eksperimentaalset loodusteadust, kus hüpoteese oli võimalik kohe katseliselt kontrollida. Kaasajal tehakse aga palju ka puhtalt teoreetilist teadustööd. Teoreetiline loodusteadus lähtub üldtunnustatud ja kõigis senistes katsetes kinnitust leidnud faktidest looduse kohta ja enamasti püüab antud loodus­nähtuse kirjeldamisel rakendada mingit uut matemaatilist mudelit. Päris uus teooria tugineb mingile seni mitte kasutatud lähte-eeldusele ehk postulaadile. Teooria üksikjäreldused tuletatakse antud loodusteaduse üldistest printsiipidest ja arendatava teooria konkreetsetest postulaatidest. Teoreetilise tulemuse usaldus­väärsuse tagab esialgu mitte eksperiment, vaid läbiproovitud matemaatiliste võtete korrektne sooritamine ja loogikareeglite täpne järgimine. Teaduslikke teooriaid tunnustab või lükkab tagasi teadlaskonna enamuse seisukohavõtt. Teooriaid vaidlustatakse enamasti nii, et viidatakse looduse olulistele omadustele, mida vastav teooria pole arvestanud. Mingit teooriat tunnustatakse lõplikult alles siis, kui sellest teooriast lähtuvad ennustused on saanud eksperimentaalse kinnituse. Näiteks võeti Albert Einsteini poolt aastal 1916 formuleeritud üldrelatiivsusteooria teadusüldsuse poolt omaks pärast seda, kui kaks sõltumatut vaatlejate rühma tegid 1919. aasta päikesevarjutuse ajal kindlaks, et Päikesest lähedalt mööduv kaugete tähtede valgus kaldub Päikese gravitatsiooni­väljas kõrvale just niipalju, kui seda oli ennustanud üldrelatiivsusteooria. Kaasajal on teoreetiline osakestefüüsika ligikaudu 50 aastat eksperimentaalsest ees. Nii palju võtab aega tehniliste võimaluste loomine teoreetikute ühe või teise ennustuse katseliseks kontrollimiseks. Näiteks ennustas Peter Higgsi poolt juhitud teadlasrühm Higgsi bosonite olemasolu aastal 1964, esimesed katseandmed nende osakeste kohta saadi kevadel 2012, usaldusväärselt avastatuks tunnistati Higgsi bosonid aga alles märtsis 2013. Higgsi bosonid on osakesed, mis lõppkokkuvõttes põhjustavad kehade inertsust ehk kalduvust säilitada oma liikumisolekut (lähemalt sellest p.3.5.1).

Osa Euroopa Tuumauuringute keskuse ATLAS detektorist, millega avastati Higgsi boson. Detektori suurusest annavad aimu valgete kiivritega inimesed pildi alumises servas.

Kõik ülalpool tehtud üldised tähelepanekud loodusteaduste kohta kehtivad täielikult ka füüsikas. Füüsika on empiiriline ehk kogemuslik teadus, kuna info looduse kohta saadakse läbi vaatleja aistingute. Seetõttu on vaatlus kahtlemata füüsika tähtsaimaks töövahendiks. Samas ei pruugi vaatluse ajal looduses realiseeruda kõik võimalikud erinevad olukorrad ja tingimused. Mõni nähtus võib olla väga haruldane või looduses iseseisvalt üldse mitte toimuda. Siin aitab füüsikuid teine töövõte – katse ehk eksperiment. Katse käigus võib nähtust ise esile kutsuda ja uuritavaid objekte vastavalt soovile ka ise mõjutada. Eksperiment tuleb enne läbiviimist alati hästi läbi mõelda ja planeerida. Eksperimendile järgneb reeglina andmetöötlus. Füüsikas püütakse uuritavaid objekte ja nähtusi maksimaalselt kirjeldada arvude abil. Arvuliste andmete töötlemine matemaatiliste meetodite abil võimaldab uuritavat paremini mõista ning väärtuslikku lisateavet saada. Näite andmetöötluse kohta teeme läbi allpool (p. 2.4.3).

1905. aastal ilmus Albert Einsteini sulest neli kaasaegse füüsika arengusse oluliselt panustanud artiklit. Neis püstitas ta muuhulgas erirelatiivsusteooria alusprintsiibid. Pildil on kolmanda, erirelatiivsusteooriat kajastava artikli neljanda paragraafi väljavõte, milles kirjeldatakse relativistlikul kiirusel liikuva sfääri x telje sihilist lühenemist vaatleja taustsüsteemis.

Uuritavad objektid ja nähtused erinevad alati üksteisest mingite omaduste poolest. Näiteks vääriskivid erinevad suuruse, kuju, värvi, kõvaduse ja kauniduse poolest. Osa neist omadustest on arvuliselt kirjeldatavad, teised mitte. Rubiinikristalli pikkust ja isegi kõvadust saame arvude abil kõigile ühtemoodi mõistetavalt kirjeldada, kuid vääriskivi emotsionaalset mõju inimesele mitte. Füüsikalise objekti mingi omaduse sellist kirjeldust, mida saab väljendada arvuliselt, nimetatakse füüsikaliseks suuruseks. Lähemalt tuleb sellest juttu punktis 3.1.3. Mõnikord öeldakse lihtsalt, et füüsikaline suurus ongi objekti arvuliselt kirjeldatav omadus. Siiski ei tohi unustada, et füüsikaline suurus on vaid inimlik väljamõeldis, vaatlejate ühine kokkuleppeline kujutlus, loodusobjekti mudel. Füüsikalisteks suurusteks on näiteks keha mass või ruumala, keha liikumise kiirus, keha temperatuur või aine hulk kehas.

Pildil on saepuru alla maetud lumi, mida üle suve peetakse. Aga kas saepuru kiht on ikka piisav? Sellele küsimusele on mõistlik otsida vastust kevadel, mitte suvel ning igasugune arutelu algab siin mõõtmistest.

Põhjendatud hinnangu andmist füüsikalise suuruse väärtusele nimetatakse selle suuruse mõõtmiseks. Veelgi lihtsam on aga öelda, et mõõtmine on füüsikalise suuruse väärtuse võrdlemine mõõtühikuga. Vajadus mõõtmiste järele tuleneb asjaolust, et vaatleja ei või täielikult usaldada oma meeleelundeid. Üksikisiku meeleline taju on subjektiivne ja vaatlustulemus oleneb isiku eelnevast kogemusest. Eksituste vältimiseks tuleb kasutada mõõtmisi. Tsiteerigem siin katselise loodusteaduse alusepanijat Galileo Galileid, kes on öelnud: „Mõõta tuleb kõike, mis on mõõdetav ja püüda mõõdetavaks teha, mis seda veel pole.“ Tõeline loodusteadus algab mõõtmistest.

Mõõtmised füüsikalistes loodusteadustes

Küsigem nüüd: milles ikkagi seisneb mõõtmine? Kuidas mõõdetava suuruse arvväärtus kindlaks tehakse? Kõik me teame, et näiteks õuna massi saab määrata kaalumise teel. Selleks asetatakse ühele kaalukausile õun ja teisele sellises koguses teadaoleva massiga kaaluvihte, et kaal tasakaalu jääks. Me võrdleme kaalude abil õuna ja vihte. Mõõtmine seisneb alati tundmatu suuruse võrdlemises teadaolevaga. Näiteks pliiatsi pikkuse mõõtmisel võrdleme seda mõõtjoonlauale kantud jaotise (kriipsude vahe) pikkusega ning määrame, kui mitu joonlaua jaotist mahub pliiatsi pikkusesse. Samamoodi võiksime koolilaua pikkust või laiust mõõta, võrreldes laua pikkust õpiku pikkusega. 

Otseses mõõtmises loetakse meid huvitava füüsikalise suuruse väärtus vahetult mõõteriista skaalalt.

Mõõtmine on mingi füüsikalise suuruse konkreetse väärtuse võrdlemine sama suuruse teise, mõõtühikuks võetud väärtusega. Võrdlemise tulemusena saadud arvu nimetatakse mõõtarvuks ehk mõõdetava suuruse arvväärtuseks. Eelnenud näidetes oli uuritavaks objektiks pliiats või koolilaud. Füüsikaliseks suuruseks oli pikkus, suuruse konkreetseks väärtuseks oli vaadeldava pliiatsi pikkus. Mõõtühikuks oli pliiatsi mõõtmisel mõõtjoonlaua jaotise pikkus (1 cm), koolilaua pikkuse mõõtmisel aga õpiku pikkus. Mõõtühik on füüsikalise suuruse (nt pikkus) konkreetne väärtus, mida kokkuleppeliselt kasutatakse sama suuruse teiste väärtuste (nt pliiatsi pikkus) arvuliseks iseloomustamiseks

Mõõtmisi saab jagada otsesteks ja kaudseteks. Otsene on selline mõõtmine, mille korral meid huvitav füüsikalise suuruse väärtus on vahetult loetav mõõteriista skaalalt. Kaudne on mõõtmine, mille korral mõõtetulemus leitakse arvutuste teel otsemõõdetud suuruste kaudu. Näiteks auto kiirust saab otseselt mõõta spidomeetri abil, aga ka leida kaudselt, arvutades kiiruse mõõdetud teepikkuse ning sõiduaja jagatisena.

See seade mõõdab esmalt puidu elektrijuhtivuse ning arvutab siis mõõtmistulemusest hinnangulise puidu niiskusesisalduse. Tegemist on kaudse mõõtmisega.

Ülalpool tõime mõõtmistega seonduvaid näiteid füüsika vallast, aga põhimõtteliselt samamoodi tehakse mõõtmisi ka teistes loodusteadustes. Pole liigne rõhutada, et mõõteprotseduurid teistes loodusteadustes on enamasti algselt välja töötatud füüsikas. Kasutatakse koguni mõistet füüsikalised loodusteadused. Nende teaduste hulka kuuluvad peale füüsika kindlasti ka keemia ja geoloogia, samuti piiriteadused (nt füüsikaline keemia, biofüüsika). Füüsikalistele loodus­teadustele on omane füüsika üldmudelite (näiteks füüsikaliste suuruste pikkus, kiirus, aeg, mass, energia) ulatuslik kasutamine, füüsikaliste uurimismeetodite rakendamine ja füüsikaliste mõõteprotseduuride järgimine. 

Mõõtmised ja mõõteseadused
Mõõtmisprotsess ja mõõteseadusandlus
Kas see samm on sama pikk kui eelmine?

Eelmises punktis (p.2.1.3) oli juttu koolilaua pikkuse mõõtmisest, kasutades mõõt­ühikuna õpiku pikkust. Kui me näiteks paneme sellise mõõtmise tulemuse kirja kujul Koolilaua pikkus on viis ja pool õpiku pikkust, siis tekib meie kirjutise lugejal terve rida küsimusi. Kõigepealt, millise õpikuga oli tegemist? Miks valiti ühikuks just selle õpiku pikkus? Kas pikkus tähendab pikema külje mõõdet? Kuidas tagati ühe ja sellesama õpiku pikkuse viie- või kuuekordne kasutamine, kui polnud võimalik viit õpikut ritta asetada, sest viit ühesugust õpikut lihtsalt polnud? Kas viis ja pool tähendab täpselt 5,5 või on see mingi väärtus 5,4 ja 5,6 vahel? Või hoopis lihtsalt 5 ja 6 vahel? Mõõtetulemus ilma mõõteprotsessi kirjelduseta on suhteliselt väheväärtuslik, kuna tulemusega tutvuja ei tea, kui tõsiselt ta peaks seda tulemust võtma. Samuti pole kuigi otstarbekas kasutada sellist mõõtühikut, mida on raske üheselt kirjeldada ja teiste mõõtjate poolt samasugusena taastada.

Ka Eestis müüakse mõõdulinte, millele on märgitud nii sentimeetrid kui tollid.

Märkame, et mõõteasjanduses peavad kehtima kindlad kokkulepped, tagamaks mingi mõõtmise korratavust ja vältimaks ülearu pikki mõõtmisprotsessi kirjeldusi. Seda mõisteti juba keskajal, mil iga suurema linna ümbruses kasutati selle linna valitsuse poolt kehtestatud mõõtühikuid. Näiteks olid Vana-Liivimaal mahuühikutena kasutusel Tallinna vakk (44,277 liitrit) ja Riia vakk (66,415 liitrit), Tallinna toop (1,09 liitrit) ja Riia toop (1,32 liitrit). Sõltumatu mõõdusüsteemi omamine oli konkreetse linna kindel eriõigus ehk privileeg, osa tema iseolemisest. See süsteem toimis hästi meie poolt ajaloos õpitud naturaalmajanduse tingimustes, mil suurem osa elanikkonnast üldse rahaga tegemist ei teinud, äritehinguid sooritati lähima linna turul ja naaberlinnas toimuv polnud kuigi oluline. Kui uusajal tekkisid ühtsed rahvusriigid, siis tuli seoses turgude avardumisega mõõteasjandus ehk metroloogia (kr metron – mõõt) kogu riigis ühtlustada. Oli ju vaja tagada, et kõik mõõtjad saaksid mõõtmisprotsessist vähemasti selle riigi piires ühtemoodi aru. Samuti soodustas ühesuguste mõõtühikute kasutamine kaubanduse arengut, sest nii kadus vajadus pidevalt mõõtühikuid teisendada. Sai selgeks, et mõõteasjandus tuleb vastavate seadustega ära reguleerida.

Rahvusvaheline mõõtude ja kaalude büroo (Bureau international des poids et mesures) loodi 1875. aastal pärast seda, kui 51 riiki leppisid kokku üleminekus meetermõõdustikule (Treaty of Metre). Asutuse põhiline eesmärk on tagada SI ühikute ülemaailmne standardsus.

Tungiva vajaduse omaette seadusandluse järele mõõteasjanduses tingib tõsiste varaliste vaidluste paratamatu jõudmine kohtusse. Kujutlegem segadust, mis tekiks, kui mingi kaubakoguse ostu-müügi lepingus poleks täpsustatud mõõtühikut, mida tuleb selle kauba mõõtmisel kasutada. Loodetavasti mõistame kõik, et sada vakka teravilja keskaegses Tallinna ühikusüsteemis ja Riia süsteemis on sootuks kaks eri asja. Tänapäeval tuleb pea kõigil inimestel maksta kasutatud vee ja elektrienergia eest. Vastavaid korrektseid arveid saab aga esitada ja neid on mõtet tõrkumata tasuda vaid juhul, kui vett või elektrienergiat on mõõdetud kehtivate õigusnormide kohaselt. 

Eesti Vabariigi seadustega on politseiametnik kohustatud tutvustama autojuhile dokumente, mis tõendavad, et auto kiiruse mõõtmine on toimunud vastavuses mõõteseadusega.

Omaette valdkonna moodustavad õigusrikkumised, mida tuvastatakse mõõtmise teel. Tuntuim näide selle kohta on liikluspolitsei poolt autojuhile määratav trahv lubatud kiiruse piirmäära ületamise eest. Kuna seaduses ettenähtud trahvisumma on tugevas sõltuvuses rikkumise ulatusest, siis muutub ülioluliseks politsei poolt teostatud kiirusmõõtmise korrektsus. Me õpime praegu mõõteasjandust mitte niivõrd füüsika vajadustest lähtuvalt, vaid eelkõige põhjusel, et kõik kodanikud peavad hästi mõistma lihtsat tõdeebakorrektse mõõtmise alusel esitatud pretensioon on õigustühine! Näiteks oli mõõteasjandus taasiseseisvunud Eesti Vabariigis esialgu reguleerimata, mistõttu polnud kuigi raske liikluspolitsei poolt tehtud trahviotsuseid kohtus vaidlustada. Metroloogiat tundvad kodanikud võisid end sellega lausa lõbustada, sest vastavat seadusandlust polnud veel olemas. 

Tänapäeval seondub mõõtmine omaette teadus- ning ärisektoriga. Pildil on komparaatorkaal, millega saab kaaluda kuni 64 kg raskusi täpsusega 0,4 mg.

Tänapäeval reguleerib Eestis kõike mõõtmistega seonduvat 2004. aastal kehtestatud Mõõteseadus. Soovi korral saab igaüks Mõõteseadusega täies pikkuses tutvuda elektroonilises Riigi Teatajas. Mõõteseaduse täitmine on kohustuslik kõigile, kelle tegevus on mingilgi viisil mõõtmistega seotud. Piirkiiruse ületamise eest trahvi määrav politseiametnik on kohustatud tutvustama autojuhile dokumente, mis tõendavad, et auto kiiruse mõõtmine on toimunud täies vastavuses Mõõteseadusega.

Eesti Vabariigi Mõõteseaduse peamised reguleerimisalad on järgmised:

– Rahvusvahelisele mõõtühikute süsteemile (SI) vastavate mõõtühikute (vt p.2.3) kasutamise tagamine Eestis. 

– Seaduses on öeldud, et rahvusvahelise mõõtühikute süsteemi kasutamine on Eestis kohustuslik majandustegevuses, rahvatervise ja avaliku ohutuse valdkonnas, haldus- ja õppetegevuses. 

– Mõõtetulemuste jälgitavuse tõendamine. Seadus nõuab, et juriidiliselt korrektseid mõõtmisi teostaks vastavat tunnistust omav mõõtja, kes kasutab sobivaks tunnistatud mõõtevahendeid.

– Mõõtevahendite kontroll ja taatlemine. 

– Mõõtmistegevuse riikliku järelevalve korraldus. 

Mõõteseaduses on defineeritud kõik olulised mõõteasjanduslikud ehk metroloogilised mõisted. Järgmises alapunktis refereerime ja kommenteerime vastavaid määratlusi. 

Mõõtesuurused, mõõtevahendid ja mõõteriistad
Cumulunimbus tüüpi vihmapilved Ölandi saare lähistel. Temperatuur, õhuniiskus, sademete hulk, õhurõhk, pilvede katvus, tuule suund ja kiirus, UV-indeks ning atmosfääri optiline tihedus - need on vaid mõned kvantitatiivsed mõõtesuurused, millega kail seisvatele inimestele lähenevat ilma kirjeldada.

Mõõtmiste teel määratakse küll enamasti füüsikaliste suuruste väärtusi, kuid korrektselt mõõta on vaja ka suurusi, mis kuuluvad rohkem keemia töömaile (nt vesinikueksponent ehk pH, lisandi molaarne kontsentratsioon jne). Seepärast on mõõteseaduses defineeritud üldisem mõiste – mõõtesuurus. Mõõteseaduse kohaselt on mõõdetav suurus ehk mõõtesuurus nähtuse, keha või aine oluline omadus, mida saab kvalitatiivselt eristada ja kvantitatiivselt määrata. Väljend kvalitatiivselt eristada tähendab ühe suuruse (nt kiirus) eristamist teisest suurusest (pikkus). Kvantitatiivselt määrata tähendab – arvväärtust leida. Kiirus kui mõõtesuurus on nähtuse omadus, pikkus on keha omadus ja tihedus on aine omadus. Mõõtetulemus on mõõtmise teel saadud mõõtesuuruse väärtus. 

Mõõtesuuruse väärtus on konkreetse suuruse kvantitatiivne (arvuline) määrang, mida tavaliselt väljendatakse arvväärtuse ja mõõtühiku korrutisena. Sõna konkreetne rõhutab jällegi kindlat loodusobjekti, mida parajasti mõõdetakse. Pikkus on mõõte­suurus, aga ühe kindla pliiatsi pikkus on juba konkreetse mõõtesuuruse väärtus. Sõna tavaliselt tähendab, et suuremal osal mõõtesuurustest on küll mõõtühik olemas, kuid leidub ka suurusi, millel see puudub. Mõõtühikuta füüsikalisi suurusi (nt hõõrdetegur või murdumisnäitaja) õpime tundma gümnaasiumi järgnevates füüsikakursustes. See, et mõõtesuuruse väärtust tuleb esitada arvväärtuse ja mõõtühiku korrutisena, peaks meile olema teada juba põhikooli füüsikast. Ei ole piisav kirjutada, et pliiatsi pikkus on 14. Mõõtühikut omava suuruse mõõtmise tulemusel on mõte vaid mõõtühiku äratoomise korral. Seega tuleb kirjutada: pliiatsi pikkus on 14 cm

See ilmavaatlusteks kasutatav kapp sisaldab mitmesuguseid mõõteriistu, millega mõõdetakse mõõtesuuruste arvväärtusi. Parasjagu loetakse õhuniiskust.

Mistahes mõõtmise läbiviimiseks on kindlasti vaja mõõtevahendit. Mõõtevahend on kindlate omadustega tehniline vahend, mida saab kasutada mõõtmiste sooritamiseks kas üksi või koos lisaseadmetega. Temperatuuri mõõtmise vahendiks võib olla näiteks mingile alusele keritud pikk vasktraat, kuna selle elektritakistus sõltub temperatuurist. Ainult traadi abil me aga temperatuuri väärtust teada ei saa. Me vajame lisaseadmena takistusmõõtjat. Üldiselt on mõõtmiste korral alati tegemist mõõtesignaaliga ehk endas mõõtarvu kandva infoga. Mõõtarv aga ei pruugi olla sellest otsekohe välja loetav. Vasktraadi kui temperatuuri mõõtmise vahendi korral on mõõtesignaaliks takistusmõõtja näit, aga see ei esine mõõtjale kui vaatlejale vahetult tajutaval kujul. Mõõtevahend (traat) on koos abivahendiga (takistusmõõtja) kasutatav temperatuuri mõõtmiseks alles siis, kui takistusmõõtja näit on kõigi kehtivate reeglite kohaselt viidud vastavusse temperatuuri väärtustega. See vastavusse viimine on tuntud kui mõõte­vahendi kalibreerimine

Mõõtevahendit, mis esitab mõõtesignaali juba vaatlejale vahetult tajutaval kujul, nimetatakse mõõteriistaks. See tähendab, et mõõteriista korral me võime mõõte­suuruse väärtust lugeda mõõteriista skaalalt või numbriliselt tabloolt. Mõõteriistadeks on näiteks joonlaud, sekundkell, termomeeter või ampermeeter. 

Etalonid ja mõõteriistade taatlemine
Ka auto väärtuse hindamisel peavad hindajad kokku leppima, millega nad mõõdetavat suurust hindavad.

Seda teadaolevat mõõtesuuruse väärtust, millega mõõtmise käigus mõõdetavat suurust võrreldakse, nimetatakse teatavasti mõõtühikuks. Kuna mistahes füüsikaline suurus kui mõõtesuurus on vaatlejate ühine kujutlus (looduse mudel, mitte loodus ise), siis on seda ka vaadeldava suuruse mõõtühik. Mõõtjad peavad kokku leppima selles, millega nad mõõdetavat suurust võrdlevad. Kui aednik soovib ruudukujulise lillepeenra kontuure maha märkida, võib ta kasutada mistahes pikkusega nöörijuppi. Lillepeenart nööri pikkusega võrreldes saab aednik oma lillepeenra kõik küljed ühepikkuseks mõõta. Kui naaberaednik peab kõnealust peenart sedavõrd kauniks, et otsustab oma aias samasuguse lillepeenra rajada, siis ei piisa tal peenra väljamõõtmiseks teadmisest, kui mitu nöörijupi pikkust peenra külg pikk on. Ta peab kas saama kasutada sedasama nöörijuppi või siis teadma, kui mitu sentimeetrit pikk oli algsel mõõtmisel kasutatud mõõdunöör. Erinevad mõõtjad peavad kokku leppima ühesugused mõõtühikud

Seda anumat kasutatakse termomeetrite kalibreerimiseks. Kalibreerimise ajal on anumasse kallatud vesi kolmikpunktis, ehk korraga vedelik, tahkis ning aur. Niisugune nähtus juhtub veega vaid kindlal rõhul ja temperatuuril.

Niisiis on mõõtühik kokkuleppeline suurus. Mõõtühikut on võimalik kokku leppida vaid siis, kui kõik mõõtjad saavad oma isikliku mõõtevahendi valmistamisel lähtuda ühest ja samast mõõtühiku näidisest. Mõõtühiku kokkuleppimisel kasutatavat näidist nimetatakse mõõtühiku etaloniks (pr étalon – sugutäkk). Mõõteseadus ütleb põhimõtteliselt sama veidi detailsemalt: „etalon on materiaalmõõt, mõõteriist, etalonaine või mõõtesüsteem, mida kasutatakse mõõtühiku või sama liiki suuruse mõnede teiste väärtuste määratlemiseks, realiseerimiseks, säilitamiseks või edastamiseks“. Kes on juba tutvunud rahvusvahelise mõõtühikute süsteemi (SI) põhiühikute definitsioonidega (p.2.3), see mõistab, et kilogrammi (1 kg) etalon on materiaalmõõt. See on üks kindel keha – plaatina (90%) ja iriidiumi (10%) sulamist valmistatud, ühesuguse läbimõõdu ja kõrgusega (39,17 mm) silinder. Sekundi (1 s) etalon on põhimõtteliselt mõõteriist – tegemist on aatomkellaga, mis töötab element tseesiumi (Cs) isotoobil massi­arvuga 133. Elektrivoolu tugevuse SI ühiku amper (1 A) etalon on mõõtesüsteem, mida sageli nimetatakse ka amperkaaluks. Kahe paralleelse juhtme vahel mõjuvat jõudu mõõdetakse ülitäpsete kaaludega.

Kiirusradari taatlemine. Sinaka ekraaniga multimeetri ekraanilt paistab sageduslugem, mille põhjal võib oletada, et see radar mõõdab lähenevate objektide kiirust Doppleri efekti alusel.

Temperatuuri SI-ühiku kelvin (1 K) etaloniks on puhas vesi kui etalonaine: 1 K on 1/273,16  puhta vee kolmikpunkti temperatuurist. Mõõteseadus ütleb: „etalonaine on aine, mille mingi omaduse väärtused on piisavalt ühetaolised ja täpselt määratud, et kasutada seda mõõtevahendite kalibreerimisel…“ Niisiis, on kelvini definitsiooni aluseks vee kui aine omadus, mille kohaselt puhta vee kolmikpunkt ehk lihtsamalt öeldes jää sulamistemperatuur on piisavalt ühetaoliselt ja täpselt määratud

Mõõtevahendite ja mõõteriistade omadused võivad ajas muutuda. Seetõttu tuleb õiguslikku aspekti omavatel mõõtmistel kasutatavaid mõõtevahendeid ja mõõteriistu perioodiliselt taadelda. Mõõteseadus ütleb, et „..taatlemine on protseduur, mille käigus pädev taatluslabor või teavitatud asutus kontrollib mõõtevahendi vastavust kehtestatud nõuetele ja märgistab nõuetele vastavaks tunnistatud mõõtevahendi taatlusmärgisega. Taatlusmärgis on taatluskleebis, taatlusplomm või taatlustempli jäljend. Mõõtevahendil või mõõteriistal peab olema ka tüübikinnitus. See on pädev otsustus, mille kohaselt vaadeldavat tüüpi mõõtevahend vastab õigusaktidega kehtestatud nõuetele ning on kasutatav õiguslikult reguleeritud toimingutes, võimaldades teatud ajavahemiku ehk taatluskehtivusaja jooksul saada usaldatavaid mõõtetulemusi.“ Neis määratlustes korduvalt esinenud sõna pädev tähendab, et taatlusprotseduuride läbiviijate teadmisi, oskusi ja nende käsutuses olevaid vahendeid on kontrollitud veelgi kõrgema tasemega ning paremini varustatud taatlejate poolt. Kontrolli tulemustega on jäädud rahule ja konkreetsele taatluslaborile on antud vastav tunnistus. 

Kõrvaloleval pildil on kiirusmõõtjal näha valge taatluskleebis. Järgneval pildil on kujutatud elektrienergia arvestit, mille parempoolses alanurgas on näha roosat värvi taatluskleebis

Mõistagi peavad kõik teaduslikud mõõteriistad olema korrektselt taadeldud. Samas on mõõtmine koolifüüsika laboratoorsetes töödes ju vaid reaalse mõõtmise mäng, kuna laboritöödes tehtavatel mõõtmistel pole õiguslikke tagajärgi. Vastavalt pole kooli füüsikakabinetis kasutatavate mõõteriistade taatlemise nõue väga range. Selleks, et mäng oleks õpetlik, tuleb vaid täita mängu käiku mõjutavaid reegleid. Kõigi füüsikakabinettide varustuse regulaarne taatlemine läheks liiga kalliks. 

Mõõteriistade taatlemise temaatikaga võib igaüks praktiliselt tutvuda, uurides oma maja või korteri veemõõtjaid või elektrienergia arvesteid. Kindlasti leiame igalt nimetatud mõõteriistalt kas taatluskleebise või taatlustempli jäljendi. Näeme ka, et elektrienergia arvestil (ehk rahvapäraselt – voolumõõtjal) on kõik ühenduskohad elektrijuhtmestikuga plommitud – ühendatavatest detailidest on läbi aetud vasktraat, mille otsad on omakorda kokku pandud pitserit kandva tinaplommiga. Samalaadselt on plommitud veemõõtjate ühendusmutrid. Plommide vigastamatus tõendab, et mõõteriista ei ole kahe kontrollimise vahel omavoliliselt maha monteeritud, mõjutamaks tema näitu mahavõtjale kasulikus suunas. 

Kleebis tõendab, et kiirusradar on taadeldud ning sellega sooritatavad mõõtmised jäävad lubatud vigade piiresse.

Mõõteriista taatluskleebisel on ära toodud taatluskehtivusaegkuupäev, milleni vastav mõõteriist on juriidiliselt korrektselt kasutatav. Selle kuupäeva lähenemisel on soovitav pöörduda mõõdetavat ressurssi (vett, maagaasi või elektrienergiat) tarniva asutuse poole sooviga, et peagi taatlus­kehtivusaega ületav mõõteriist saaks asendatud äsja taadeldud mõõteriistaga. Mõistagi võib lasta taadelda sedasama mõõteriista, kuid see tähendaks veeta, gaasita või elektrita jäämist seni, kuni mõõteriist viibib taatlus­laboris. Kui maja või korteri omanik mõõteriistade taatlemise nõuet ignoreerib, siis võib ressurssi tarniv asutus (vee-, gaasi- või elektrifirma) talle esitada põhjendamatult suuri arveid ja kohtulikult nõuda nende arvete tasumist, sest – taatlemata mõõteriista kasutamine on õiguslikult samaväärne mõõteriista puudumisega. Kui aga näiteks puhta vee tarbijal pole veemõõtjat, siis võib tarnefirma nõuda veetarbijalt kõigi veetrassi võimalikust lekkimisest tingitud kadude kinnimaksmist. Näiteks hakati peale Eesti taasiseseisvumist kõiki ressursse hoolikamalt mõõtma ning tarnefirmad esitasid just ülalkirjeldatud põhimõttel suuri vee- ja gaasiarveid klientidele, kes veel polnud raatsinud endale muretseda vee- või gaasimõõtjat. 

Rahvusvaheline mõõtühikute süsteem (SI)
Erinevad mõõtühikud ja ühikute süsteemid
Ka kassi jalg ilmselt mõõtühikuks ei sobi.

Mõtisklused etalonide päritolu üle viivad meid mõõtühikute süsteemi vajalikkuse mõistmiseni. Näiteks omal ajal Inglismaal kehtestatud pikkusühik jalg (ingl foot) olevat kokku lepitud briti meeste keskmisest jalalaba pikkusest lähtudes. Teise legendi kohaselt olevat see olnud Inglise kuninga Henry I (valitses 1100-1135) jalalaba pikkus. Samas me arvatavasti nõustume sellega, et ammu surnud kuninga jalalaba pikkus või ka mingi lõpliku arvu inglaste jalalabade keskmine pikkus pole etaloniks kuigi sobiv suurus. Mõõtühikute etalonideks peavad olema looduses muutumatuna püsivad suurused. Samas pole võimalik ega ka vajalik kõikide suuruste mõõtühikute kokkuleppimiseks looduslikke näidiseid leida. Piisab, kui lepitakse kokku vaid mõned väga stabiilse etaloniga ühikud. Kõik ülejäänud saab tuletada nende kaudu. Seetõttu liigitatakse mõõtühikud põhiühikuteks ja tuletatud ühikuteks. 

Põhiühikuteks nimetatakse vähest arvu üksteisest sõltumatuid mõõtühikuid, mida saab etalonide abil võimalikult täpselt määratleda. Ülejäänud suuruste mõõtühikud on tuletatud ühikud, mis defineeritakse põhiühikute kaudu suurustevaheliste seoste abil. Kokkulepitud põhiühikud ning neist tuletatud ülejäänud mõõtühikud moodustavad kogumi, mida nimetatakse mõõtühikute süsteemiks

Skeem, mis näitab Inglismaa ajalooliste pikkusühikute omavahelisi seoseid. Mitu furlongit on üks toll?

Juba siis, kui algelised inimesed kasutasid enda kehaosadega seotud mõõtühikuid, püüdsid nad leida ühikute vahel seoseid. Tuntumad kehaosade mõõtmetest tulenevad ühikud on järgmised: 

1 toll – pöidlalüli pikkus; 

1 vaks – väljasirutatud pöidla ja väikese sõrme vaheline kaugus; 

1 jalg – jalalaba pikkus; 

1 küünar – käsivarre pikkus väljasirutatud sõrmeotstest kuni küünarnukini; 

1 süld – laialisirutatud käte sõrmeotste vahe. 

Minevikus oli kombeks arvata, et üks süld võrdub kolme küünra või kuue jalaga. 

Kolm mõõtühikute süsteemi ühel pudelil. Lisaks õige vedelikukoguse määramisele saaks seda pudelit kasutada mahuühikute teisendamise vahendina - kaks ühes.

Üleriigilised mõõtühikute süsteemid kehtestati 17.-19. sajandil. Kuna Eesti kuulus kuni aastani 1917 Vene tsaaririigi koosseisu, siis kehtis ka Eestis nimetatud aastani Vene pikkusmõõtude süsteem, mille peamised seosed olid järgmised: 

1 toll = 2,54 cm;

1 küünar = 12 verssokit = 21 tolli = 53,3 cm; 

1 arssin = 16 verssokit = 28 tolli = 71,7 cm;

1 süld = 3 arssinat = 2,13 m; 

1 verst = 500 sülda = 1,067 km;

1 penikoorem = 7 versta = 7,468 km. 

1824. aastal kehtestati kogu Briti impeeriumis ametlik mõõtude süsteem (System of Imperial Units), mille aluseks oli pikkusühik jard (Imperial yard, 1 yd = 0,9144 m). Kolmandik jardi moodustab jala (foot, 1 ft = 30,48 cm) ja üks toll (inch) on 1/12  jalga (1 in = 2,54 cm). Jardi, jala ja tolli süsteemiga puutume kokku, vaadates Ameerika filme, kuna USA-s, Kanadas, Inglismaal ja Austraalias kehtib imperiaalne mõõtude süsteem väikeste muudatustega argielus veel tänapäevalgi. Pikemaid vahemaid mõõdetakse miilides (1 mi = 1760 yd = 1,609 km), ruumala pintides (0,568 dm3) ja gallonites (8 pinti = 4,55 liitrit), massi naelades (0,454 kg) ja untsides (1/16  naela = 28,4 g). 

19.-20. sajandil võeti enamikus mitte-ingliskeelsetes riikides järk-järgult kasutusele meetermõõdustik. Meetermõõdustikust lähtub ka tänapäevane rahvusvaheline mõõtühikute süsteem (SI), mis aastal 1960. aastal ülemaailmseks eelissüsteemiks tunnistati. Rahvusvaheline mõõtühikute süsteem on alates 1982. aastast kohustuslik ka Eestis. Isegi ülalpool loetletud ingliskeelsetes maades kasutavad teadlased süsteemi SI, kuna teadusajakirjade toimetused ei kipu tänapäeval enam vastu võtma artikleid, mis sisaldavad teiste süsteemide ühikuid.

Ametlik brošüür, milles defineeritakse SI ühikud ning antakse juhised nende kasutamiseks. Brošüüri 2008. aasta trükis on 186 lehekülge, millest esimene pool on kirjutatud prantsuse keeles, teine pool aga inglise keeles. Vahel osutub, et lisaks ühikutele tuleb "teisendada" ka keeli.

Rahvusvahelise mõõtühikute süsteemi loomine sai alguse revolutsiooniliselt Prantsus­maalt, kus üks aasta peale Bastille’i vallutamist, seega aastal 1790, tehti algust meetri defineerimisega (kr metron – mõõt). Prantsuse keelest pärineb ka selle süsteemi lühend SI (Système International d’unités). Üle maailma kehtivaid otsuseid süsteemi SI kohta võtab vastu Kaalude ja Mõõtude Peakonverents (pr Conférence Générale des Poids et Mesures lühendatult CGPM). SI algseteks (1960) põhiühikuteks olid pikkuse ühik meeter, massi ühik kilogramm, aja ühik sekund, temperatuuri ühik kelvin, elektrivoolu tugevuse ühik amper ja valgustugevuse ühik kandela. Aastal 1971 lisati neile ka ainehulga ühik mool. Tegemist on detsimaalse süsteemiga, st suuremate ja väiksemate ühikute saamiseks kasutatakse kümnendeesliiteid (kümne astmetega korrutamist või jagamist), mitte enam arve 3, 12 või 16, mida võisime leida vanadest Vene ja Inglise süsteemidest.

Meeter, sekund ja kilogramm
Aastail 1889-1960 oli meetri etalon X-kujulise ristläbilõikega iriidiumsulamist latt. Selle pikkus loeti täpseks jää sulamise temperatuuril. Pildil on USA-s hoiul olnud variant nr. 27. Nüüd on meeter defineeritud teepikkusena, mille läbib valgus vaakumis 1/299792458 sekundiga.

On väga oluline mõista, et mõõtühikute süsteemid pidevalt arenevad. Mõõtühiku etalon, mis mingil ajal oli piisavalt hea, osutub mõõtetehnika kõrgema arengutaseme tingimustes sobimatuks ning asendatakse uuega. Seetõttu vaatleme detailselt süsteemi SI tähtsaimate ühikute meetri, sekundi ja kilogrammi määratluste ajaloolist arengut. 

Juba aastal 1668 tehti ettepanek, et universaalse pikkusühiku etaloniks võiks võtta kergest ja venimatust nöörist ja selle otsas rippuvast väikesest massiivsest kehast koosneva süsteemi ehk matemaatilise pendli. Kui sellise pendli omavõnkumiste poolperiood (aeg, mille jooksul pendel liigub ühest äärmisest asendist teise) on üks sekund, siis peab pendli pikkus olema ligikaudu üks meeter. Pendlist kui meetri etalonist siiski loobuti. Samas oli just niiviisi asutud otsima praegu tuntud meetrile lähedast pikkusühikut. 

Pikkuskomparaator UPC-100, millega kalibreeritakse otsmõõte. Täpsete otsmõõtudeta oleks näiteks mõõdulint suhteliselt väärtusetu tööriist.

Prantsuse Teaduste Akadeemia otsustas 1790. aastal defineerida meetri kui ühe kümnemiljondiku (1/10 000 000) Pariisi kohal mööda maapinda mõõdetud kaugusest ekvaatori ja põhjapooluse vahel. Aastatel 1792-1799 mõõdeti ära Pariisi läbiva meridiaani pikkus Dunkerque’i [dökerk] linnast Põhja-Prantsusmaal kuni Barcelonani Hispaanias. Saadud meridiaanitüki pikkuse järgi arvutati kogu veerandmeridiaani pikkus ehk kaugus poolusest ekvaatorini. Nii sai esimeseks meetri etaloniks Maa. Järgnevalt valmistati mitmel korral meetri prototüüpe ehk metallvardaid, millele graveeritud kriipsude vahe oli 1 meeter. 20. sajandi keskel osutus metallvardale märgitud meeter arenenud mõõtetehnika oludes liiga ebatäpseks. Valguse lainepikkust suudeti mõõta juba palju täpsemini kui kriipsude vahet mingil vardal. Aastal 1960 defineeriti meeter pikkusena, mis on 1650763,73 korda suurem kui väärisgaas krüptoon-86 aatomist kahe kindla elektronoleku vahelisel siirdel kiirguva valguse lainepikkus vaakumis. Peagi polnud ka see meetri määratlus füüsikute jaoks enam piisavalt hea. Üks meeter on kaasajal pikkus, mille valgus läbib vaakumis 1/299 792 458 sekundiga. Seega loetakse valguse kiiruse väärtust vaakumis c = 299 792 458 m/s avalikes rakendustes täpseks. 

Aatomkell FOCS 1 eksib 30 miljoni aastaga ühe sekundi. Üha täpsemaid kellasid ei arendata pelgalt spordist. Nendega kalibreeritakse muu hulgas positsioneerimissatelliite ning mõõdetakse aja dilatatsiooni.

Aja põhiühiku sekund (ld secundus – teine, 1 s) kõige algsemaks etaloniks on tõenäoliselt terve inimese südametsükli kestus. Me ju teame hästi, et normaalne pulss on 60 südamelööki minutis ehk täpselt üks löök sekundis. Kuni aastani 1956 oli sekundi ametlikuks etaloniks Maa ööpäevane pöörlemine. Sekund oli defineeritud kui 1/86 400 ööpäevast. Kui selgus, et Maa pöörlemine väga pikkamööda, aga siiski aeglustub, siis hakati otsima sekundi stabiilsemat etaloni. Praegu pole enam mõtet täpselt kirjeldada nende otsingute vahetulemusi. Sekundi kaasaegse definitsiooni aluseks on kõige raskema leelismetalli tseesiumi (Cs) isotoobil massiarvuga 133 töötav aatomkell. Üks sekund võrdub põhiolekus viibiva tseesium-133 aatomi kõige välimise kihi ainsa elektroni ja aatomi tuuma vastastikmõjust tingitud kiirguse 9 192 631 770 perioodiga. Aatomkell loendab tseesium-133 aatomis toimunud võnkeid ja arvestab ühe sekundi möödunuks, kui tehtud on 9 192 631 770 võnget.

Kilogrammi etalon Eesti metroloogia keskasutuses AS Metrosert. Selleks, et etalon püsiks võimalikult ühesugusena tuleb seda hoolikalt säilitada ja kasutada. Eriti täpseid massietalone hoiustatakse vaakumkeskkonnas.

Massiühik kilogramm (1 kg) on SI erandlik mõõtühik. Sellel pole veel looduslikku täpselt taastatavat etaloni. Kilogramm defineeriti algselt kui ühe liitri (1 dm3) puhta vee mass temperatuuril, mil vee tihedus on suurim (4 °C). Kaasajal on kilogrammi etaloniks nn rahvusvaheline prototüüp ehk plaatina (90%) ja iriidiumi (10%) sulamist silinder, mille kõrgus ja läbimõõt on võrdsed (39,17 mm). Seda säilitatakse maa-aluses hoidlas Pariisi lähedal. Lisanditega saastumise vältimiseks asub prototüüp kolmekordse klaaskupli all puhtas õhus ja tema juurde pääsemiseks läheb vaja kolme võtit, mida hoitakse kolmes eri kohas. 

Kaasajal arvab üha suurem osa metroloogidest, et uus kilogrammi etalon peaks olema valmistatud puhtast ränist. Pakutakse ka kilogrammi määratlemist ühe kindla sagedusega elektromagnetvälja kvandi (välja vähima osakese) massina, kasutades energia ja massi relativistlikku samaväärsusseost E = mc2 (p. 4.5.5) ning kvandi energia ja sageduse võrdelisust. See lahendus oleks range ja täpne, aga paraku ebapraktiline. 

Kelvin, amper, kandela ja mool
Selle etalontermomeetri pikas varres on resonaator, mille võnkesagedus sõltub temperatuurist. Termomeetri kalibreerimine on vajalik, sest muidu ei ole võimalik hinnata, mis temperatuurile üks või teine sagedus vastab.

Temperatuuri põhiühik kelvin (1 K) on saanud oma nime iiri päritoluga briti füüsiku William Thomsoni ehk lord Kelvini järgi. Juba põhikoolis õppisime seda, kuidas rootsi füüsik ja astronoom Anders Celsius (1701-1744) pani aastal 1742 ette jagada normaalrõhul (760 mmHg ≈ 105 Pa) määratava vee keemistemperatuuri ja jää sulamistemperatuuri vahe sajaks temperatuuriühikuks. Seda ühikut hakati nimetama Celsiuse kraadiks (°C). Niisiis on Celsiuse skaala järgi jää sulamistemperatuuriks 0 °C ja vee keemistemperatuuriks normaalrõhul 100 °C, ehkki Celsius ise oli skaala suuna algselt määratlenud vastupidiselt (mõõtmaks külma, mitte sooja). 

19. sajandil tehti kindlaks, et keha soojusastet näitav füüsikaline suurus temperatuur on aine osakeste kaootilise liikumise keskmise energia mõõduks. Järelikult on temperatuuril olemas loomulik absoluutne nullpunkt – temperatuur, mille juures osakeste kaootiline liikumine täielikult peatub. See ongi Kelvini ehk absoluutse või termodünaamilise temperatuuriskaala nullpunktiks. Temperatuuriühiku pikkus on Celsiuse ja Kelvini skaalades ühesugune (1 K = 1 °C), erineb vaid nullpunkt. 

Etalontermomeetrid võivad olla väga täpsed, ent neidki on vaja aeg-ajalt kalibreerida. Pildil kalibreeritakse termomeetrit termostaadiga.

Kui otsustati kasutada Celsiuse ja Kelvini skaalades sama kraadi pikkust, siis lähtuti absoluutse nulltemperatuuri väärtusest 0 K = – 273,15 °C. Vastavalt on vee kolmikpunkti temperatuur siis 273,15 kelvinit. See on temperatuur, millel jää sulab ning vesi esineb korraga kõigis kolmes aine olekus: tahkes (jää), vedelas (vesi) ja gaasilises (veeaur). Hilisemad täppismõõtmised näitasid, et jää sulamistemperatuur on siiski 273,16 K. Nüüd otsustati, et skaalade nullpunktide vaheks loetakse endiselt 273,15 kraadi (K või °C), vee kolmikpunkti temperatuuriks aga 0,01 °C = 273,16 K. Olgu veel märgitud, et kuni aastani 1968 nimetati vaadeldavat temperatuuriühikut Kelvini kraadiks (°K), analoogiliselt Celsiuse kraadiga (°C). Võtame kokku: SI põhiühik kelvin (1 K) on 1/273,16 vee kolmikpunkti termodünaamilisest temperatuurist

Eesti Metroloogia keskasutuse AS Metrosert kasutatavad alalispingeetalonid ja mõõtevahendid.

Elektromagnetnähtuste kirjeldamisel kasutatavaks SI põhiühikuks on voolutugevuse ühik amper (1 A), mis on saanud oma nime voolude magnetilise toime põhiseaduse avastaja, prantsuse füüsiku André Marie Ampère’i [ampäär] (1775-1836) järgi. Amper defineeriti algselt meie poolt põhikoolis õpitud elektrivoolu keemilise toime põhjal. Tänapäeval on ampri definitsiooni aluseks siiski elektrivoolu magnetiline toime. Üks amper on sellise muutumatu elektrivoolu tugevus, mis läbides kahte lõpmatult pikka ja paralleelset, teineteisest vaakumis ühe meetri kaugusel asetsevat kaduvväikese ringikujulise ristlõikega sirgjuhet tekitab nende juhtmete vahel iga meetripikkuse lõigu kohta jõu 2 . 10–7 njuutonit

Lõpmata pikki juhtmeid tegelikkuses mõistagi olemas ei ole. Seetõttu loetakse ampri etalonkatse teostatuks seda paremini, mida suurem on juhtmete vahe­kaugus võrreldes nende läbimõõduga ning mida pikemad on omakorda juhtmed võrreldes nende vahekaugusega. Tasub rõhutada, et ampri definitsiooni ülaltoodud sõnastuses varitseb väärtõlgenduse oht. Nimelt kipuvad paljud arvama, et jõuga 2 . 10–7 N mõjutab ühe juhtme meetripikkune lõik teise juhtme meetripikkust lõiku. Nii see ei ole. Nimetatud jõuga mõjutab terve esimene, teoreetiliselt lõpmata pikk juhe teise, esimesest 1 m kaugusel paikneva juhtme 1 m pikkust lõiku. 

Valgustugevuse mõõtühikut kandela (1 cd, ld candela - küünal) vajab SI valgus­mõõtmiste ehk fotomeetriliste mõõtmiste põhiühikuna. Nagu ütleb juba selle ühiku nimetus, on algselt tegemist keskmise küünlaleegi valgustugevusega. Üks kandela on niisuguse valgusallika valgustugevus, mis töötab sagedusel 540 . 1012 Hz ja kiirgab ühes kindlas sihis ruuminurka 1 steradiaan valguslaineid koguvõimsusega 1683 vatti. Kandela definitsiooni on siin pisut modifitseeritud suurema arusaadavuse suunas võrreldes tüüpilise teatmeteostes esineva variandiga, kuid mõte on täielikult sama. 

Sagedusel 540 . 1012 Hz ehk 540 terahertsi paikneb elektromagnetlainete skaalal normaalsele päevavalgusele kohastunud inimsilma tundlikkuse maksimum. Kõnealuse valguse lainepikkus vaakumis on 556 nm, tegemist on kollase valgusega. Möödaminnes olgu märgitud, et samal sagedusel paikneb Päikese pideva spektri maksimum maapealse vaatleja jaoks. Just seetõttu näemegi keskpäeval Päikest kollasena, et Päikese spektris domineerib kandela definitsioonis nimetatud kollane valgus sagedusega 540 THz, mille registreerimiseks inimese silm on samas ka kõige paremini kohastunud. Ruuminurgast ja tema ühikust steradiaan tuleb otsekohe allpool juttu. Murdarv 1683 kandela definitsioonis väljendab fakti, et inimsilma tundlikkuse maksimumis saame valgusallika poolt ühe steradiaani suurusesse ruuminurka kiiratud valguslainete võimsuse iga vati kohta 683 kandela suuruse valgustugevuse, väljaspool tundlikkuse maksimumi aga vähem. Kui kasutaksime allikat, mis üldse ei kiirga spektri nähtavas osas, siis ei saaks me ühest vatist kiirgusvõimsusest steradiaani kohta mitte ühtegi kandelat. Seega kirjeldab füüsikaline suurus valgustugevus ainult nähtavat valgust. Peaks ka olema selge, et kandela etaloni tehniliseks realiseerimiseks on vaja sagedusel 540 THz töötavat, täpselt mõõdetava valgusvõimsusega laserit. Ainult laserivalgus on vajalikul määral konstantse sagedusega.

Etalontermomeetrid võivad olla väga täpsed, ent neidki on vaja aeg-ajalt kalibreerida. Pildil kalibreeritakse termomeetrit termostaadiga.

Aastal 1971 võeti seitsmenda põhiühikuna rahvusvahelisse mõõtühikute süsteemi aine hulga ühik mool. Üks mool (1 mol) on aine hulk, mis sisaldab niisama palju üksikosakesi (aatomeid, molekule jne), kui on aatomeid 0,012 kilogrammis süsiniku isotoobis massiarvuga 12. Kõnealune arv on teadagi Avogadro arv, mille väärtuseks oleme koolifüüsikas harjunud lugema 6,02 . 1023 osakest moolis ehk mol–1. Moolides väljendatud aine hulga ehk moolide arvu leidmiseks tuleb aine mass m jagada vaadeldava aine molaarmassiga M. Loomulikult peavad mõlemad massid olema esitatud samades massiühikutes (molaarmassil – mooli kohta). 

Üks radiaan (1 rad) on kesknurk, millele vastava kaare pikkus võrdub ringjoone raadiusega. Mida rohkem radiaane nurgas on, seda suurema "tüki" see ringjoonest välja lõikab. Radiaani kasutamist soosib matemaatiline lihtsus – täispöördele vastab 2π radiaani, poolpöördele π radiaani. Ühtlasi lihtsustuvad trigonomeetrilised avaldised. Näiteks siinus- ja koosinusfunktsiooni faasivahe on π/2 radiaani.

Vajadus määratleda valgustugevuse ühikut kandela, kasutades seejuures ruuminurga mõistet, tingib kahe lisaühiku defineerimise lisaks SI seitsmele põhiühikule. Need on tasanurga ühik radiaan ja ruuminurga ühik steradiaan. Paljude jaoks on nad rohkem matemaatika kui füüsika mõõtühikud. See, kummaks neid pidada, sõltub konkreetse inimese vastusest küsimusele Kas on olemas loodusest sõltumatut matemaatikat? Paljud matemaatikud tahaksid vastata jaatavalt, end loodusteadlasena teadvustava füüsiku vastus on aga eitav. Nurk on mõiste, millega looduses kirjeldatakse kahe sihi erinevust (sellest pikemalt p.3.3.2). Matemaatik ütleks: nurk jääb kahe samast punktist väljuva kiire vahele. Kui need kiired väljuvad mingist tasandil paikneva ringjoone keskpunktist, siis eraldavad nad ringjoonest välja mingi pikkusega tüki ehk ringjoone kaare. Tasandil moodustuvat nurka nimetatakse tasanurgaks. Üks radiaan (1 rad) on tasanurk, mille korral nurga tippu ümbritseva ringjoone kaare pikkus võrdub selle ringjoone raadiusega (s = r).

Steradiaan (tähis sr) on ruuminurga mõõtühik. Steradiaan on tipuga kera keskmesse toetuv ruuminurk, mis eraldab kera pinnal raadiuse ruuduga võrdse pindala. Steradiaani kasutamist soosib matemaatiline lihtsus - kuna kera p

Ruumis moodustuvat nurka nimetatakse ruuminurgaks. Ruuminurk tekib siis, kui mingist punktist väljuvat kiirt ruumis nihutada, tulles lõpuks alguspunkti tagasi. Kiire asend ei tohi vahepeal ühtida mitte ühegi juba läbitud asendiga. Kiire lõikepunkt kiire alguspunkti ümber paikneva sfääri pinnaga liigub sellisel juhul mööda kinnist joont, mis eraldab sfääri pinnast välja mingi kindla pindalaga pinnatüki. Protseduur sarnaneb prožektorikiire liigutamisega pilvises öises taevas, kus prožektori asendi muutmise tagajärjel liigub prožektori valguse osalise pilvedelt tagasipeegeldumise tõttu nähtav laik. Ruuminurk eraldab välja tüki sfääri pinnast samamoodi, nagu tasanurk eraldab välja tüki ringjoonest tasandil. Üks steradiaan (1 sr) on ruuminurk, mille korral nurga tippu ümbritseva sfääri vastava osa pindala võrdub raadiuse ruuduga (S = r2).

Võtame nüüd alljärgnevas tabelis kokku SI seitse põhisuurust ja põhiühikut.

Arusaamatuste vältimiseks tohib üheskoos kasutada vaid ühe ja sama mõõtühikute süsteemi ühikuid. Siiski on lubatud SI ühikute kõrval kasutada ka selliseid tavaelus juurdunud mittesüsteemseid ühikuid nagu massiühik tonn, ajaühikud ööpäev, tund ja minut, tasanurgaühik kraad, pindalaühik hektar, mahuühik liiter ning energiaühikud elektronvolt ja kilovatt-tund. Teadustöös ja kooliülesannete lahendamisel tuleb aga mittesüsteemsed ühikud kindlasti SI ühikuteks teisendada. Meenutagem, et Mõõteseadus ütleb: „..rahvusvahelise mõõtühikute süsteemi kasutamine on Eestis kohustuslik majandustegevuses, rahvatervise ja avaliku ohutuse valdkonnas, haldus- ja õppetegevuses.

SI põhiühikud Suurendavad eesliited Vähendavad eesliited
Mõõtühikute teisendamine

Rahvusvaheline mõõtühikute süsteem (SI) on detsimaalne süsteem. Mõõtühikute endiga võrreldes ebamugavalt suurte või väikeste mõõtesuuruse väärtuste väljakirjutamisel kasutatakse kümnendeesliiteid. Mõõtühikute kümnend- ehk detsimaaleesliited on tähised, mille abil lihtsustatakse ühikute üleskirjutamist kümnendsüsteemis. 

Seosed SI põhiühikute (sinised) ja mõningate tuletatud (rohelised) ühikute vahel: 1 s (sekund) on aeg, mis kulub 9192631770 ülemineku sooritamiseks tseesiumi isotoobi 133Cs põhiseisundi kahe peenstruktuuri nivo

Eesliite kasutamine tähendab sellele vastava arvuga korrutamist:

24 km = 24 × 1000 m = 24 000 m

500 μs = 500 × 0,000 001 s = 0,0005 s 

Kui mõõtühik sisaldab astendajaid, tuleb vastavasse astmesse võtta ka eesliide:

2000 cm2 = 2000 × (10 –2 × m)2 = 2000 × 10 –4 m2 = 0,2 m2 

2,7 g/cm3 = 0,0027 kg/(10 –2 × m)3 = 0,0027 kg/(10 –6 m3) = 2700 kg/m3

Nagu ülalpool öeldud, tohib igapäevaelus kasutada ka mõningaid mõõtühikuid, mis ei kuulu rahvusvahelisse süsteemi.

Mittesüsteemsetes ühikutes väljendatud suurusi on kõige lihtsam SI-sse teisendada, asendades kõik neis sisalduvad eesliited ja ühikud vastavate SI väärtustega ja siis arvutada tulemus kokku. Näiteks:

72 km/h = 72 × 1000 m/3600 s = 72 000 m/3600 s = 20 m/s;

47 kWh = 47 × 1000 W × 3600 s = 169 200 000 J = 1,692⋅108 J = 169,2 MJ. 

Lõpetuseks märgime, et alates aastast 1968 kehtiva kokkuleppe kohaselt kirjutatakse teadlaste nimedest tuletatud mõõtühikute nimetused väikese algustähega, kuid nende mõõtühikute tähised suure tähega. Näiteks kelvin (1 K), amper (1 A), njuuton (1 N), džaul (1 J) ja vatt (1 W). Näeme ka, et mõõtühikute nimetusi on lubatud esitada eesti keelele mugandatud kujul (amper, njuuton, džaul ja vatt), ehkki vastavate teadlaste endi nimesid kirjutame originaalkeele reeglite järgi (Ampère, Newton, Joule, Watt).

Mõõtmise täpsus
Mõõtmise täpsuspiirid ja mõõtemääramatus

Mõõtmine on teatavasti mingi füüsikalise suuruse konkreetse väärtuse võrdlemine sama suuruse teise, mõõtühikuks võetud väärtusega (p.2.1.3). Võrdlemise protseduur toimub aga alati olukorras, kus mõjuvad erinevad välised tegurid. Mõned neist välistest mõjuteguritest võivad olla juhusliku iseloomuga ja mõned süstemaatilised ehk mõõteväärtust kindlas suunas mõjutavad. Kui me näiteks soovime mõõta, kui kõrgele üles põrkab tagasi mingilt kindlalt kõrguselt vertikaalselt kukkuma lastud lauatennisepall, siis sõltub mõõtetulemus kindlasti sellest, millise osaga pall vastu horisontaalset jäika aluspinda põrkab. Pingpongipallid valmistatakse enamasti kahe pallipoole kokkusulatamise teel, Pallikesta omadused liitekohas ja väljaspool seda on erinevad. Me ei suuda prognoosida palli asendit põrkehetkel, mistõttu see asend on mõõteväärtuse juhuslik mõjur. 

Parallaktiline mõõteviga evib ka elulist väärtust. Kas kell on 20:04 või 20:05? Sõltub vaatenurgast. Mida lähemal kella osutid numbrilauale on, seda täpsemini saab sellelt erinevate nurkade alt aega lugeda. Samas on üks või paar minutit koolitunni alustamiseks piisav täpsus.

Vertikaalselt mõõtjoonlaualt palli kõige ülemise asendi kõrgust lugev katsetaja peab lugemi fikseerimisel vaatama joonlauda horisontaalselt ehk risti joonlaua endaga. Selleks peab lugemit võttev katsetaja kas kummardudes või mingile täiendavale alusele ronides muutma oma pea asukohta. Kui ta seda ei tee ning vaatab joonlauda kogu aeg näiteks kõrgemalt kui vaja, siis ta fikseerib tõusu kõrguse lugemi, mis on tegelikust väärtusest süstemaatiliselt veidi väiksem. Kasutades veidi etteruttavalt mõõtevea mõistet (vt allpool) olgu märgitud, et mõõteviga, mis tekib juhul, kui mõõtja vaatesuund ei ole risti kasutatava skaalaga, nimetatakse parallaktiliseks mõõteveaks.

Üks mõõtmiste täpsust piirav tegur on mõõtühiku enda pikkus. Kui me kasutame lauatennisepalli tagasipõrke kõrguse määramisel mõõtjoonlauda, millele on kantud kriipsud iga sentimeetri tagant, siis on mõõtühikuks 1 cm. Sentimeetri murdosi me mõõteväärtuses enam usaldusväärselt kajastada ei suuda – seda enam, et palli ülemist asendit saame me ju vaadelda vaid hetkeliselt. Me peame otsustama, milline täisarv sentimeetreid on konkreetsel juhul kõige tõenäolisem mõõtarv. Võib küll üritada kasutada väiksemaid mõõtühikuid, aga meil pole ikkagi pääsu mõõtühiku lõplikust pikkusest. Lisaks võivad paljud mõõtmiste täpsust piiravad tegurid olla meile ka täiesti tundmatud. 

Kõik seda arvestades oleme sunnitud nentima, et absoluutselt täpne mõõtmine pole põhimõtteliselt võimalik. Erandiks on siin vaid juhud, kui mõõtmine seisneb mingi täisarvu määramises. See võib olla näiteks pendli võngete arv või mingisse kindlasse vahemikku langevate mõõtmistulemuste arv. Järelikult on üldjuhul väga oluline lisaks mõõteväärtuse saamisele hinnata ka mõõtmise täpsust. Tuletagem meelde eespool (p.2.2.1) toodud näidet, kus koolilaua pikkuseks saadi viis ja pool õpiku pikkust ning sellise tulemuse lugejal tekkisid küsimused: Kas viis ja pool tähendab täpselt 5,5? Või on see mingi väärtus 5,4 ja 5,6 vahel? Või hoopis 5 ja 6 vahel? Korrektne mõõtetulemus peaks sisaldama endas juba vastust neile küsimustele. 

Tähistame mingi konkreetse suuruse (näiteks koolilaua pikkuse) mõõtmisel saadud mõõteväärtuse tähega x. Kuna absoluutselt täpne mõõtmine pole põhimõtteliselt võimalik, siis see väärtus üpris kindlasti erineb mõõtesuuruse tõelisest väärtusest x0. Mõõteväärtuse ja suuruse tõelise väärtuse vahet nimetatakse mõõteveaks. Suuruse x mõõteviga tähistatakse enamasti sümboliga δx (loe: väike delta x): 

Tuleb leppida, et mõõtesuuruse tõelist väärtust ei leia me kunagi. Alati seondub mõõtmisega mõõteviga, olgu see kui väike tahes. Et mõõteviga on suhteline suurus, mis võib iga mõõtmisega erineda, seondub mõõtmisega ka mõõtemääramatus.

Mida väiksem on mõõteviga, seda täpsema mõõtmisega on tegemist. Paraku me ei tea ega saagi kunagi teada mõõdetava suuruse tõelist väärtust x0. Seetõttu ei saa me ka kunagi teada konkreetsel mõõtmisel tehtavat mõõteviga δx

Mõõteviga on vähemasti osaliselt juhuslik suurus. Iga järgmise mõõtmise tulemus võib eelmisest veidi erineda. Seega kaasneb mõõtmisega alati teatav teadmatus ehk määramatus. Mõõtesuuruse tõeline väärtus ja konkreetne mõõteviga jäävad meile küll teadmatuks, kuid me saame mingi tõenäosusega hinnata, milline on kõige suurem võimalik mõõteviga. Me saame anda tõenäosusliku hinnangu väärtuste vahemiku kohta, milles mõõtesuuruse tõeline väärtus asub. Seda mõõtesuuruse väärtuste vahemikku, millesse suuruse tõeline väärtus piisavalt suure tõenäosusega jääb, kirjeldab mõõtemääramatus. 

Suuruse x mõõtemääramatus u(x) (ingl uncertainty) on suurus, mis kuulub mõõtetulemuse juurde ja iseloomustab tõenäosuslikult mõõtesuuruse võimalike väärtuste vahemikku. Mõõtemääramatusel on mitmeid tähistusviise. Neist kahel: u(x) ja U(x) – on väga kindlad tähendused, millest tuleb juttu allpool. Kui räägitakse mõõtemääramatusest kõige üldisemas tähenduses, siis kasutatakse enamasti tähist Δx (loe: delta x). Niisiis, mõõtemääramatus Δx on mõõtevea δx suurim lubatav väärtus. Mõõtetulemus x ei tohiks mõõtesuuruse tõelisest väärtusest x0 erineda rohkem kui mõõtemäära­matuse Δx võrra. See tähendab, et suuruse tõeline väärtus x0 jääb väärtuste x - Δx ja x + Δx vahele. Matemaatiliselt väljendab seda võrratus

Paraku pidime eelmises lõigus kasutama tingivat kõneviisi (ei tohiks). Nimelt ei ole mitte ükski tõenäosuslik väide ju kunagi sajaprotsendiliselt kindel. Tõenäosust selleks, et mitte ükski mõõteviga ei ületa konkreetset mõõtemääramatuse väärtust, nimetatakse mõõtemääramatuse usaldatavuseks või ka usaldusnivooks. Kui me soovime, et mõõtemääramatusega antav suurima mõõtevea hinnang oleks kindlasti tõene (et usaldatavus oleks 100%), siis peame kasutama väga suurt Δx väärtust. Siis aga muutuks mõõtetulemus ise üpris mõttetuks. Näiteks pole ju kuigi palju kasu teadmisest, et konkreetse koolilaua pikkus jääb ühe ja üheksa õpiku-pikkuse vahele. On ilmne, et mõõtjal tuleb leida mõistlik kompromiss kahe vastandliku soovi vahel: tõsta usaldatavust ja vähendada mõõtemääramatust.

Mõõtemääramatus esitatakse tavaliselt usaldatavusega kas 68% või 95%. Eeldades usaldatavust 95%, pannakse mõõtetulemus tavaliselt kirja koos mõõtemääramatusega kujul (x ± Δx) × mõõtühik, kusjuures mõõteväärtuse x ja mõõtemääramatuse Δx mõõtarvud esitatakse sama arvu kümnendkohtadega peale koma. Näiteks on korrektne pliiatsi pikkuse l mõõtmise tulemus esitatav kujul 

  

See tähendab, et konkreetse pliiatsi tõeline pikkus jääb 139 mm ja 143 mm vahele tõenäosusega (usaldatavusega) 95%. Kui tegemist on mingi muu usaldatavusega, siis peab selle mõõtetulemuse taga eraldi ära märkima. Pikkuse väärtust 141 mm nimetame antud kontekstis pliiatsi pikkuse tõenäoseimaks väärtuseks, andes endale aru, et pikkuse tõenäoseim väärtus ja tõeline väärtus pole kunagi täpselt võrdsed. 

Tuleb arvestada, et mõõtesuuruse tõeline väärtus on puhtalt meie kujutlusvõime looming või abikujutlus mõõtemääramatuse mõttekujundi tekitamiseks. Kogu reaalset infot, mida me omame mõõdetava konkreetse füüsikalise suuruse (nt pliiatsi pikkuse) kohta, sisaldavad mõõteväärtus, mõõtemääramatus ja usaldatavus. Nad kirjeldavad kolmekesi täielikult looduses tõepoolest eksisteerivat, katselist kinnitust leidvat osa meie kui vaatlejate kujutlusest nimega selle konkreetse pliiatsi pikkus

Rõhutame veel, et mõõtemääramatus on kahe mistahes aktsepteeritava mõõteväärtuse võimaliku erinevuse kirjeldaja. Kahekordse mõõtemääramatusega võrduvat laiust omav mõõtesuuruse väärtuste piirkond tõenäoseima väärtuse ümber on piirkond, mille sees iga väärtus on vastuvõetav kui mõõteväärtus, sest „täpsemalt me ju ei tea“. Pliiatsi näites oli see piirkond 139 mm kuni 143 mm, laiusega 4 mm, tõenäoseima väärtuse 141 mm ümber. Mõõtemääramatus on hinnang olemasoleva info alusel. Kui me saame uut infot, siis võib muutuda ka mõõtemääramatus. Mõõtemääramatus iseloomustab mõõtetulemust, mitte mõõtevahendit

Tasub märkida, et eesti keeles juurdunud sõna mõõtemääramatus on mitte kõige parem tõlge vastavast venekeelsest terminist ’neopredelennost’. Selle sõna põhjal kipub jääma mulje, nagu me ei teaks üldse midagi mõistlikku mõõtesuuruse kohta („kõik on määramatu“). Hoopis parem oleks tõlkida ingliskeelne termin uncertainty eesti keelde kui ebakindlus. Mõõtmine ei saa kunagi olla absoluutselt täpne. Ta on pigem olemuslikult ebatäpne või ebakindel (uncertain). Just seda me ju tahame rõhutada, kasutades terminit mõõtemääramatus

Me kõik oleme oma keha temperatuuri mõõtnud. Aga mis on sellise mõõtmise mõõtemääramatus? Kui termomeeter näitab 36,2 kraadi, kas see võib tähendada, et mõõdetav temperatuur on tegelikult 37 kraadi ja kooli ei pea minema?

Niisiis kaasneb iga füüsikalise pidevsuuruse mõõtmisega alati mõõtemääramatus. Olgu märgitud, et pidevaks füüsikaliseks suuruseks nimetame suurust, mille mistahes kahe väärtuse vahel võime kujutleda veel ühte väärtust. Sellest tuleb lähemalt juttu punktis 3.1.3. Kui me ei tea, kui suur on mõõtemääramatus, siis ei ole pidevsuuruse mõõtetulemusega õigupoolest mitte midagi mõistlikku peale hakata. Oletagem näiteks, et me kontrollime katseliselt hüpoteesi, mille kohaselt kaks tundmatut vedelikku on ühesuguse tihedusega. Meil on kasutada kindla ruumalaga mõõduklaas ja kaalud. Me määrame kaalumise teel kummagi vedeliku kindla ruumalaga koguse massi ja arvutame tihedused, jagades massi vastava ruumalaga. Me saame nii kaks tiheduse mõõteväärtust, näiteks 0,84 g/cm3 ja 0,89 g/cm3, mis küll palju ei erine, kuid mis siiski täpselt kokku ei lange. Kasutamata mõõtemääramatust, peaksime nüüd tunnistama hüpoteesi vääraks. Kui me aga oleme leidnud kummagi vedeliku tiheduse mõõtemääramatused ning kirjutame nüüd korrektsed mõõtetulemused välja kujul (0,84 ± 0,7) g/cm3 ja (0,89 ± 0,7) g/cm3, siis näeme, et esimese vedeliku tiheduse ülempiir 0,91 g/cm3 on suurem, kui teise vedeliku tiheduse alampiir 0,82 g/cm3. Teisisõnu kummagi vedeliku tiheduse võimalikud väärtused omavad vahemikus 0,82 g/cm3 kuni 0,91 g/cm3 ulatuslikku ühisosa. Seega võivad kummagi vedeliku tiheduse tõelised väärtused selles vahemikus paikneda ja kokku langeda. Hüpotees tuleb tunnistada katseliselt tõestatuks. Põhimõtteliselt võib koguni olla tegemist ühe ja sama vedelikuga. 

Mõõtemääramatuse mõiste üldtutvustuse lõpetame, rõhutades et mõõtemääramatuse täiesti korrektne hindamine on keeruline protseduur, mille teostamise oskust ei saagi keskmiselt gümnasistilt nõuda ning mille ammendav kirjeldus sisaldub veebiõpikus. Iga mõõtja peaks küll alati oskama põhjendatult otsustada, milline on tema poolt teostatud mõõtmisel mõõtemääramatuse suurusjärk (näiteks kas see on 0,3%, 3% või 30% mõõteväärtusest). Ülaltoodud näites on pliiatsi pikkuse mõõtemääramatus (2/141)⋅100 ≈ 1,4% mõõteväärtusest. Seega on mõõte­määramatuse suurusjärk mõni protsent mõõteväärtusest (ülaltoodud valikus kõige mõistlikum hinnang 3%). 

A- ja B-tüüpi hinnangud mõõtemääramatusele

Nüüd peaks olema selge, miks usaldatav mõõtetulemus tuleb alati esitada koos mõõtemääramatusega. Mõõtemääramatuse hindamiseks on erinevaid meetodeid, kuid üldjoontes eksisteerib kaks põhilist hinnangu tüüpi. Need on A-tüüpi ja B-tüüpi hinnangud, mida sageli nimetatakse ka A-tüüpi ja B-tüüpi mõõtemääramatusteks. Tuleb rõhutada, et viimane nimetusviis on veidi eksitav, sest mõõtemääramatus on olemuslikult terviklik, erinevad vaid tema hindamise meetodid. A-tüüpi ja B-tüüpi hinnangud on nagu kaks tasapinnalist või kahemõõtmelist kujutist ühtsest ruumilisest objektist nimega mõõtemääramatus. Suutmata kolmemõõtmelist objekti kohe tervikuna hoomata, teeme objektist kahemõõtmelisi fotosid ja püüame nende põhjal saada ettekujutust tervikust. Analoogiliselt konstrueerime A-tüüpi ja B-tüüpi mõõtemääramatuste põhjal liitmääramatuse. Sellest täpsemalt allpool.

Kui me kordusmõõtmisi tehes saame kogu aeg veidi erinevaid tulemusi, nii et iga konkreetne mõõteväärtus varem saadutega üldjuhul kokku ei lange, siis peame andma mõõtemääramatusele A-tüüpi hinnangu. A-tüüpi mõõtemääramatus on põhjustatud juhuslikest mõjuritest ja see leitakse kordusmõõtmiste tulemustest matemaatilise statistika meetoditega. A-tüüpi määramatust saab mõõtmiste arvu suurendamisega vähendada. 

Järgnevalt vaatleme A-tüüpi mõõtemääramatuse hindamisel kasutatavaid matemaatilise statistika valemeid, mille peast teadmine ja isegi rakendamise oskus käesoleva kursuse läbimiseks vajalikud ei ole, kuna kõik kirjeldatud tehted sooritab tänapäeval arvuti. Kui me oleme saanud konkreetsele mõõtesuurusele kokku n üldjuhul erinevat üksikut mõõteväärtust ehk mõõdist x1, x2, x3, … xn, siis on parimaks lähenduseks suuruse tõelisele väärtusele mõõdiste aritmeetiline keskmine ehk keskväärtus. Selle saamiseks liidame kõik mõõdised kokku ning jagame läbi mõõdiste arvuga n

Mõõdiste hajumist keskväärtuse ümber iseloomustatakse dispersiooniga D(x), mille me saame, töödeldes mõõdiste xi erinevusi keskväärtusest ehk vahesid ( x – xi ).

Need vahed võivad olla nii positiivsed kui ka negatiivsed, sõltuvalt sellest, kas üksik mõõteväärtus (mõõdis xi) on keskväärtusest väiksem või suurem. Kui me liidaksime lihtsalt vahesid, siis hakkaksid nad vastastikku kompenseeruma ja summa ei sisaldaks enam infot tulemuste hajuvuse kohta. Seetõttu peame liitma vahede ruutusid, mis on alati positiivsed. Saadud summat me ei jaga enam mõõteväärtuste arvuga n, vaid sellest ühe võrra väiksema arvuga n – 1, sest teades keskväärtust ning kõiki üksiktulemusi peale ühe, on võimalik puuduv viimane tulemus välja arvutada. Info tema kohta sisaldub keskväärtuses. Ühtekokku saame dispersiooni valemi

Rangelt võttes iseloomustab dispersioon mitte üksikute mõõteväärtuste ehk mõõdiste hajuvust, vaid mõõdiste ruutude hajuvust sest liideti ju vahede ruutusid. Et jõuda mõõdiste endi hajuvust kirjeldava suuruseni, tuleb dispersioonist võtta ruutjuur: 

Nii saadud suurust s(x) nimetatakse mõõdise eksperimentaalseks standardhälbeks. Pikk nimetus tuleneb asjaolust, et matemaatilises statistikas on lubatud nimetada lihtsalt standardhälbeks vaid lõpmata suure arvu üksiktulemuste töötlemisel saadavat suurust. Meie mõõtmistulemuste arv on kindlasti lõplik. Praktilises metroloogias aga pole kombeks nii range olla – suurust s(x) nimetatakse lihtsalt üksikmõõtmise standardhälbeks ja tähistatakse tavaliselt kreeka tähega σ (sigma). Kaasajal võib üksikmõõtmise standardhälbe lasta leida mistahes tabelarvutusprogrammil (näiteks MS Excel), kasutades funktsiooni STDEV või STDEVA (ingl standard deviation). Ka enamikul funktsioonidega taskuarvutitest on see funktsioon olemas. Vastav klahv kannab tähist σ või STDEV. 

2013. aasta neljandal juunil anti Euroopa Tuumauuringute Keskuse (CERN) pressikonverentsil teada, et on avastatud uus elementaarosake, kauaotsitud Higgsi boson. Osakese avastamine oli suuresti statistiline ülesanne, mis vähemalt võrdne heinakuhjast nõ

Standardhälve σ on suurus, mis kirjeldab üksikute mõõteväärtuste puhtjuhuslikku hajumist keskväärtuse ümber. Standardhälvet mõõdetakse alati samades ühikutes nagu mõõtesuurust ennastki. Kui teeksime lõpmata palju mõõtmisi, siis langeks vahemikku otspunktidega „keskväärtus miinus standardhälve“ kuni „keskväärtus pluss standardhälve“ 68% kõigist mõõdistest. Lähemalt uurime seda allpool näite varal (p.2.4.3). Tingivat kõneviisi (langeks) kasutame standardhälbe definitsioonis põhjusel, et praktikas ei tehta ju kunagi lõpmata suurt arvu mõõtmisi. Seetõttu ei pruugi reaalsetel mõõtmistel ülalkirjeldatud vahemikku jääda täpselt 68% kõigist mõõdistest. Aga mida suurem on mõõdiste koguarv, seda väiksem on katses ilmnev erinevus väärtusest 68%.

Tasub märkida, et standardhälvet kasutatakse kõigis loodusteadustes ning isegi sotsiaalteadustes (politoloogias, sotsioloogias, majandusteaduses). Jällegi on füüsika see, mis tekitab paljudele teistele teadustele vajaliku mudeli. Ehkki standardhälve on kõige üldisemal juhul matemaatilise statistika mõiste, selgub tema olemus kõige paremini lihtsatest füüsikakatsetest, mida me allpool (p.2.4.3) ka läbi teeme. 

Kui me oleme teinud mingi keskmistamiseks piisava arvu üksikmõõtmisi (näiteks 10), leidnud nende tulemustest keskväärtuse ja nüüd sama protseduuri kordame, siis märkame, et kaks keskväärtust erinevad oluliselt vähem kui kaks suvalist üksikut mõõteväärtust. Keskmistamine vähendab väärtuste hajuvust. Matemaatilises statistikas näidatakse, et aritmeetilise keskmise standardhälve on üksikmõõtmise standardhälbest väiksem ruutjuur mõõtmiste arvust korda. Aritmeetilise keskmise standardhälvet võib vaadelda standardse A-tüüpi hinnanguna mõõtemääramatusele. Vastavalt nimetatakse seda standardmääramatuseks ja tähistatakse väikese u-tähega: 

Niisiis, piisavalt suure mõõtmiste arvu ja tulemuste puhtjuhusliku hajuvuse korral annab standardmääramatus keskväärtuse usaldatavuseks 68%. Kui me soovime usaldatavust suurendada, siis tuleb standardmääramatust korrutada arvuga, mida nimetatakse katteteguriks. Kattetegur sõltub mõõdiste jaotusest keskväärtuse ümber ja nõutavast usaldusnivoost. Näiteks on mõõdiste puhtjuhusliku hajuvuse ja nõutava usaldatavuse 95% korral kattetegur 1,96 ehk ligikaudu 2. Katteteguriga läbikorrutatud standard­määramatust nimetatakse laiendmääramatuseks ja tähistatakse suure U-tähega. Kui usaldatavus on eraldi ära toodud, siis võib konkreetse suuruse x mõõtemääramatust ikka tähistada Δx-ga, nii nagu me seda ülalpool tegime, ning u-sid mitte kasutada. 

Oluline on mõista sisulist erinevust üksikmõõtmise (ehk mõõdise) standardhälbe ja keskväärtuse standardhälbe vahel. Mõõtmiste arvu n suurendamine ei vähenda üksikmõõtmise standardhälvet. See vaid võimaldab üksikmõõtmise standardhälvet täpsemini määrata. Kahe suvalise juba tehtud mõõtmise tulemused ei hakka sellest omavahel vähem erinema, et me teeme täiendavaid mõõtmisi. Kuid mõõtmiste arvu suurendamisel täpsustub tulemuste jaotuskõvera (vt p.2.4.3) kuju. See aga tähendab ka kõvera maksimumi asukoha (keskväärtuse) – täpsustumist. Just seetõttu väheneb keskväärtuse standardhälve mõõtmiste arvu suurendamisel (valem 2.6). 

Üksikmõõtmise standardhälve iseloomustab tulemuste jaotuskõvera laiust. Valemit 2.2 matkiv kirjutusviis x – σ < x0 < x + σ, milles mõõtemääramatuse rollis esineb üksikmõõtmise standardhälve σ, ütleb vaid seda, et mõõtesuuruse tõeline väärtus x0 jääb tõenäosusega 68% väärtuste x – σ ja x + σ vahele. Tõeline väärtus ei erine suvalisest mõõdisest rohkem kui σ võrra. Keskväärtust esile tõstev valemit 2.2. matkiv kirjutusviis

milles mõõtemääramatuse rollis esineb keskväärtuse standardhälve , ütleb juba seda, et keskväärtus ja tõeline väärtus x0 ei erine rohkem kui keskväärtuse standardhälbe võrra. 

Kui kordusmõõtmised annavad alati sama tulemuse, siis ei saa mõõtemääramatust hinnata kordusmõõtmisi tehes. Sellisel juhul peame andma mõõtemääramatusele B-tüüpi hinnangu. Sageli öeldakse ka, et tegemist on B-tüüpi määramatusega. B-tüüpi hinnang mõõtemääramatusele saadakse mitte enam mõõtja enda poolt rakendatavate statistiliste meetoditega, vaid muudest allikatest pärineva info põhjal. Eelkõige kasutab mõõtja mõõteriista tootja poolt antud infot mõõteriista täpsuse kohta. Kõige suurem erinevus A- ja B-hinnangute vahel ongi see, et B-tüüpi määramatuse korral teeb sisulise töö mõõtemääramatuse hindamisel ära mõõtevahendi või mõõteriista valmistaja. Seejuures kasutab mõõteriista tootja mitmesuguseid nii sama tüüpi mõõteriistaga kui ka palju täpsemate mõõteseadmete abil saadud mõõtetulemusi. Kindlasti ta ka töötleb neid statistiliselt. Tootjad märgivad mõõtemääramatuse alase teabe kas otse mõõteriistale või selle passi. Kui aga selline info puudub, siis on üldine tava võtta mõõtemääramatuseks pool väikseimast skaalajaotisest. 

Enamasti esinevad nii A- kui B-tüüpi määramatus korraga. Liitmääramatus leitakse kui ruutjuur A- ja B-määra­matuste ruutude summast. See meenutab täisnurkse kolmnurga hüpotenuusi pikkuse leidmist omavahel ristuvate kaatetite pikkuste kaudu Pythagorase teoreemi abil (joonis 2.2).

Nii toimides rõhutame, et me üldiselt eeldame A- ja B-tüüpi määramatuste omavahelist sõltumatust. Määramatuste lihtne liitmine tähendaks eeldust, et mõlemast määramatuse liigist tingitud mõõtevead on alati sama märgiga (mõõtevigade vastastikune kompenseerumine on välistatud). Tegelikkuses aga on kompenseerumise (mõõtevigade erimärgilisuse) ja mittekompenseerumise (samamärgilisuse) tõenäosused võrdsed. Kui me oleme piki A-tüüpi määramatuse väärtuste telge tõelisest väärtusest konkreetse A-määramatuse (kui ühe kaateti) võrra eemaldunud, siis võime jätkata liikumist piki eelmisega ristuvat B-tüüpi määramatuse telge võrdse eduga kas positiivses või negatiivses suunas (teise kaateti võrra). Telgede ristseis väljendab A- ja B-määramatuste omavahelist sõltumatust (ühe muutumine ei mõjuta teist). Niisiis eemaldume kokkuvõttes tõelisest väärtusest täisnurkse kolmnurga hüpotenuusi võrra. Tähistades suuruse x A-tüüpi määramatuse sümboliga ΔAx ja B-tüüpi määramatuse sümboliga ΔBx, võime liitmääramatuse avaldada kujul

Mõõtemääramatuse praktilisel hindamisel esineb ka olukordi, mil kordusmõõtmiste tulemused omavahel erinevad, kuid on vähe alust pidada seda erinevust puhtjuhuslikuks. Järelikult pole mõtet teha väga palju kordusmõõtmisi, et leida nende põhjal standardhälvet. Kordusmõõtmisi tasub siiski teha enesekontrolliks (kas toimisin kogu aeg ühtemoodi?) ja saadud tulemuste  keskmistamiseks, kuna keskväärtus on kindlasti usaldatavam üksikmõõtmisest. Enamasti tekib kõnealune olukord aja mõõtmisel. Oletagem, et me kasutame ajamõõtjat, mille kahe näidu vähim võimalik erinevus ehk lahutuspiir on 0,01 s. See ongi konkreetsel juhul B-tüüpi määramatuse ligikaudseks hinnanguks. Täpsema hinnangu saamiseks peaksime uurima ajamõõtja passi. Mõõtja reaktsiooniaeg ehk ajavahemik signaali saamisest kuni signaalist tuleneva tegevuseni (ajamõõtja nupu vajutamiseni) on aga vahemikus 0,1 kuni 0,2 s, sõltuvalt konkreetsest inimesest. See ületab oluliselt B-tüüpi määramatuse hinnangut, mistõttu viimase täpne väärtus polegi väga tähtis. Mõistlik on kasutada mõõtemääramatuse hinnanguna kas varem mõõdetud isiklikku reaktsiooniaega või teadaolevat inimliku reaktsiooniaja ülapiiri 0,2 s. Lisainfot annab kordusmõõtmiste tulemuste keskmistamine. Oletagem näiteks, et mõõtsime viis korda mingi protsessi kestust ja saime tulemusteks 12,32 s; 12,28 s; 12,23 s; 12,31 s ja 12,26 s. Nende tulemuste keskmine on 12,28 s, üksikmõõtmise ja keskmise suurim erinevus aga 0,05 s, mis ei ületa mõõtja reaktsiooniaega. Kuna reaktsiooniaeg on oluliselt suurem mõõtmiste lahutuspiirist (0,01 s), siis pole eriti mõtet tulemust anda sajandiksekundilise täpsusega. Piisavalt suure usaldatavusega võime lõpptulemuse esitada kujul  (12,3 +/- 0,2) s. 

Märkigem veel, et kui mingi üksiktulemuse erinevus teistest palju kordi ületab ülejäänud tulemuste omavahelist keskmist erinevust, siis on põhjust teistest oluliselt erinev mõõtmistulemus keskmistamisel arvestamata jätta. Suure tõenäosusega on tema saamisel tehtud mõõtmisprotseduuris mingi viga. 

Mõõtemääramatuse hindamine kaudmõõtmistel

Omaette probleemiks on mõõtemääramatuse hindamine kaudmõõtmistel. Lihtsaimal juhul me määrame suurust , mis on kas suuruste  ja  summa () või vahe (), aga võib olla ka suuruste  ja  korrutis () või jagatis (). 

Summa või vahe korral võime suuruse  mõõtemääramatuse  leidmiseks suuruste  ja  mõõtemääramatuste  ja  põhjal kasutada valemiga 2.8 analoogilist eeskirja

Korrutise või jagatise korral tuleb aga eelnevalt leida suuruste  ja  mõõtmise suhtelised mõõtemääramatused, vastavalt

ning seejärel rakendada valemiga 2.8 analoogilist eeskirja

Kuna ka 

 siis

Mõõtemääramatuse praktiline hindamine
Kui kõrgele põrkub üles tagasi ühe meetri kõrguselt lauale kukkuv pingpongipall?

Mõõdame näiteks, kui kõrgele põrkub üles tagasi ühe meetri (100 cm) kõrguselt lauale kukkuv pingpongipall. Pärast paari esialgset proovikatset, mis annavad oluliselt erinevaid tulemusi, veendume, et tegemist on A-tüüpi määramatusega. Eelmisest punktist teame, et sellisel juhul tuleb statistiliselt töödelda suurt arvu mõõtmisi. Kui proovikatsed annaksid ühesuguseid tulemusi, võiksime edasises A-tüüpi määramatuse hindamisest loobuda ning asuda B-tüüpi määramatust hindama.

Võtame mõõtmiste arvuks n = 100. Need mõõtmised on ka reaalselt läbi tehtud ja tulemusteks on saadud järgmised sada arvu, mõõtühikutes cm: 69, 75, 73, 72, 70, 72, 73, 72, 70, 75, 70, 74, 74, 75, 74, 76, 71, 70, 69, 77, 74, 69, 70, 75, 72, 75, 71, 72, 73, 69, 73, 71, 74, 73, 77, 72, 71, 73, 74, 74, 71, 72, 72, 72, 72, 74, 72, 73, 71, 71, 73, 74, 70, 70, 74, 73, 72, 71, 73, 76, 73, 71, 71, 68, 70, 73, 72, 71, 72, 72, 73, 72, 74, 70, 73, 71, 72, 72, 72, 74, 72, 73, 71, 73, 71, 75, 74, 75, 73, 71, 75, 73, 76, 74, 73, 72, 74, 72, 71, 73. 

Kui neid arve uurima hakata, siis võib täheldada, et samad mõõtetulemused korduvad aeg-ajalt, kuid mitte ühesuguse sagedusega. Kui 68 cm kõrgusele on pall põrganud vaid ühel ja 77 cm kõrgusele kahel korral, siis 72 cm kõrgusele tervelt 22 korda. Võib oletada, et tulemus, mis sagedamini kordub, on õigem. Matemaatilise statistika teooria kinnitab seda oletust. Juhuslikel põhjustel hajuvate väärtustega suuruse mõõtmisel on mõõtesuuruse tõelise väärtuse parimaks hinnanguks keskväärtus ehk paljude mõõtetulemuste aritmeetiline keskmine (p.2.4.2). Aritmeetiline keskmine leitakse teatavasti kõikide tulemuste summa jagamisel tulemuste arvuga (valem 2.3). Meie saja mõõtetulemuse aritmeetiline keskmine on 72,46 cm. Näeme, et enamik mõõtetulemustest on tõepoolest selle keskmise lähedal. 

Mõõtetulemuste jaotumise histogramm.

Uurime nüüd, kuidas meie mõõtmiste tulemused on jaotunud (joonis 2.3). Loeme kokku, kui mitu korda on saadud iga erinevat sentimeetrite arvu ning koostame vastava tulpdiagrammi. Sellist diagrammi nimetatakse mõõtetulemuste jaotumise histogrammiks. Näeme, et tulemuste jaotumise histogramm on üsna sümmeetriline. Paigutades histogrammile tulemuste keskmist tähistava joone, näeme, et see jagab histogrammi tõesti keskelt pooleks. Kui teeksime väga palju mõõtmisi ning paigutaksime mõõdiseid histogrammil üha kitsamatesse tulpadesse, siis saaksime tulpade tippude ühendamisel sujuva joone, mida nimetatakse jaotuskõveraks. Jaotuskõvera laius näitab mõõte­määramatust. Puhtjuhuslikult hajuvate mõõdiste jaotuskõvera laiust iseloomustab teatavasti üksikmõõtmise standardhälve σ, mille arvutamise eeskirjaga tutvusime eelmises punktis. Teatavasti me ei pea oskama ise selle eeskirja järgi arvutada. Me kasutame arvutit. Sisestame vastavasse kalkulaatorisse oma katseandmed ja saame teada, et meie katses σ = 1,83 cm. Veendume selles, et keskväärtusest ühe standardhälbe võrra vasakule ja paremale tõmmatud vertikaaljoonte vahele jääb histogrammil tõepoolest ligikaudu 68% kõigist tulemustest (68% kõigi tulpade kogupindalast). Laiendades selliste vertikaaljoonte vahele jäävat vahemikku kummalegi poole keskväärtust kuni kahe standardhälbeni, näeme et vahemikku satub juba ligikaudu 95% kõigist tulemustest. Keskväärtusest kolme standardhälbe (ca 5,5 cm) võrra kummalegi poole ulatuv vahemik (67 cm kuni 78 cm) hõlmab aga juba kõik tulemused (100%, teoreetiline väärtus 99,7%). 

Mõõtetulemused, mis jäävad keskväärtusest ühe standardhälbega määratud vahemikku.

Meie konkreetsel juhul tuleb arvestada, et üksikmõõtmised on tehtud täpsusega 1 cm. Ümardame ära tõenäosusega 95% kehtiva mõõtemääramatuse hinnangu 2σ = 3,66 cm ≈ 4 cm. Nüüd võiksime palli tagasipõrke kõrguse tõenäoseima (kõige sagedamini esineva) väärtuse h kui ühe kindla mõõdise kohta kirjutada h = (72 ± 4) cm. See tähendab, et igast sajast katsest põrkab pall 95 korral tagasi kõrgusele 68 kuni 76 cm

Kuid 4 cm pole enam korrektne mõõtemääramatuse hinnang keskväärtusele 72,46 cm. Tuleb ju arvestada, et keskväärtus on saadud saja mõõdise keskmistamisel, mistõttu valemi 2.6. kohaselt on standardmääramatus meie juhul

ja usaldatavust 95% omav mõõtemääramatuse hinnang vastavalt ligikaudu 0,4 cm. 

Seni oleme oma näites tegelenud ainult A-tüüpi hinnanguga mõõtemääramatusele. Kuna meie mõõtejoonlaua tootja pole skaalal esitanud infot mõõtejoonlaua täpsuse kohta, siis võtame B-tüüpi määramatuseks pool kasutatavast mõõtühikust (0,5 cm). Rangem statistiline käsitlus nõuaks küll veel selle täiendavat läbijagamist ruutjuurega kolmest (arvuga 1,73) ning seejärel kahekordistamist eesmärgiga viia usaldatavus 95% piirkonda. Kuna aga kaks viimast operatsiooni teineteist peaaegu tasakaalustavad (0,5 . 2 /1,73 ≈ 0,6) ning erinevust 0,5 cm ja 0,6 cm vahel me konkreetses katses nagunii ei tuvastaks, siis rahuldume B-tüüpi määramatuse hinnanguga 0,5 cm. Valemist 2.8 saame sel juhul usaldatavusega vähemasti 95% antud liitmääramatuseks

kusjuures ülespoole ümardamine on vajalik selleks, et tulemuse usaldatavus ei väheneks. Nüüd võime tagasipõrke kõrguse keskväärtuse kohta kirjutada

või realistlikumalt .

Füüsikalised mudelid
Loodusteaduslike mudelite liigid

Füüsikalistest mudelitest oli meil natuke juba eespool juttu (p.1.1.4). Füüsikaline mudel rõhutab loodusobjekti neid omadusi, mis on antud kontekstis olulised. Siin vaatleme mudeleid lähemalt, alustades mudeli üldisest määratlemisest. Loodus­teadustes nimetatakse üldiselt mudeliks (ld modulus – näidis) loodusobjekti jäljendust, mis asendab originaali selle lihtsamaks mõistmiseks ning uurimiseks. Kuna füüsikalist suurust kui mudelit on esmapilgul raske sobitada selle definitsiooni alla, siis paljud ka ei mõista, et füüsikaline suurus on looduse mudel. Meenutagem jälle, et käesolevas õpikus liigitatakse looduse objektide hulka mitte ainult kehad ja väljad, vaid ka looduses toimuvad protsessid ehk loodusnähtused (sõna objekt lai tähendus), sest vaatleja kui subjekt tegeleb ühteviisi nende kõigiga. Me teame, et füüsikalises uurimistöös on tähtsal kohal vaatlus. Vaatleja loob endale uuritavast objektist või nähtusest kujutluse. Seejuures on tal palju abi mudelitest kui lihtsustustest. Mudeli saab luua mistahes makrokehast, vee molekulist, lihtaine aatomist, elektromagnetlainest või koguni Päikesesüsteemist ja tervest meie Galaktikast. Modelleerida saab aga ka füüsikalisi nähtusi nagu elektrivool, auto liikumine maanteel või valguse murdumine vihmapiisas.

Kõikidele mudelitele on iseloomulik see, et nad ei jäljenda originaali kunagi täpselt. Originaali omaduste täpne edastamine mudelis pole juba sellepärast võimalik, et vaatleja ei pruugi üldse kõiki üksikasju näha. Pealegi puudub ideaalse täpsuse järele ka vajadus. Mudel edastab vaid originaali kõige olulisemaid tunnuseid ja omadusi. Mudel on lihtsustus, kus jäetakse arvestamata kõik antud kontekstis mitteoluline. Kõige üldisemaid loodusteaduslikke mudeleid, mida loob füüsika ja mida kasutavad kõik loodusteadused, nimetatakse füüsikalisteks mudeliteks

Loodusteaduslikke, sealhulgas ka füüsikalisi mudeleid, liigitatakse tavaliselt ainelisteks ja abstraktseteks mudeliteks. Ainelisi mudeleid kasutatakse siis, kui uuritav objekt on palja silmaga vaatlemiseks kas liiga väike või liiga suur. Reeglina kujutab aineline mudel mikro- või megamaailma objekti. Sellise objekti aineline mudel aitab meil tekitada kujutlust vahetutele aistingutele kättesaamatust objektist. Vee molekuli suurendav mudel edastab käegakatsutaval viisil keemiliste sidemete vahelist spetsiifilist nurka (105°) selles molekulis koos hapniku ja vesiniku aatomite suuruste suhtega ning elektronpilve jaotusega. See võimaldab paremini mõista vee ja jää kristallstruktuuri moodustumist. Analoogiliselt aitab DNA molekuli mudel mõista geneetilise informatsiooni talletamist selles aines. Neid mudeleid kasutavad palju keemia ja bioloogia, aga nad on loodud füüsikaliste uurimismeetodite abiga ning teiste füüsikaliste mudelite baasil. Gloobus kui Maa vähendatud mudel võimaldab paremini aru saada öö ja päeva vaheldumisest. Süsteemi Maa-Kuu-Päike mehaaniline mudel aitab paremini mõista aastaaegade vaheldumist Maal ning kuu- ja päikesevarjutuste teket. Ka need mudelid on algselt loonud füüsika, kuid neid kasutab laialdaselt geograafia

Feynmani diagrammid on osakestefüüsika matemaatiliste avaldiste visuaalsed väljendused, mis lihtsustavad oluliselt muidu väga abstraktset maailma.

Aineliste mudelite spetsiifilise alaliigina võib vaadelda pildilisi mudeleid. Nende korral pole modelleeritavast objektist tehtud reaalset kolmemõõtmelist vähendatud või suurendatud osalist koopiat. Seda koopiat on vaid kujutatud kahemõõtmelisel joonisel, mis rõhutab originaali neid omadusi, mis on mudeli looja jaoks olulised. Tänapäeval kasutatakse üha rohkem ka arvutimudeleid ehk animatsioone. Need on järjestikuste piltide seeriad ehk videod, arvuti-eelsel ajastul nimetatud ka filmideks. Loodusteaduslikud arvutimudelid võimaldavad kas ühte ja sedasama loodusobjekti vaadelda erinevates vaadetes ehk rakurssides või siis jälgida loodus­nähtuse ehk protsessi arengut läbi protsessi kirjeldavate järjestikuste kujutiste. Arvutite riist- ja tarkvara areng on võimaldanud kaasajal üha rohkem kasutada ka interaktiivseid arvutimudeleid, mille korral mudeli kasutaja saab ise mudeli tingimusi varieerida ja seeläbi paremini tunnetada looduses valitsevaid põhjuslikke seoseid. 

Juhul, kui loodusobjekti uuritakse ja kirjeldatakse mitte ainelise mudeli, vaid mõtteliste kujutluste ning neid väljendavate matemaatiliste avaldiste abil, on tegemist abstraktse mudeliga (ld abstractus – mõtteline). Abstraktne mudel on objekti mõtteline visioon, kontseptsioon objektist mõtleva inimese teadvuses. Vaatleja suudab abstraktseid mudeleid luua vaid seetõttu, et tal on olemas mõistus ehk süllogismide moodustamise võime (p.1.2.1). Füüsika üldmudelid, millega me tegeleme terves järgmises peatükis, on samuti looduse abstraktsed mudelid. Nende hulgas omavad erilist tähtsust füüsikalised suurused. Füüsika üldmudelid on enamasti kehade või väljade omadusi kirjeldavad mudelid, ehk küll leidub ka protsesse kirjeldavaid füüsikalisi suurusi kui mudeleid (nt kiirus, kiirendus, töö või võimsus). Praegu keskendume aga mitte üksikutele füüsikalistele suurustele, vaid suuruste vahel valitsevate seostele. 

Aineliste mudelite detailsus võib olla väga erinev. See on auruveduri mudel, mis on tõelisest masinast 160 korda väiksem. Et tegemist on käsitööga, võib vaid ette kujutada, kui palju aega ja vaeva selle valmistamise ning viimistluse peale kulus. Aga kas see mudel aitab meil ka reaalsete rongide liikumist kirjeldada?

Selleks, et ennustada, millal jõuab rong järgmisse jaama, pole vaja kasutada rongi ainelist mudelit ehk laste mängurongi. Me võime tõelist rongi lihtsalt ette kujutada. Seejuures pole üldse tähtis, kui mitmest, kui pikast ning millist värvi vagunist see rong koosneb. Lõppjaama jõudmise aja ennustamisel pole oluline, milline rong välja näeb. Tähtis on vaid see, kus rong asub erinevatel ajahetkedel. On vaja teada rongi asukoha sõltuvust ajast. Sellise ülesande puhul piisab, kui kujutame tervet rongi ette vaid punktina, millel mõõtmed puuduvad. Rongi mõõtmed, kuju ja muud omadused pole hetkel olulised. Oluline on vaid see, kus asub rongi tähistav punkt ja kuidas selle punkti asukoht aja jooksul muutub. Ühe punktina kujuteldav rong, auto või lennuk on tuntud füüsika üldmudelina, millel nimeks punktmass. Selle mudeliga tegeleme peagi lähemalt (p.3.1.2). Praegu nendime vaid, et rongi liikumise modelleerimiseks piisab, kui lihtsalt kujutame selle liikumist ette ja esitame matemaatilise valemi, mis võimaldab leida rongi asukoha mistahes ajahetkel. 

Tartust Tallinnasse liikuva rongi kirjeldamiseks piisab tihti punktist kaardil.

Rongi liikumise visiooni ehk mõttekujundi abstraktseks mudeliks on matemaatiline avaldis, mis lubab liikumisoleku omadusi teades välja arvutada rongi kaugust lähte­jaamast mistahes võimalikul ajahetkel. Kui rongi kaugust lähtejaamast (avaldatuna meetrites) tähistada tähega x ja sekundites avaldatud aega, mis on möödunud liikumahakkamisest – tähistada tähega t, siis väljendab selle rongi liikumist näiteks avaldis x = 20 t. See avaldis ongi rongi liikumist kirjeldav matemaatiline mudel. 

Matemaatilisele avaldisele tuginevat loodusnähtuse (nt rongi liikumise) kirjeldust nimetatakse analüütiliseks mudeliks. Rongi asukoha sõltuvust ajast saab peale matemaatilise valemi väljendada ka graafiku abil. Sel puhul on tegemist loodusnähtuse graafilise mudeliga. Olgu veel märgitud, et rongi kaugus lähtejaamast ja rongi poolt läbitud teepikkus on üks ja seesama asi. Teepikkusega s oleme aga juba kokku puutunud põhikooli füüsika mehaanika osas. 

Analüütilise mudeli loomist alustame rongi liikumise sihipärasest vaatlusest, millega kaasneb mõõtmine. Olgu meil näiteks raudteel iga kilomeetriposti juurde paigutatud fotovärav ehk seade, mis fikseerib rongi jõudmise selle konkreetse postini. Fotoväravatest lähevad signaalid mõõtja arvutisse, mille kell fikseerib iga signaali saabumisaja. Moodustub andmefail, mis sisaldab lähte­jaamast alates loendatud kilomeetripostide järjekorranumbreid, postide kaugusi lähtejaamast ja rongi jõudmiseks vastava kilomeetripostini kulunud aegu. Arvuti võib olla programmeeritud väljastama neid andmeid otsekohe alljärgneva tabeli kujul, kus füüsikaliste suuruste tähiste järel on sulgudes toodud mõõtühik.

Mõistagi tuleks kõigile mõõteväärtustele lisada mõõtemääramatused. Kaasaegsete arvutipõhiste mõõtesüsteemide kasutamise korral on mõõtemääramatuste hindamine omaette mahukas teema, mistõttu me seda siin praegu arendama ei hakka. Kui me aga teostame mingit samalaadset mõõtmist käepäraste mõõtevahenditega, siis hindame mõõtemääramatusi analoogiliselt ülalpool (p.2.4.3) kirjeldatuga ning kanname mõõte­väärtused koos mõõtemääramatustega omajoonistatud tabelisse. 

Abstraktne analüütiline mudel, millega kirjeldada objekti asukohta kindlatel ajahetkedel.

Meie järgmiseks tegevuseks on andmetöötlus. Selleks koostame kõigepealt graafiku, mille horisontaalsele ehk matemaatiliselt väljendudes abstsissteljele märgime aja t väärtused (joonis 2.4). Vertikaalsele ehk ordinaatteljele kanname kaugused lähtejaamast x (või läbitud teepikkused s). Näeme, et graafik on tõusev sirge, mis läbib koordi­naatide alguspunkti. Matemaatikast teame, et sel juhul on tegemist võrdelise sõltuvusega ehk lineaarfunktsiooniga y = a x, kus y on funktsioon ja x – argument. Meie mudelis on argumendiks aeg t ja funktsiooniks läbitud teepikkus s. Seega meie juhul s = v t, kuna põhikooli mehaanikast me juba teame, et 

Tabelist näeme ka, et graafiku mistahes punkti järgi arvutades saame konstantse kiiruse v = 20 m/s. Konstantse kiirusega toimuvat liikumist nimetatakse füüsikas ühtlaseks liikumiseks. Vaadeldes läbitud teepikkust s kaugusena lähtejaamast x ehk suurusena, mida Mehaanika kursuses nimetatakse koordinaadiks, olemegi saanud rongi liikumise protsessi analüütilise mudeli, mida Mehaanika kursuses nimetatakse liikumisvõrrandiks:

Abstraktse analüütilise mudeli (x=20·t) graafik.

Liikumisvõrrand võtab kõige kompaktsemalt ja üldisemalt kokku meie üksikud katsetulemused. Jääb veel üle küsida – miks me ikkagi nimetame kõike ülaltoodut mudeliks? Kas konstantse kiirusega liikuv rong on siis nii keeruline loodusobjekt? Asja üle pisut järele mõeldes peame tõdema, et rongi nii pikaajalist ühtlast liikumist esineb tõepoolest harva. Teeolud on muutlikud ja vastavalt neile muudab vedurijuht tegelikkuses rongi kiirust. Seega on rangelt ühtlaselt liikuv rong tõepoolest idealiseeritud objekt, on looduse mudel. 

Tekib ka küsimus, mis meil loodud mudelist kasu on? Oletagem, et meid huvitab, kas uuritav rong võib 15 minuti jooksul jõuda järgmisesse jaama, mis on lähte­jaamast 20 km kaugusel. Asendame aja t = 15 . 60 s = 900 s liikumisvõrrandisse ja saame: 

Seega vastus püstitatud küsimusele on eitav. Rong läbib 15 minuti jooksul 18 km ja ei jõua veel jaama, mis paikneb 20 km kaugusel lähtejaamast. 

Praktiline mudeli loomine
Vabalt rippuva kumminööri kinnitusotste kaugus on ligikaudu 4 cm. Raskuskoormisega venitub nöör 1,88 korda pikemaks.

Kõik me teame, et kumminöör venib selle tõmbamisel ühest otsast, kui teine ots on paigal. Uurime kumminööri venimise nähtust lähemalt katse abil. Selleks vajame kumminööri, mõõtjoonlauda ning teadaoleva massiga kehi, mille kaalu saaks kasutada teadaoleva jõuna. Katse käigu kohta koostame protokolli. 

Töövahendid: traadist kinnituskonksude­ga uuritav kummipael; mõõtjoonlaud 0...30 cm ±0,5 mm; neli ühesugust rauast koosnevat detaili, igaüks massiga (30 ±3) g 

Töö käik: kinnitame kumminööri vertikaalasendisse paigutatud mõõtjoonlaua külge rippuma. 

Märgime üles, millise jaotise kohal asub nööri lõpus olev traadist osuti koormiste puudumisel. Nüüd asume uurima, kuidas kumminööri külge riputatud seibid nööri venitavad. Riputame nööri otsa erineval hulgal seibe ning märgime üles nende arvu n, summaarse massi m ning väljaveninud kumminööri pikkuse l. Hindame katse oludest lähtuvalt kumminööri pikkuse mõõtmise määramatust. Kanname kõik mõõteväärtused tabelisse. Kõige lõpuks mõõdame, kui pikaks venitab kumminööri selle otsa riputatud kohuke. 

Kanname katsepunktid graafikule.

Arvutame iga koormise ehk seibide arvu jaoks kumminööri pikenemise Δl. Selleks lahutame väljavenitatud kumminööri pikkusest ilma koormiseta mõõdetud algpikkuse. 

Katsetulemuste tabel.

Katse käigus selgus, et kuigi mõõtjoonlaua skaala vähima jaotise pikkus on 1 mm, tuleb kumminööri pikkuse mõõtemääramatuseks võtta 0,5 cm. Mõõtmise ajal koormis võnkus ja osuti näitu polnud võimalik täpsemini fikseerida.

Mõõtmistulemuste analüüs: Andmeid vaadates on näha, et mida suurema massiga on koormis, seda rohkem kummi­nöör pikeneb. Milline see sõltuvus aga täpsemalt on, saame öelda alles graafiku põhjal. Koostame katsetulemuste graafiku (joonis 2.5). Selleks joonestame esmalt sobivas mõõtkavas teljestiku, mille horisontaalteljele märgime katse käigus muudetud raskuste massi ja püstteljele kumminööri pikenemise. Seejärel kanname graafikule katsepunktid

Katsepunktide ümber on joonistatud mõõtemääramatuse piirkonnad.

Me ei tohi nüüd katsepunkte otsekohe joonega ühendada.

Selline teguviis väljendaks veendumust, et meie mõõtmised olid absoluutselt täpsed. Loodetavasti me aga teame juba, et see pole võimalik. Me peame märkima iga punkti ümber mõõtemääramatuse piirkonna ehk kasti, mille keskel paikneb katsepunkt ja mille laiuseks ning kõrguseks on vastava mõõtesuuruse kahekordsed mõõtemääramatused. Nüüd joonistame uuritavat sõltuvust kirjeldava graafiku, püüdes selleks valida võimalikult lihtsa joone. See joon ei pea läbima kõiki katsepunkte, vaid ainult katsepunkte ümbritsevaid mõõtemääramatuse piirkondi. Näeme, et meie katses saab graafikuks võtta sirgjoone.

Sirget on võimalik väljendada matemaatilise võrrandi abil. Võrrandi tuletamiseks valime joonestatud sirgel välja ühe punkti ning leiame graafikult sellele punktile vastava massi ja pikenemise. Valime näiteks väärtused m = 110 g ja Δl = 11,1 cm. Selle arvupaari põhjal leiame, kui palju venib kumminöör ühikulise massiga koormise mõjul. Jagame valitud pikenemise vastava massiga. Tulemuseks saame

Kasutasime seni katses ja tulemuste analüüsis mõõtühikutena sentimeetrit ja grammi, kuna need olid graafiku koostamisel mugavamad kasutada. Lõpptulemuse avaldame siiski ka kujul, mis sisaldab SI ühikuid meeter ja kilogramm. 

Kui me soovime ennustada, kui palju venib kumminöör näiteks 50-grammise koormise korral, siis tuleb mass saadud arvuga läbi korrutada. Me saame 

Läbi mõõtemääramatuse piirkondade on võimalik joonistada sirgjoon.

Sama protseduur sobib ka mistahes muu koormise korral. Pikenemise leidmiseks tuleb mass korrutada graafikult leitud suurusega 0,10 cm/g. Oleme pikenemise arvutamiseks saanud valemi:

Kumminööri pikenemine on võrdelises sõltuvuses otsariputatud raskuse massist, kuna mass on saadud valemis esimeses astmes. Jällegi on tegemist matemaatikast tuntud lineaarfunktsiooniga y = a x, kus y on funktsioon ja x – argument. Meie praegusel juhul on argumendiks koormise mass m ja funktsiooniks kumminööri pikenemine Δl. Saadud valem on kumminööri venimise analüütiline mudel. Mudeliks on ka meie eespool joonestatud graafik. Kui me katsetaksime mõne teise kumminööri või vedruga, tuleksid arvud küll teised, aga nähtuse olemus jääks samaks – valem ja graafik oleksid meie poolt saadutega sarnased. Seega oleme loonud ühe üpris üldise loodusnähtuse mudeli. Rõhutame veelkord, et sirge, mille me graafikule tõmbasime, ei läbi tegelikult kõiki katsepunkte. Tegemist on lihtsustusega, mis ei kajasta reaalset nähtust absoluutselt täpselt. Füüsikaline mudel on alati lihtsustus. Võimalik, et teostades täpsemaid mõõtmisi ja proovides graafikuna mõnd teist joont ja sellele vastavat matemaatilist avaldist, saaksime kumminööri venimise kirjeldamiseks täpsema mudeli. 

Joonistatud graafikult saab leida kumminööri pikenemise suvalise raskuse korral.

Mudeli tingimused: Meenutagem näidet hüpoteesi katselise kontrollimise kohta (p.2.1.1). Nimelt oli tähtis rõhutada katse tingimusi, sest teistsugustes tingimustes ei oleks katse tulemus pruukinud olla selline. Sama probleem tekib mudeli loomisel. Kui näiteks mõõtjoonlaua asend ülalkirjeldatud praktilises töös erineb oluliselt vertikaalsest ning kumminööri otsa riputatud detailid on mõõtjoonlauaga tugevas kontaktis, siis hakkab koormise raskusjõu mõjul toimuvat kumminööri pikenemist takistama hõõrdejõud. Me eeldasime ülalpool, et ainsaks kumminöörile mõjuvaks jõuks on koormise raskusjõud. Kui see nii ei ole, siis me ei pruugi enam saada võrdelise sõltuvuse mudelile alluvaid katsetulemusi. Mudel kirjeldab loodust kindlates fikseeritud tingimustes. Nende puudumisel ei tarvitse selline mudel enam kehtida. Niisiis, võrdeline sõltuvus koormise massi m ja kumminööri pikenemise Δl vahel kui looduse mudel, kehtib eeldusel, et koormisele mõjub ainult kaks jõudu: allapoole suunatud raskusjõud ja kumminööri esialgset pikkust taastada püüdev jõud, mis on suunatud ülespoole. Muud jõud puuduvad. See on uuritava mudeli tingimus.

Mudeli rakendamine: Saime kumminööri venimise mudeli nii graafiliselt kui ka analüütilisel kujul ehk valemina. Mudeli abil võime ennustada, kui palju venib kumminöör siis, kui me riputame tema otsa selliseid kehi, millega me veel katsetanud pole. Lisaks märkame, et uuritav kumminöör on nüüd ise kasutatav mõõtevahendina. Me võime tema abil mõõta erinevate esemete masse, kuna valemis 2.9 sisalduva suuruse 0,10 cm/g leidmisega oleme kumminööri kui mõõtevahendi esimeses lähenduses ära kalibreerinud. Katsetulemuste tabeli viimasest reast loeme, et kumminöör pikenes kohukese raskuse toimel 4,2 cm võrra. Avaldades valemist 2.9 massi, saame et

Järelikult on uuritava kohukese mass 42 grammi. Pole kahtlust, et need, kes on kogu mudeli loomise korralikult kaasa teinud, on selle kohukese ausalt ära teeninud.

Kui mõõtmistulemused ja teooria omavahel ei klapi, siis on kaks võimalust - kas mõõtmised on halvasti tehtud või on kasutatav mudel ebasobiv. Et kass saaks oma uuri pendli järgi õigeks seada, peab eelnevalt olema piisava täpsusega määratud pendli periood. Pendel on aga füüsikas hästi tuntud mudel. Mudelitest järgmine peatükk räägibki.

Kass on kellassepp
Füüsika üldmudelid

Paljudki nähtused meie igapäevases elus tunduvad päris keerulised, eriti kui on tarvis seletada, et miks see asi ikkagi nii või teisipidi toimub. Veel keerulisem ülesanne siis kui on tarvis ennustada, kuidas üks või teine nähtus edasi areneb. Füüsikas kasutatakse looduse kirjeldamisel mitmesuguseid mudeleid. Osad neist mudelitest on sõltumata konkreetsest nähtusest või isegi füüsikaharust kasutatavad kogu füüsikas. Mudelite kasutamine teeb lootusetult keerulised ülesanded hoomatavaks, keerulised ülesanded lahendatavaks. Miks kass kukub käppadele? Kuidas Segway püsti seisab?

Füüsikalised objektid ja suurused
Mis on füüsika üldmudelid?
Iga mudeli kasutamisel peaksime küsima, mis on need loodusobjekti omadused, mis selle mudeli poolt arvestamata jäetakse. Sellise kassi mudeliga arvestamine on hiirele arvatavasti ebatervislik.

Füüsikas kasutatakse looduse kirjeldamisel mitmesuguseid mudeleid. Kumminööri venimise nähtuse uurimisel õnnestus meil luua selle nähtuse abstraktne mudel, mille võis esitada graafiku või valemina (p.2.5.2). See mudel kirjeldab ühe konkreetse kumminööri venimist otsariputatud koormise mõjul. Mudel on ka laiemalt kasutatav, kuna saadud valem kehtib tõenäoliselt kõigi kumminööride puhul. Iga kumminööri jaoks tuleb eraldi määrata vaid võrdeteguri väärtus. Sellegipoolest jääb saadud mudel kirjeldama üpris kitsast nähtuste ringi. 

Saab aga luua ka selliseid mudeleid, mis sõltumata konkreetsest nähtusest või isegi füüsikaharust on kasutatavad kogu füüsikas. Selliseid mudeleid, mis on kasutatavad kogu füüsikas, nimetatakse füüsika üldmudeliteks. Füüsika üldmudeliks on näiteks keha. Rääkides füüsikalistest kehadest, peame silmas ükskõik mida, millel on kindlad piirjooned, mõõtmed ja mass. Füüsikaline keha võib olla õun, auto, inimkeha või terve planeet Maa. Füüsikaliste kehadega toimuvate nähtuste kirjeldamisel puhul pole sageli olulised nende kuju ja mõõtmed. Vaja on teada vaid nende asukohta ja massi. Kui me kujutame keha ette punktikujulisena, saame omakorda keha mudeli, mida nimetatakse punktmassiks. Niisiis on punktmass selline keha mudel, mille korral keha massi vaadeldakse koondununa ühte punkti. Iga mudeli kasutamisel peaksime iseendalt küsima, mis on need reaalse loodusobjekti omadused, mis konkreetse mudeli poolt arvestamata jäetakse. Punktmassi korral on selleks keha kuju ja mõõtmed. 

Kõnes viitame liikuvatele asjadele üldiste nimetustega: auto sõidab, laev purjetab, kurikas lendab. Oleks lõpmata tüütu selle asemel öelda: sõidab nelja rattaga karbilaadne asi, purjetab masti ja ümara kerega alus, lendab

Juba korduvalt on juttu olnud ka sellest, et füüsika üldmudeliteks on füüsikalised suurused. Kõik suurused kirjeldavad mingite loodusobjektide ühte kindlat omadust. Kui see on väga üldine omadus, siis oleme vastavat suurust käsitlenud käesoleva kursuse 3. osas. Nii näiteks kirjeldab keha liikumisolekut kiirus, liikumisoleku muutumist kiirendus, keha võimet vastu panna liikumisoleku muutumisele – mass. 

Füüsikalised objektid
Kehad ja väljad: gravitatsioon.

Füüsikaline objekt on mõiste, mida kasutatakse kahes tähenduses. Üks võimalus on nimetada füüsikalisteks objektideks ainult kehi ja väljasid (kitsam tähendus). Teine ja käesolevas õpikus kasutatav variant hõlmab füüsikalise objekti mõiste alla ka loodus­nähtused ehk protsessid (lai tähendus). Lai tähendus on eelistatavam, sest inimene kui looduse vaatleja on subjekt, kes uurib nii kehi, väljasid kui nende osalusel toimuvaid protsesse. Need kõik on tema vaatlusobjektid. Laias tähenduses on ka liikumine, liikumisoleku muutumine ja vastastikmõju füüsikalised objektid, mida kirjeldatakse vastavate füüsikaliste suuruste abil. Me usume, et kõik füüsikalised objektid on olemas objektiivselt, see tähendab – sõltumatult mistahes vaatlejast või koguni inimkonnast tervikuna. Füüsikalised suurused on aga vaatlejate ühised kujutlused, ühised väljamõeldised. Nad on füüsika üldmudelid, mille abil on mugav füüsikalisi objekte kirjeldada. 

Kehad ja väljad: magnetväli mõjutab rauapuru.

Väljad on mitteainelised objektid. Väljade tunnuseks on see, et nad mõjutavad kehi ja omavad energiat. Näiteks Maa gravitatsiooniväli kutsub esile kõigile kehadele mõjuva raskusjõu, elektriväli mõjutab aga jõuga elektrilaengut omavaid osakesi ja kutsub seeläbi esile elektrivoolu. Väljaliste objektide korral ei ole rakendatavad ruumi ja aja mõisted. Lähemalt tuleb selle põhjustest juttu allpool (p.4.5). 

Kehad on ainelised objektid. Kehadeks on näiteks vee molekul kui mikrokeha, inimkeha kui makromaailma keha või Päike kui megamaailma kuuluv keha. Kehade juures saab uurida nende kuju, värvust, mõõtmeid, koostist aga ka nende omavahelist liikumist ja vastastikmõjusid. Kehade puhul saab kasutada ruumi ja aja mõisteid. Ruumi mõiste kujundab vaatleja kehade omavahelisel mõõtmelisel võrdlemisel (pikem-lühem, laiem-kitsam, kõrgem-madalam jne). Aja mõiste kujundab vaatleja kehade omavahelise liikumise võrdlemisel. Lähemalt sellest allpool (p.3.2.4). 

Nähtuse mudeli saab esitada kas tabeli, graafiku või valemi abil.

Nähtused on aineliste ja väljaliste objektidega toimuvad muutused. Füüsikaliseks nähtuseks on näiteks kehade omavaheline liikumine, ahju soojenemine, valguse peegeldumine või neeldumine. Füüsikalist nähtust kirjeldab nähtuse mudel, mida saab teatavasti esitada kas: a) tabeli abil, b) graafiku abil või c) valemi abil. Seejuures suureneb selles reas kirjelduse üldisus. Tabelis näeme vastavust füüsikaliste suuruste üksikute väärtuste vahel. Meie tähelepanu keskendub üksikule väärtuste paarile. Graafikul näeme juba korraga kõiki mõõteväärtusi. Meie tähelepanu keskendub joonele, mis kirjeldab füüsikaliste suuruste omavahelist sõltuvust tervikuna. Valem aga võib kirjeldada vaadeldavat sõltuvust mitte ainult konkreetse uurimisobjekti korral vaid mistahes samalaadse objekti uurimisel. Kahe füüsikalise suuruse omavahelise sõltuvuse kui põhjusliku seose korral esineb üks suurus põhjusena ja teine tagajärjena. Matemaatikas nimetatakse esimest argumendiks x ja teist funktsiooniks y = f (x). Graafiku joonistamisel kantakse põhjusena toimiva suuruse (argumendi) x väärtused reeglina rõhtteljele (abstsissteljele) ning tagajärjeks osutuva suuruse (funktsiooni) y väärtused püstteljele (ordinaatteljele). Nii toimisime ka meie kumminööri venimise mudeli loomisel (p.2.5.2) 

Kõige sagedamini sõltuvad kaks füüsikalist suurust teineteisest astmefunktsiooni järgi. Astmesõltuvuse tuntuimad erijuhud on järgmised. 

– Võrdeline sõltuvus, mille korral põhjusena toimiva füüsikalise suuruse x astendaja sõltuvust kirjeldavas valemis on +1: y = a x+1 ehk y = a x, kus a on konstant. Võrdelise sõltuvuse graafik on sirge. Võrdeline oli sõltuvus näiteks koormise massi m ja kumminööri pikenemise Δl vahel (p.2.5.2), aga võrdelises sõltuvuses kulunud ajast t on ka näiteks ühtlasel liikumisel (v = const) läbitud teepikkus s (p.2.5.1). Viimasel juhul läheb sõltuvuse üldine matemaatiline kuju y = a x üle konkreetsemale füüsikalisele kujule s = v t

– Pöördvõrdeline sõltuvus, mille korral põhjusena toimiva füüsikalise suuruse x astendaja valemis on –1: y = a x–1 ehk y = a/x. Pöördvõrdelise sõltuvuse graafik on hüperbool. Pöörd­võrdeline sõltuvus esines põhikooli elektriõpetuses takistuse R (kui suuruse x) ja voolu­tugevuse I (kui suuruse y) vahel konstantse pinge rakendamisel. Sõltuvuse üldine matemaatiline kuju y = a/x, kus suurused x ja y on täpselt määratlemata, läheb kindla loodusnähtuse kirjeldamisel üle füüsikalisele kujule I = U/R, mis on tuntud kui Ohmi seadus. Pöördvõrdelises sõltuvuses keha massist m on näiteks ka keha kiirendus a konstantse jõu F mõjumisel kehale (Newtoni II seadus a = F/m , p.3.5.3).

– Ruutsõltuvus, mille korral põhjusena toimiva füüsikalise suuruse astendaja valemis on +2: y = a x2 Ruutsõltuvuse graafik on parabool. Ruutsõltuvuses keha massist m on näiteks keha kineetiline energia Ek = mv2/2 (p.3.6.2. valem 3.9). 

– Pöördruut-sõltuvus, mille korral põhjusena toimiva füüsikalise suuruse astendaja valemis on –2: y = a x–2 ehk y = a/x 2. Pöördruut-sõltuvusega puutume kokku gümnaasiumi järgmistes füüsikakursustes. 

Füüsikalised suurused kui looduse üldmudelid
Klotsidel on nii nimelisi, järjestatavaid, kvantitatiivseid diskreetseid kui ka kvantitatviivseid pidevaid omadusi.

Füüsikalised objektid võivad üksteisest erineda mitmesuguste omaduste poolest. Omadusi jagatakse tavaliselt nelja gruppi:

Mis ja miks on diskreetimine?

  1. Nimelised omadused on sellised, mida saame väljendada sõnaliselt, kuid nende järjestamine pole üldjuhul võimalik. Nimelisteks omadusteks on näiteks õpilase sugu (poiss või tüdruk), õpilase silmade värvus (hallid, pruunid või sinised) ja tema poolt manustatava toidu maitse (hapu, magus või mõru). Füüsikalise objekti nimelist omadust ei saa kirjeldada füüsikalise suuruse abil. Me ei suuda sellise omaduse korral defineerida mõõtühikut, seega ei saa me teostada mõõtmisi.

  2. Järjestatavad omadused on sellised, millele saab omistada järjenumbri, kuid need numbrid on vaid kokkuleppelised ega võimalda matemaatilisi operatsioone väärtuste vahel (nt liitmist-lahutamist). Järjestatavateks omadusteks on näiteks juuksevärve tootva firma poolt kasutatava värviskaala parameeter või arstide poolt kasutatavad haiguste raskusastmed (vähi esimene ja teine staadium). Järjestatavaid omadusi mõnikord siiski kirjeldatakse suurustega, mida mõned peavad ka füüsikalisteks (näiteks materjalide kõvaduse skaala, maavärinate tugevuse skaala), kuid rangelt nad siiski füüsikalise suuruse tingimustele ei vasta, kuna matemaatilisi meetodeid me nende puhul rakendada ei saa. 3-palline ja 4-palline maavärin ei anna kokku 7-pallist.

  3. Kvantitatiivsed diskreetsed omadused on sellised, mida saab iseloomustada täpse arvuga, kuid võimalikud on vaid selle teatud kindlad väärtused. Näiteks prootonite arv aatomituumas saab olla 2 või 14, kuid mitte kunagi 2,75. Ka aatomite arv molekulis ei saa olla murdarvuline. Diskreetset omadust kirjeldab juba füüsikaline suurus, sest matemaatilistele tehetele vastava suuruse väärtuste vahel vastab looduse kindel omadus. Kui me lisame lämmastiku aatomi tuuma seitsmele prootonile kaheksanda, siis me saame juba hapniku aatomi tuuma. Füüsikalise objekti diskreetseid omadusi kirjeldab diskreetne füüsikaline suurus. Mikro- ja megamaailma füüsika kursuses puutume kokku suurustega, mis makromaailmas ei ole diskreetsed, kuid osutuvad diskreetseteks mikromaailmas (näiteks elektroni kiirus või aatomi energia).

  4. Kvantitatiivsed pidevad omadused on sellised, mida saab iseloomustada täpse reaalarvulise väärtusega. Seejuures on võimalike väärtuste arv lõputu. See tähendab, et mistahes kahe väärtuse vahel leidub veel palju erinevaid väärtusi. Kvantitatiivseid pidevaid omadusi kirjeldavad pidevad füüsikalised suurused. Näiteks keha inertsuse omadust (kalduvust säilitada oma liikumisolekut) kirjeldab keha mass, keha või ainekoguse soojusastet kirjeldab temperatuur, gaasi molekulide kogumõju anuma seina pinnaühikule kirjeldab gaasi rõhk.

Looduse üldisi mudeleid, mis kirjeldavad füüsikaliste objektide mõõdetavaid omadusi, nimetatakse füüsikalisteks suurusteks. Füüsikalised suurused saab omakorda jagada skalaarseteks ja vektoriaalseteks suurusteks. 

Skalaarsed ja vektoriaalsed suurused
Skalaarsetel suurustel on arvuline väärtus, kuid neil ei ole suunda.

Füüsikalist suurust, mis on esitatav vaid ühe mõõtarvu ja mõõtühikuga, nimetatakse skalaarseks suuruseks ehk skalaariks (lad scala – redel, astmestik). Skalaarsetel suurustel on arvuline väärtus, kuid neil pole suunda. Skalaarsed suurused on näiteks aeg, pikkus, mass, rõhk, ruumala, energia, temperatuur. Mõnikord võib jääda ekslik mulje, et mõnel skalaaril on siiski suund olemas. Näiteks aeg näib kulgevat ühes suunas ja soojendatava vee temperatuur muutub suurenemise suunas. Nende näidete puhul on tegemist vaid nähtustega, kus toimub suuruse arvulise väärtuse muutumine. Siin pole otseselt tegemist suunaga ruumis. Siiski kujutleme me skalaarse suuruse väärtusi reeglina paiknevatena arvteljel. Sellel teljel on sageli olemas kokkuleppeline nullpunkt, millest ühele poole jäävad skalaarse suuruse positiivsed ja teisele poole negatiivsed väärtused. Miinusmärk skalaarse suuruse arvväärtuse ees väljendab mõttelist liikumist arvteljel negatiivses suunas ehk siis vastupidiselt kokkuleppelisele positiivsele suunale. Näiteks keha negatiivne kõrgus maapinnast tähendab seda, et keha asub tegelikult maapinnast allpool. Negatiivne aeg tähendab seda, et sündmus leidis aset enne kokkulepitud nullhetke. Negatiivne temperatuuri­muutus tähendab seda, et temperatuur mitte ei tõusnud, vaid langes. 

Skalaarne suurus omab arvulist väärtust ja mõõtühikut. Selline suurus pannakse alati kirja kui arvu ja mõõtühiku korrutis, kusjuures korrutusmärki tavaliselt välja ei kirjutata. Näiteid selle kohta sai toodud juba eespool (p.2.2.2 ja 2.4.3). Skalaarsete suurustega saab sooritada erinevaid matemaatiliseid tehteid. Seejuures ei tohi muidugi unustada mõõtühikuid. Tehe sooritatakse eraldi nii arvväärtustega kui mõõtühikutega. Mõned näited:

Skalaarse suuruse korrutamine arvuga:  Kolme 100-grammise vihi mass on kokku 3 × 100 g = 300 g.

Skalaarsete suuruste omavaheline liitmine või lahutamine: Kui tõstame 1 m kõrguse kasti otsa 75 cm kõrguse kasti, on tekkiva kastivirna kogukõrgus 1 m + 0,75 m = (1 + 0,75) m = 1,75 m. Meenutagem, et omavahel liita ja lahutada saab vaid sama tüüpi suurusi, millel on ühesugune mõõtühik.

Skalaarsete suuruste omavaheline korrutamine või jagamine: 1,5 m kõrguse ja 3 m2 põhja pindalaga veepaagi ruumala on 1,5 m × 3 m2 = (1,5 × 3) × (m × m2) = 4,5 m3.
Kui inimene tõuseb mööda treppi 5 sekundi jooksul maja esimeselt korruselt teisele, tehes raskusjõu vastu 2000 džauli tööd, siis on selle inimese lihaste keskmine võimsus (2000 J)/(5 s) = (2000/5) (J/s) = 400 W. 

Kui me teame palli koordinaati, aga ei tea selle liikumise suunda, siis ei saa me kuidagi teada, kas kass just viskas palli või hakkab seda kohe püüdma.

Me kohtame füüsikas palju ka selliseid suurusi, mida iseloomustab lisaks arvulisele väärtuse suund. Näiteks ei saa me ennustada, kuhu teadaoleva kiirusega sammuv matkaja kolme tunni pärast kohale jõuab, kui me ei tea, millises suunas ta liigub. Matemaatikas nimetatakse suunatud sirglõiku vektoriks (lad vector – kandja, edasiviija). See nimetus on üle võetud ka füüsikasse. Ruumilist suunda omavaid füüsikalisi suurusi nimetatakse vektoriaalseteks suurusteks. Vektoriaalseteks suurusteks on näiteks kiirus, kiirendus ja jõud. Joonistel ja valemites tähistatakse vektoriaalseid suurusi nii, et suuruse tähise kohale märgitakse väike nooleke. Näiteks kiirusvektori tähis on v ja jõuvektori tähis F

Vektori pikkust nimetatakse vektori mooduliks. Kii­rus­vektori pikkus on võrdne kiiruse arvväärtusega ja jõuvektori pikkus on võrdne jõu arvväärtusega. Vektoreid ehk suunaga lõike iseloomustab korraga nii lõigu pikkus kui suund. Kaks vektorit on võrdsed, kui nende pikkused on võrdsed ja nad on samal ajal ka ühesuguse suunaga. Pikkuste või suundade võrdsusest veel vektorite võrdsuseks ei piisa. Pikkused ja suunad peavad võrdsetel vektorsuurustel korraga ühesugused olema (vt joonis ...)

Vaatleme nüüd tehteid vektoritega. Vektori korrutamisel või jagamisel arvuga jääb suund samaks, tehe mõjutab vektori pikkust. Miinus ühega korrutamisel ehk vektoriaalse suuruse märgi vastupidiseks muutmisel jääb vektori pikkus samaks, aga suund muutub vastupidiseks (vt joonis ...)

Vektorite liitmiseks on kaks võimalust: kolmnurga reegel ja rööpküliku reegel:

Kolmnurga reegli järgi liitmisel tuleb teist vektorit iseendaga paralleelselt nihutada nii, et teise vektori algus ühtiks esimese vektori lõpuga. Vektorite summaks on esimese vektori algusest teise lõppu suunatud vektor (vt joonis).

Rööpküliku reegli järgi liitmisel tuleb teist vektorit nihutada nii, et mõlema vektori alguspunktid langeksid kokku. Vektorite summaks on liidetavatest vektoritest moodustuva rööpküliku diagonaali suunaline ja pikkune vektor (vt joonis).

Kui vektorite liitmine on selge, ei tohiks ka lahutamine raskusi valmistada. Vektori lahutamine teisest pole ju midagi muud kui vastupidise suunaga vektori liitmine (vt joonis).

Füüsika ja matemaatika
Desaurge`i teoreem on tõestatud mõttelises Eukleidilises ruumis, mille definitsioonid on ranged ning arutluskäigud absoluutsed. Meid ümbritseva loodusega on teoreemi seos kaudne.

Füüsika olemuse mõistmisel on üpris oluline õigesti teadvustada füüsika suhet matemaatikaga. Täppisteaduslikku lähenemist kasutav koolifüüsika kipub õppurile sisendama väärarvamust, et füüsika ja matemaatika vahel kõneväärset erinevust polegi. Füüsika on lihtsalt mõnevõrra raskem, sest arvutamisel tuleb kasutada mõõtühikuid, mis matemaatikas tavaliselt puuduvad. Samas definitsioonid, valemid, tõestused ja arvutusülesanded on olemas nii füüsikas kui matemaatikas. Siiski on füüsikal ja matemaatikal ka suuri erinevusi.

Matemaatika on teadus meid ümbritseva maailma hulgalistest, geomeetrilistest ja loogilistest omadustest. Matemaatika on rangelt defineeritud tähendusega sümbolite keel. Matemaatika keeles rääkides säilib eelduses sätestatud tõde kogu arutluse vältel. Kui eeldus kehtib ja matemaatilise keele grammatikareegleid on järgitud, siis võime olla kindlad, et kehtib ka järeldus. See on nii õigupoolest igas keeles, mille sõnade tähendus ja reeglid on piisava täpsusega määratletud. Tavakeele sõnadel ja reeglitel aga matemaatikale omast rangust pole, mistõttu tavakeele abil on raske keerulisemaid füüsikalisi arutlusi teostada. Teadusi, mis kasutavad oma töökeelena matemaatikat, nimetatakse täppisteadusteks. Nende hulgas on loomulikult ka füüsika.

Puhkpüss on sihitud lakke riputatud raskusele. Raskus lastakse laest lahti täpselt lasu hetkel. Kui kõvasti peaks puhuma, et puhkpüssi kuul raskusele pihta saaks? Osutub, et raskus saab alati pihta. Seda saab tõestada nii matemaat

 

Tasub rõhutada fakti, et matemaatika definitsioonis kasutasime sõna maailm, mitte sõna loodus. Tõepoolest, matemaatikat kasutavad mitte ainult loodusteadused, vaid ka mitmed sotsiaalteadused, näiteks majandusteadus või sotsioloogia. Matemaatika on igasuguste arvuliste kirjelduste universaalne keel, füüsika aga on loodusteadus, loodust kirjeldavate kujutluste süsteem. Matemaatika defineerib näiliselt täiesti iseseisvalt oma reeglid ja jälgib piinliku hoolega nende täitmist. Füüsika aga ei tohi kunagi kaotada seost loodusega. Fraas näiliselt iseseisvalt tähendab, et täiesti meelevaldselt matemaatika oma reegleid määratleda siiski ei saa. Pole mõtet defineerida reeglit, mis oleks vastuolus loodusseadustega. Selline matemaatika poleks enam loodusteadustes kasutatav. Ta osutuks mittevajalikuks. 

Pikkus, kiirus ja aeg
Kehade mõõtmed ja pikkus

Füüsika uurib looduses leiduvaid kehi ja teeb seda kõigepealt vaatluse teel. Vaadeldes erinevaid kehi, võime nende juures leida sarnasusi ja erinevusi. Me saame vaadeldavaid kehi omavahel võrrelda. Võrdleme näiteks harja ja prügikühvlit. Eriti sarnased ei tundu olema. Materjal on tõenäoliselt küll sama, kuid värv ja eriti kuju on täiesti erinevad. Raskuse kohta ei oska eemalt vaadeldes midagi öelda. Ometi võib leida ühe omaduse, mis on mõlemal enam-vähem ühesugune. Nimelt, hari ja kühvel tunduvad olevat ühepikkused.

Pikkus on füüsikas väga oluline ja samas väga üldine suurus. Pikkuse abil saab iseloomustada kõiki kehi ja nende paiknemist üksteise suhtes. Kui ütleksime: pikkus on füüsikaline suurus, mis kirjeldab kehade ruumilist ulatuvust, siis ei tekiks meil veendumust, et oleme selle suuruse nüüd defineerinud. Ausam oleks öelda, et pikkus on vaatleja kujutlus, mis tekib kehade omavahelisel võrdlemisel piki ühte sihti ehk mõõdet. Pikkuse kui füüsikalise suuruse üldlevinud tähis on l (lad longitudo – pikkus) ja tema mõõtühik meeter (1 m).

Pliiatseid on lihtne omavahel võrrelda. Fotolt on selgesti näha, et ülemine pliiats on alumisest lühem. Soovi korral võime pikkused ära mõõta ning arvutada, mitu korda pikkused erinevad.

Paberilehtede võrdlemine pole aga nii lihtne. Kui need on sarnase kujuga, probleemi ei teki. Võime kindlalt väita, et teisel fotol kujutatutest on punane paberileht rohelisest väiksem, sest tema pikkus on väiksem. Kuidas aga omavahel võrrelda punast ja sinist paberilehte? Kumb neist suurem on? Siin ei piisa enam kummagi lehe pikkuse võrdlemisest. Lisaks tuleb võrrelda ka laiuseid. Kui pikkuste ja laiuste kaudu pindalad välja arvutada, osutub, et punane ja sinine paberileht on tegelikult ühesuurused. Näeme, et kehi võib iseloomustada korraga mitu pikkusmõõtu. Laius on ju tegelikult ka pikkus. Seda mõõdetakse lihtsalt teises sihis. 

Ruumi mõiste
Rebane ja viinamarjad on ruumis erinevates kohtades.

Pikkuse abil ei saa võrrelda mitte ainult kehi, vaid kirjeldada ka nende asetsemist üksteise suhtes. Näiteks võime pikkusi mõõtes leida, kui kaugel puust istub viinamarju kätte saada ihkav rebane ning kui kõrgel maast viinamarjad puuoksal asuvad. Me ütleme selle kohta, et rebane ja viinamarjad paiknevad ruumis erinevates kohtades. Seda ruumi, kus kehad asuvad, saab kirjeldada erinevate pikkusmõõtude abil. Ruum pole vajalik mitte ainult kehade asukoha kirjeldamiseks. Ka kehad ise võtavad enda alla mingi ruumi. Kehad on ruumilised. Seda kinnitavad suurepäraselt vene käsitöökunstnike poolt treitud ja maalitud matrjoškad, mida üksteise sisse saab mahutada.

Samas on raske täpselt öelda, mis see ruum tegelikult on. Me saame seda vaid ette kujutada. Järelikult on ruum füüsikaline mudel. Ilma ruumi ette kujutamata ei saa me kirjeldada mitte ühtegi füüsikalist objekti ega nähtust. Ruum on füüsika üldmudel, mida saab kirjeldada pikkuste võrdlemise teel. Ruum on samas ka geomeetria kui ühe matemaatika haru põhimõiste. Matemaatika tegeleb ruumiga enamasti ilma liikumist käsitlemata.

Asjade pakkimine võib olla suur vaev. Traditsiooniliste matrjoškanukkudega on see probleem hästi lahendanud.

Kui me võrdlesime pliiatseid, siis piisas vaid ühest pikkusmõõdust. Samuti piisab vaid ühest mõõtarvust, kui tahame kirjeldada liiklusõnnetuse toimumise paika. Selleks peab teadma vaid lähimale kilomeetripostile kantud numbrit. Olukorra kirjeldamiseks ei pea me ruumi ette kujutama keerulisemana kui ühemõõtmelisena. Märkame ka, et toodud näites pole üldse oluline, kas maantee on sirge või kõver. Kirjeldamiseks piisab ikkagi vaid ühest mõõtmest. Paberilehti võrreldes nägime, et siin oli vaja juba kahte mõõdet – pikkust ja laiust. Kui soovime kirjeldada paberil sibava sipelga asukohta, siis on ka selleks vaja kahte mõõtarvu. Seejuures pole tähtis, kas paber on sirge või näiteks rulli keeratud. Mingil kindlal pinnal paiknevate kehade ja nähtuste kirjeldamiseks saab kasutada ruumi kahemõõtmelist mudelit. Kõige keerulisem ruum, mida inimesed enda ümber tajuvad, on kolmemõõtmeline. Pikkusele ja laiusele lisandub veel kõrguse mõõde. Igapäevaselt tajutavate nähtuste kirjeldamisel rohkem mõõtmeid tarvis ei lähe. 

Kolmemõõtmeline ruum võib sisaldada vähemamõõtmelisi ruume. Vaatame näiteks ühte traadijuppi, mida mööda sammub sipelgas. Kuna sipelgas lennata ei oska ja traadilt maha hüpata ei julge, on tema traadi poolt määratud maailm ühemõõtmeline. Kui sipelgas tahab ühest otsast teise jõuda, tuleb tal läbi sammuda kogu traadi pikkus, sõltumatult sellest, kas traat on sirge või kõver. Kui sipelgas suudaks kasvõi natukeseks ajaks ühemõõtmeliselt traadilt väljuda ja kasutada kõrgemat mõõdet, väheneks tema jalavaev märgatavalt. 

Kehade liikumisolek, kiirus ja absoluutne aeg
Neid pilte üksikuna vaadates oleks võimatu öelda, kas pall liigub või mitte.

Üheks esmaseks tähelepanekuks, mille me loodust uurides teeme, on see, et kehad ei ole mitte alati üksteise suhtes paigal – nad liiguvad. Liikumine on alati suhteline, ühe keha liikumist saab vaadelda vaid mingi teise keha suhtes. Kuna selle teise keha olemasolu loob tingimused või tausta esimese keha liikumise käsitlemiseks, siis me nimetame teist keha taustkehaks. Kirjeldades maantee ääres seistes autode liikumist, on väga mugav kasutada taustkehana iseenda keha. Kui aga vaatleme liikuvas autos istudes teist, möödasõitu sooritavat autot, siis hindame möödasõitja liikumist kõigepealt omaenda auto kui taustkeha suhtes. 

Nüüd nendime, et mistahes liikumise uurimiseks peab vaatlejal olema mälu. Vaatlejal peab olema võimalik korraga töödelda liikuva keha erinevaid asukohti käsitlevat infot. Vaatleja ütleb: “Mulle lähenev keha oli kõigepealt minust kaugel, seejärel lähemal ja lõpuks päris minu juures.” Vaatleja järjestab oma mälupilte, ta järjestab erinevaid sündmusi skaalal varem-hiljem. Seega asub vaatleja vältimatult kujundama aja mõistet. Samas võime ka väita, et kui liikumist ei esineks või mingeid sündmusi ei toimuks, siis poleks vaatlejal ka mitte mingit alust aja mõiste tekitamiseks. Liikumine ja aeg on lahutamatult seotud mõisted

Kaks järjestikust ajahetke. Auto on hetkel b) juba nägemisulatusest väljas.

Järgnevalt märkame, et kehad võivad liikuda väga erinevalt. Piki maanteed jalutades paneme tähele, et kui meist möödunud jalgrattur on alles ligikaudu saja meetri kaugusel, on jalgratturiga samal hetkel möödunud sõiduauto juba nägemisulatusest väljumas. Nendime, et jalgrattur liigub kiiremini kui jalakäija, aga auto omakorda kiiremini kui jalgrattur. Keha liikumisolekut (või “liikumise ägedust”) kirjeldab füüsikaline suurus, mida me nimetame kiiruseks v (lad velocitas – kiirus). Juba põhikoolis õppisime, et kiirus näitab ajaühiku jooksul läbitavat teepikkust. Kuid mis on aeg? On ilmne, et aja mõiste kujundamine liikumist käsitlevate mälupiltide alusel sõltub selle keha kiirusest, mille liikumisest me lähtume. Me oleme siin selgelt nii-öelda muna-kana probleemi ees: aja mõiste kujundamine sõltub kiirusest, kiiruse määratlemiseks aga oleks vaja juba kasutada aja mõistet.

Isaac Newtonit (25.12.1642 - 20.03.1727) peetakse üheks ajaloo olulisemaks teadlaseks. Ta pani aluse klassikalisele mehaanikale, valmistas esimese peegelteleskoobi, avastas valge valguse värvispektri ning leiutas diferentsiaalarvutuse. Koolifüüsikas seondu

Isaac Newton lahendas ülaltoodud probleemi, järjestades sündmused mõtteliselt mingile joonele, mis meenutas ühemõõtmelise ruumi mudelit (vt joonis). Kui sündmused on järjestatud, siis saab neid võrdlema hakata. Enne tuleb muidugi veel kokku leppida, millise sündmusega me kõiki teisi võrdlema hakkame. Näiteks on ajaloo­sündmuste järjestamisel nullpunktiks võetud päev, mil keskaegsete arusaamade kohaselt sündis Jeesus Kristus. Hiljem on küll leitud, et tegelikult sündis Kristus tõenäoliselt veidi varem. Probleemid Jeesuse sünniaasta määramisel tulenevad esimesel sajandil valitsenud segadusest kalendriasjanduses. Aja mõiste kujundamisel asus Newton eeldama, et sündmuste toimumishetkede järjestus ülalpool kujutatud ajateljel ning kahe sündmuse vahele jäävate ajavahemike pikkused on kõigi vaatlejate jaoks ühesugused. Nii määratletud aega nimetatakse absoluutseks ajaks. 

Lühidalt, Newton asus seisukohale, et kiirust v, teepikkust s ja aega t omavahel siduvas üldtuntud valemis 

tuleb aega vaadelda mitte­defineeritava suurusena. Valem 3.1. osutub siis mõistagi kiiruse definitsiooniks. Jääb aga probleem: Mille alusel otsustada, kui palju on üks ajavahemik absoluutse aja teljel teisest pikem? 

Nagu arvteljelgi, nii mahub absoluutse aja telje kahe punkti ehk sündmuse vahele lõpmata hulk väiksemaid ajahetki. Absoluutse aja mõiste võttis kasutusele Isaac Newton.

Siin viitas Newton teadagi võimalusele kasutada perioodilisi protsesse ehk nähtusi, millele on omane korduvus. Nendeks on näiteks Päikese näiv liikumine taevas (öö ja päeva vaheldumine) või Kuu faaside vaheldumine (Kuu loomine, noorkuu, täiskuu, vanakuu), samuti mitmesuguste pendlite võnkumine. Ajavahemikku võib võrrelda vastava võnkeperioodiga. Aja mõõtmisel võib võtta võrdluse aluseks ka muutumatu kiirusega kulgevad protsessid, näiteks küünla lühenemise põlemise käigus või liiva voolamise läbi liivakella väikese ava. Kuid mille põhjal me teame, et kasutatava korduva protsessi periood on konstantne või et liiva voolamine liivakellas toimub alati ühesuguse kiirusega? Kuidas saab vaatleja usaldusväärset infot absoluutse aja kohta?

Liikumiste võrdlemine ja aeg

Läheme nüüd aja mõiste uurimisel tagasi Vana-Kreekasse, kus liikumise ja aja probleemid erutasid väga eleaate ehk Elea filosoofilisse koolkonda kuuluvaid mõtlejaid. Vana-Kreekas oli filosoofiaga tegelemine vabade kodanike privileeg, mistõttu katseline loodusteadus seal veel tekkida ei saanudki. Looduse muutmise ehk raske füüsilise tööga tegelesid orjad. Vabad kodanikud pidid suutma mistahes probleemi lahendada mõtlemise ja arutlemise teel. Korrastatud mõtlemise reeglite õpetamisel kasutati Vana-Kreeka koolides vastuoluga lõppevaid mõtteskeeme ehk apooriaid. Tuntuim eleaat Zenon konstrueeris terve rea apooriaid, mis tõestasid, et liikumist ei saa vaadelda järjestikuste paigalseisude summana. 

Üks Zenoni apooria kannab nime Achilleus ja kilpkonn. Kuulsaim kreeka sõjamees, Trooja sõja kangelane Achilleus otsustab kilpkonnaga võidu joosta ning oma võidus ette kindel olles annab kilpkonnale edumaa, mis on allpool toodud joonisel tähistatud sa -ga. Võidujooksu alguses paikneb Achilleus punktis A ja kilpkonn punktis K. Kui Achilleus on jõudnud sinna, kus kilpkonn oli liikumise alguses (K), siis kilpkonn on juba jõudnud punkti K’, olles läbinud pikkuse sk. Kui ka Achilleus on jõudnud punkti K’, olles täiendavalt läbinud pikkuse sk, siis on kilpkonn juba punktis K’’, mis paikneb punktist K’ pikkuse sk’ võrra eespool. Ja nii edasi. 

Achilleuse ja kilpkonna paradoksi esitus nii klassikalise mehaanika kui Zenoni esituses.

Zenon väidab, et Achilleus ei saa kunagi kilpkonna kätte, sest Achilleuse ja kilpkonna vahekaugus ei saa kunagi nulliks. Kilpkonna algse edumaa sa ja tema poolt hiljem läbitud teepikkuste summa sa + sk + sk’+ sk’’+… osutub Achilleuse poolt läbitud teepikkusest suuremaks, seda nimelt kilpkonna poolt kõige viimati läbitud teepikkuse võrra. Seega kilpkonn on alati natuke Achilleusest eespool. Pole raske taibata, et Zenon eeldab vaikimisi nii Achilleuse kui kilp­konna kiiruste sujuvat ühtlustumist. See tähendab, et mida lähemale kilpkonnale Achilleus jõuab, seda väiksemaks muutub nende kiiruste erinevus. Õigupoolest saabki Zenoni arutlus võimalikuks ainult tänu sellele, et Zenon ei kasuta kiiruse mõistet ning ei tegele ka aja mõiste päritoluga. 

Teades Achilleuse kiirust va ja kilpkonna kiirust vk ning eeldades nende kiiruste konstantsust, pole kuigi raske leida aega, mis tegelikult kulub Achilleusel kilpkonna kinnipüüdmiseks. Jäägu selle ülesande lahendamine asjast huvitatutele. Meie jaoks on hetkel oluline, et Achilleuse ja kilpkonna liikumiste võrdlemine kujundab tegelikult meie jaoks aja mõiste. Üldisemal juhul me vaatleme näiteks tervet hulka samast punktist liikumist alustavaid kehi, millest esimene liigub kiirusega v1, teine kiirusega v2, kolmas kiirusega v3 jne. Kui esimene keha läbib pikkuse s1, teine pikkuse s2, kolmas pikkuse s3 jne, siis jääb suhe 

vaatleja jaoks konstantseks. Seda suhet me nimetamegi ajaks. Niisiis me vajame aja mõiste kujundamiseks vähemasti kolme keha: taustkeha ning veel kahte liikuvat keha, mille liikumisi me omavahel võrdleme. Ülalpool oli taustkehaks Maa ning kaheks liikuvaks kehaks Achilleus ja kilpkonn. Tavaelus me võrdleme ühe keha liikumist mingi etalonkeha sees toimuva liikumisega. Seda erilist keha me nimetame kellaks

Esmapilgul näib, et me pole valemit 3.2 konstrueerides mitte midagi võitnud võrreldes Newtoniga. Kui Newton oli sunnitud pidama aega enesestmõistetavaks või mittedefineeritavaks suuruseks, siis valemi 3.2 kohaselt peetakse selleks kiirust. Põhikooli füüsikas võiks vaidlema jäädagi. Meil on aga õnneks võimalik kasutada absoluutkiiruse printsiipi, millest detailselt tuleb juttu allpool (p.4.4). Meil on olemas kõigi aineliste vaatlejate jaoks rangelt ühesugune kiirus – valguse kiirus vaakumis ehk absoluutkiirus c. Kõiki aineliste objektide omavahelise liikumise kiirusi on võimalik esitada absoluutkiiruse murdosades, kasutamata aja mõistet. Kuna c = 299 792 458 m/s ≈ 3 . 108 m/s, siis võime näiteks kiirusega 108 km/h = 30 m/s liikuva auto kohta öelda, et selle auto kiirus on 10–7 c ehk üks kümnemiljondik absoluutkiirusest.Tavaelus me nii ei toimi, sest kiirus c on ebamugavalt suur. Kuid valides valemis 3.2 üheks kiiruseks absoluutkiiruse: 

saame täiesti veatu aja definitsiooni ning võimaluse üheselt määratleda mistahes keha kiirust v keha poolt läbitava pikkuse s1 ning valguse poolt läbitava pikkuse s2 kaudu.

Rõhutame veel kord, et aeg kui füüsikaline suurus on selline vaatleja kujutlus, mis tekitatakse liikumiste omavahelisel võrdlemisel. Aeg järjestab sündmused omavahel varem või hiljem toimunuteks.

Liikumise üldmudelid
Kulgemine

Liikumised looduses võivad erineda mitmete tunnuste poolest. Erinevaid liikumisi on väga palju. Siiski piisab kõigi liikumiste kirjeldamiseks lõplikust arvust mudelitest, mida nimetatakse liikumise üldmudeliteks. Liikumise üldmudelite arv on iga vaatleja enda otsustada. Liikumise üldmudeleid võib olla kuni kuus: kulgeminepöörleminekuju muutumine, mahu muutumine, võnkumine ja laine. Samas võib mahu muutumist vaadelda kuju muutumise ühe alaliigina, lainet võnkumise levikuna või hoopis vastupidi: võnkumist laine erijuhuna. Iga sellist teguviisi võib põhjendada aga võib ka kritiseerida. Tõe monopoli pole mitte kellelgi. Meenutagem, et füüsika ei ole puhas täppisteadus nagu matemaatika, kus on ainult üks õige vastus. Kui käsitleda võnkumist laine piirjuhuna, siis tulevad vaatluse alla neli iseseisvat liikumise üldmudelit: kulgemine, pöörlemine, kuju muutumine ja laine. 

Kulgeval liikumisel muutub keha asukoht.

Kui keha kõik punktid liiguvad ühtemoodi ehk ühesuguseid jooni mööda, siis jääb keha asend ruumis samaks. Sellist liikumist nimetatakse kulgemiseks ehk võõrsõnaga väljendudes translatsiooniks. Kulgeval liikumisel muutub keha asukoht. Kulgevalt liiguvad näiteks auto täiesti sirgel teelõigul, rippraudtee vagun ja kandik piki koridori kõndiva kelneri käes. 

Kui keha kõik punktid liiguvad ühtemoodi, siis võib keha kuju ja mõõtmed arvesta­mata jätta ning käsitleda vaid ühe punkti liikumist. See tähendab, et me saame keha liikumise kirjeldamisel kasutada punktmassi mudelit (p.3.1.1). Kui võime vaadelda keha punktmassina, siis osutuvad kulgevateks väga paljud liikumised. Näiteks on Kuu liikumine ümber Maa siis ka kulgliikumine, sest Kuu mõõtmed on tühised võrreldes Kuu orbiidi raadiusega ning kõik Kuu punktid liiguvad ümber Maa mööda ühesuguse kujuga jooni – ringjooni. Mõõtmeid omava keha kulgliikumist on siiski kombeks defineerida nii, et kulgemine selgesti eristuks asendi muutumisest ehk pöörlemisest (p.3.3.2 kohe allpool). Kulgemiseks nimetatakse siis liikumist, mille korral keha mistahes kahte punkti ühendav lõik jääb kogu liikumise vältel iseendaga paralleelseks

Punktmassi tiirlemine on kulgliikumise alaliik.

Sageli peetakse iseseisvaks liikumismudeliks tiirlemist ehk liikumist mööda ringjoont. Just seda liikumist Kuu ju Maa suhtes sooritab. Käesolevas kontekstis osutub punktmassi tiirlemine kulgliikumise alaliigiks, mõõtmeid omava keha tiirlemine aga pöörlemise alaliigiks. Punktmassi võimalikke liikumisi võib liikumistee kui joone kuju järgi liigitada sirgjooneliseks, ringjooneliseks ja kõverjooneliseks. Sellega tegeleme lähemalt Mehaanika kursuses. 

Pöörlemine
Pöörlemisel muutub keha asend.

Looduses esineb üsna palju liikumisi, mille korral muutub keha asend. Sellist liikumist nimetatakse pöörlemiseks. Asendist on mõtet rääkida siis, kui kehas või väljaspool seda leidub punkte, mis antud kontekstis ise ei liigu. Need punktid moodustavad pöörlemistelje. Keha kõik ülejäänud punktid liiguvad ümber pöörlemistelje mööda ringjooni. Pöörlemisteljega ristuvat lõiku, mis ühendab mistahes muud keha punkti pöörlemis­teljega, nimetatakse selle punkti radiaallõiguks ja lõigu pikkust vastava punkti raadiuseks. Pöörlevat liikumist vaadeldes tähendame, et mingi kindla punkti radiaallõigu järjestikused asendid on erinevad. Lõigu alguspunkt on paigal, lõpp-punkt aga liigub mööda ringjoont. Erinevust radiaallõigu asendites on kombeks kirjeldada mõistega nurk. Nurga SI ühikuks oli teatavasti radiaan (p.2.3.3). Kui kulgemisel läbitakse ajaühiku jooksul mingi pikkus, siis pöörlemisel läbitakse ajaühiku jooksul mingi nurk. Teljest kaugemal asuvad ehk suurema raadiusega punktid liiguvad mööda suurema raadiusega ringjooni ja nende kiirus on suurem. Teljel asuvad punktid on paigal. 

Kui kulgemisel läbitakse ajaühiku jooksul mingi pikkus, siis pöörlemisel läbitakse ajaühiku jooksul mingi nurk.

Pöörlemine ehk rotatsioon on liikumise liik, mille korral keha iga punkt liigub mööda ringjoont. Nende ringjoonte keskpunktid moodustavad pöörlemistelje. Pöörleval liikumisel muutub keha asend. Pöörlevad näiteks grammofoniplaat, autoratas, maakera ja kellaosutid. 

Kuju muutumine
Toatemperatuuril on metalli deformatsioon pigem elastne, siis sepa punaseks kuumutades muutub see plastseks.

Esineb liikumisi, mille korral muutuvad keha punktide omavahelised kaugused. Sellist liikumist nimetatakse keha kuju muutumiseks ehk deformatsiooniks. Pisikese keeleuuendusena võiks asuda kuju muutumist edaspidi lühendatult nimetama kujumiseks, aga otsustagu tulevik, kas see muudatus osutub elujõuliseks. Enamasti muutuvad keha punktide omavahelised kaugused ühel sihil üks ja seesama arv kordi. Kui näiteks keha tervikuna mingi arv kordi pikeneb, siis sama arv kordi pikeneb ka vaid üks pool kehast. Sellisel juhul räägitakse ühtlasest deformatsioonist. Kui keha koosneb ühesugusest ainest, siis on selle keha deformatsioon reeglina ühtlane.

Kui välisjõu mõju lõppemisel keha esialgne kuju taastub, siis nimetatakse deformatsiooni elastseks. Kui välisjõu mõju lõppemisel keha esialgne kuju ei taastu, siis nimetatakse deformatsiooni plastseks. Deformatsiooni näideteks on kumminööri venitamine, metalljoonlaua painutamine, pesu väänamine või plastiliini voolimine. 

Deformatsioonid on kõikjal meie ümber, ehkki me tajume neid harva - nad on kas liiga kiired või liiga väiksed.

Kuju muutumise erijuhuks on keha mahu muutumine. Kui keha paisub või tõmbub kokku kõikides suundades ühtviisi, siis jääb selle kuju varasemate kujudega sarnaseks. Tavakeeles pole sel juhul üldse kombeks tunnistada, et on toimunud keha kuju muutus. Tühjenemisel kokku tõmbuv õhupall säilitab ju oma esialgse kerakuju­lisuse. Füüsikaliselt rangelt võttes kuju siiski muutub, sest muutuvad keha punktide vahekaugused. Mis siis, et vahekaugused keha punktidest moodustatud mistahes paarides muutuvad üks ja seesama arv kordi. Mahu muutumise headeks näideteks on teraskuuli kokkutõmbumine jahtumisel, beseekoogi paisumine küpsetamisel ja tühjeneva õhupalli kokkutõmbumine.

Võnkumine ja laine
Mistahes võnkumise kõige olulisem tunnus on korduvus.

Looduses esineb palju perioodilisi ehk kindla ajavahemiku tagant korduvaid liikumisi. Neid liikumisi nimetatakse võnkumisteks ja vastavat ajavahemikku võnkeperioodiks. Võnkumise korral liiguvad keha punktid edasi-tagasi sama teed mööda. Võnguvad näiteks kellapendel, automootori kolb, löögi saanud ämbris loksuv vesi või hüvastijätuks lehvitav käsi. Mistahes võnkumise kõige olulisem tunnus on korduvus

Mõnede võnkumiste korral on selgesti näha võnkliikumise põhjus. Sel juhul on tegemist võnkumisega kitsamas tähenduses, mille defineerimisel kasutatakse mõistet tasakaaluasend. Võnkumine kitsas tähenduses on keha perioodiline liikumine tasakaaluasendi ümber. Kehale mõjub tasakaalu­asendi poole suunatud jõud, mis tasakaaluasendile lähenemisel liikumist kiirendab, sellest asendist kaugenemisel aga pidurdab. Keha läheneb kiirenevalt tasakaaluasendile, aga inertsinähtuse (p. 3.5.1) tõttu ta ei peatu tasakaaluasendis, vaid läbib selle. Niimoodi võngub üles-alla elastselt deformeeruva vedru otsas rippuv massiivne keha ehk vedrupendel. Nõnda liigub ka mööda ringjoone kaart edasi-tagasi nööri või niidi otsas rippuv tühiste mõõtmetega keha, mida me edaspidi hakkame nimetama matemaatiliseks pendliks. 

Laineks nimetatakse võnkumise edasikandumist ruumis.

Laineks nimetatakse enamasti võnkumise edasikandumist ruumis. Kui kala näksib õnge otsa riputatud sööta ja paneb õngekorgi võnkuma, sunnib üles-alla liikuv kork ka lähedalasuvad veeosakesed võnkuma. Veeosakeste võnkumine kandub lainena mööda veepinda järjest kaugemale. Laine oluliseks omaduseks on see, et edasi kandub vaid võnkumine ehk liikumine, mitte aga võnkuv aine ise. Seda peaks olema lihtne mõista, kui vaadelda näiteks rahvamassi poolt staadionil tekitatavaid laineid. 

Laine defineerimine võnkumise kaudu on liikumine lihtsamalt keerulisemale või üksikult üldisele. Aga võib toimida ka vastupidi, defineerides võnkumist laine erijuhuna. Laine korral liigub ruumis edasi kehade või väljade kindel paigutus ehk konfiguratsioon. Olukord, mis mingil hetkel valitses ühes ruumi punktis, kordub mingi aja möödumisel naaberpunktis. Laine on võnkumise levimine ruumis. Üldjuhul kaasneb sellega ka energia levik. Liikudes üldiselt üksikule võime aga väita, et võnkumine on laine erijuht, mille korral energia levimist ruumis ei toimu. Lainefüüsika keeles nimetatakse võnkumist seisulaineks. Lähemalt tegeleme sellega Mehaanika kursuses. 

Laineteks on näiteks merelained, helilained ja laulupeoliste tekitatud inimlained. 

Kuna võnkumine ja laine on niivõrd sarnased, et ühte võib defineerida teise kaudu ja vastupidi, siis on mõtet kasutada mõlema kohta ühist nimetust – võõrsõna ostsillatsioon

Aine ja väli
Aine, kehad ja vastastikmõju
Aine vastastikmõjus on väljal ülioluline osa. Kass ei saa veel kala hammustada ega nuusutada, küll aga on ta oma elu käigus õppinud, et just niisuguse kuju ja liikumisviisiga loom võiks olla maitsev suutäis.

Looduses vaadeldavad objektid esinevad kahel peamisel kujul. Näiteks raamat, veekogu, nutitelefon ja inimkeha on ainelised. Samas valgus, mida me näeme ja kuuma pliidi soojuskiirgus, mida me käega tunneme, on väljalised. Looduse kaks erinevalt käituvat põhivormi on aine ja väli.

Aine all mõistetakse füüsikas kõike seda, millest koosnevad kehad. Ainelised objektid võtavad alati enda alla mingi ruumi, kuhu teisi samalaadseid objekte asetada ei saa. Aine tõrjub teist ainet. Kui me pistame käe veega täidetud pesukaussi, siis veetase kausis tõuseb, sest käsi tõrjub oma ruumala ulatuses vett tema endisest asendist välja. Me ei saa astuda läbi seina, sest meie aine ei saa olla seina ainega samaaegselt samas ruumiosas. Ainest koosnevad kehad võivad olla nii suured kui väikesed, kuid mitte pisemad kui üksikud aineosakesed. Kehadel on kindlad mõõtmed, väljal neid olla ei pruugi. Aine hulka saab määrata aineosakesi loendades või vastava ainekoguse massi määrates. 

Aine tõrjub teist ainet - kuule selles anumas ei saa üksteisega kuidagi "osaliselt kattuma" panna.

Lisaks koosnemisele ainest ja mõõtmete omamisele on kehade omadusteks veel liikumine, kalduvus säilitada oma liikumisolekut ehk inertsus ja võime osaleda vastastikmõjudes. Vastastikmõju on see põhjus, mis lõpuks ikkagi muudab kehade liikumisolekut. Sõna vastastikune rõhutab asjaolu, et kui üks keha mõjutab teist, siis teine mõjutab alati ka esimest. Just vajadus kirjeldada vastastikmõjusid viib meid välja mõiste kasutamiseni. 

Väli kui vastastikmõju vahendaja
Pildil on Ameerika Kosmoseagentuuri NASA katseaparaat, mida kasutatakse uute materjalide, näiteks keraamikute ning klaaside füüsikaliste omaduste uurimiseks. Ligikaudu 3 mm läbimõõduga titaan-tisrkoon-nikkel sulamist kera hoiab kahe alasi vahel paigal optilise tagasiside süsteem, mis reguleerib automaatselt alasite elektrivälja tugevust ning seega ka kerale mõjuvat elektrostaatilist tõstejõudu.

Kui me tahame kelgu liikuma panna, peame me kelku kas tagant tõukama või eestpoolt nööri vahendusel tõmbama. Kelgu liikumapanemiseks peame me kas olema kelguga vahetus kokkupuutes või kasutama midagi, mis on meie ja kelgu vahel.
Kuidas aga saab Maa enda poole tõmmata kukkuvat kivi, kui ta sellega kokkupuutes pole? Mismoodi saab püsimagnet tõugata läbi tühjuse teist püsimagnetit? Kuidas saavad kehad üksteist mõjutada ilma kokkupuuteta või teiste kehade vahenduseta? 

Selle üle juurdlesid füüsikud pikalt, enne kui taipasid, et miski, mis kehadevahelisi vastastikmõjusid vahendab, on siiski reaalselt olemas. Näiteks lähendades teineteisele püsimagnetite samanimelisi pooluseid, tunneme lihaspinge kaudu, et miski on magnetite vahel olemas. See miski avaldab üha tugevnevat vastupanu, kui me tõukejõu kiuste püsimagneteid kokku suruda üritame. Aga see pole aineline, vaid ainest sootuks erinev loodusobjekt. Kehade vastastikmõju vahendajat nimetatakse väljaks. Välja reaalset olemasolu tõestab fakt, et vastastikmõju levib lõpliku kiirusega. See, et elektromagnetväli levib ruumis absoluutkiirusega c, on kinnitust leidnud lugematutes katsetes. 

Tsentraalsümmeetriline jõuväli.Inimese igapäevaelu mõjutavad kõige enam gravitatsiooniväli ning elektromagnetväli. Mõlema välja potentsiaal ehk "mõjuvõim" sõltub kauguse pöördr

Me oleme juba korduvalt kokku puutunud sellega, et mingit kindlat loodusobjekti kirjeldab vaatleja kujutlus, mida me nimetame füüsikaliseks suuruseks. Loodusnähtust nimega vastastikmõju kirjeldab füüsikaline suurus nimega jõud. Jõud F (lad forte) iseloomustab vastastikmõju tugevust või ägedust. Jõud on vektoriaalne suurus, mistõttu me peame joonistel alati näitama vastava vektori suunda. Jõud nende kehade vahel, mille mõõtmeid võib mitte arvestada, on kas tõuke- või tõmbejõud. Kui me võime kehi vaadelda punktidena, siis jõud mõjub piki neid punkte ühendavat sirget. Jõud mõjub alati mingile kehale. Enamasti me saame ka näidata seda keha, mille poolt jõud teisele kehale mõjub. Kasutades jõu mõistet, võime väita, et väli on jõu tekkimise võimalikkus. Ühe keha poolt tekitatud välja olemasolu saame me kindlaks teha ainult jõu kaudu, mis mõjub teisele kehale.

Ferrovedelik koosneb lahustist ning sellesse segatud peenikesest rauapurust. Esmapilgul sogast vett või nafat meenutav aine ilmutab magnetväljas hoopis huvitavat palet, nagu pildil näha. Siili okkalisele seljale sarnanev kuju tagab huvitaval kombel ferrovedeliku energiamiinimumi ehk vähima potentsiaali.

Meile makromaailmast tuntud gravi­tatsiooni­jõud või elektromagnetjõud nõrgenevad kiiresti vastastikmõjus olevate kehade vahekauguse suurendamisel. Need jõud on pöördvõrdelised kehade vahekauguse ruuduga. Seetõttu võime väita, et ka vastavad väljad nõrgenevad järsult eemaldumisel välja tekitavast kehast. Me võime sellist välja kujutleda nagu lillelõhna pilve, mis välja tekitava keha (lille) läheduses on tihe (lillelõhn on tugev), aga kaugenemisel lillest kiiresti hõreneb (lõhn nõrgeneb). Joonisel on näidatud keha 1 poolt tekitatud välja nõrgenemist kaugenemisel kehast 1. Kehale 2 selles väljas mõjuva jõu vektor lüheneb kaugenemisel järsult. 

Väljasid pole võimalik näha, kuid mõnel juhul saab neid kaudselt siiski nähtavaks muuta. Näiteks magnetvälja saame visualiseerida rauapuru abil. Gravitatsiooni­väljal, elektriväljal ja magnetväljal pole kindlaid mõõtmeid, nad võivad ulatuda neid tekitavast kehast lõpmata kaugele. Väljad ei sega üksteist. Mitu välja saavad kehale mõjuda üksteisest sõltumatult. Väljad omavad energiat. Sellest lähemalt allpool (p.3.6.3) 

Mõju vastastikusus. Newtoni III seadus.

Kahe keha vastastikmõju mehhanism.

Lauset Väli on vastastikmõju vahendaja tõlgendatakse sageli valesti. Nimelt mõistetakse sõna vahendaja kommertsiaalses tähenduses, mille kohaselt vahendaja ostab midagi ühelt äripartnerilt ja müüb teisele edasi – mõistagi vaheltkasuga. Sellise vahendaja jaoks on mõlemad partnerid põhimõtteliselt samaväärsed. Väli aga kuulub kindlalt ühele mõjus osalevatest kehadest. Kummalgi vastastikmõjus osaleval kehal on oma väli, mille vahendusel ta mõjutab teist keha.

Kõrvalasuval joonisel on detailselt kujutatud kahe keha vastastikmõju mehhanismi. Keha 1 ümbritseb tema poolt tekitatud väli 1. Selles väljas mõjub kehale 2 tõukejõud F12. Topeltindeksiga rõhutame siin asjaolu, et kõnealune jõud mõjub esimeselt kehalt teisele kehale. Samas mõjutab keha 2 poolt tekitatud väli 2 omakorda keha 1 tõuke­jõuga F21. Need jõud mõjuvad piki kehade kesk­meid ühendavat sirget ning on võrdsed ja vastassuunalised. Matemaatiliselt võib seda kirja panna kujul F12 = – F21, kus miinusmärk rõhutab kahe jõu vastas­suunalisust. 

Väide et jõud, millega kaks mistahes keha teineteist mõjutavad, on suuruselt võrdsed ja vastassuunalised, kannab Newtoni III seaduse nime. Mistahes mõjuga kaasneb alati sama suur vastumõju. Selles seisnebki mõju vastastikusus

Avatud ja suletud süsteemid
Suletud süsteem on praktiliselt võimatu olukord. Kosmose pea täielikus vaakumis on kosmonaut väljade mõjus.Esimese kosmosekõnni sooritas 1965. aasta 18. märtsil Voshod 2 kosmosekapsli pardalt endise Nõukogude liidu kosmonaut Al

Vastastikmõjus olevad kehad on üksteisest mõjutatud ning seepärast teatud viisil seotud. Sellised kehad moodustavad ühtse süsteemi. Kehade süsteemiks nimetatakse omavahel mingil viisil seotud ehk vastastikmõjus olevate kehade hulka.

Kehade süsteemid võivad olla suletud või avatud. Suletuks nimetatakse süsteemi, millesse kuuluvad kehad on vastastikmõjus ainult omavahel ja millel puudub aine- või energiavahetus väliskeskkonnaga. Kui aga süsteemile mõjuvad jõud süsteemiväliste kehade poolt või süsteemil esineb aine- või energiavahetus väliskeskkonnaga, on tegemist avatud süsteemiga. Suletud süsteem on füüsika üldmudel, mille abil saame füüsikaliste probleemide lahendamist lihtsustada. Pole ju raske märgata, et kõik reaalsed süsteemid on alati avatud. Suletuks saab mingit süsteemi pidada vaid juhul, kui väliskeskkonna mistahes mõju süsteemile võib lugeda tühiseks või antud kontekstis ebaoluliseks. 

Maa gravitatsiooniväli hoiab piljardikuule laual, ent ei mõjuta nende omavahelisi põrkeid pea üldse.

Näiteks võime kahte kokkupõrkavat kuuli piljardis (snuukeris) lugeda suletud süsteemi moodustavateks, ehkki kummalegi kuulile mõjub Maa poolt raskusjõud ja õhu poolt liikumise takistusjõud. Mängulaua poolt mõjuvad kuulile toereaktsiooniks nimetatav jõud ja hõõrdejõud. Allapoole suunatud raskusjõud ja ülespoole suunatud toereaktsioon tasakaalustavad teineteist. Hõõrdejõud ja takistusjõud aga mõjuvad liikumise sihis, mistõttu nad ei muuda kuulide liikumise suunda. Lõpptulemusena muutub kuulide põrkejärgsete kiiruste määramisel oluliseks vaid põrke käigus kuulide vahel mõjuv jõud. See jõud oleks olemas ka kõigi muude ülalnimetatud jõudude puudumisel. 

Samalaadselt kasutab suletud süsteemi mõistet ka bioloogia. Seedeprotsessi käigus loetakse elusorganismi aine massi aspektis suletud süsteemiks, sest protsessi käigus tarbitava ja eritatava gaasilise aine massid on tühised võrreldes seeditava toidu massiga. Rangelt suletud süsteemina ei saa aga toimida ükski elusorganism. 

Kehade liikumisoleku muutumine
Kehade inertsus. Newtoni I seadus.
Jääkeegel avaldab ilmekalt Newtoni I seaduse kehtivuse - igale jõule mõjub võrdne ja vastassuunaline vastujõud.

Füüsika uurib kehade liikumist ja vastastikmõju. Teame juba, et erinevaid liikumis­olekuid võib olla palju. Seejuures võib keha liikumisolek muutuda. Liikumisolek saab muutuda vastastikmõju toimel. Kui liikumisoleku muutumise põhjuseks on kehade vaheline vastastikmõju, siis on arusaadav, et vastastikmõju puudumisel ei saa muutuda liikumise kiirus ega suund. Järelikult liigub vastastikmõju puudumisel keha ühtlaselt ja sirgjooneliselt. Keha võib aga ka püsivalt paigal seista. On ju paigalseis ka teatud liiki liikumisolek. Paigalseis on liikumine kiirusega, mille väärtus on null. 

Pärast 36 aastat kestnud reisi lahkus Voyager 1 2012. aasta 12. augustil päiksesüsteemi mõjusfäärist. Nüüd jätkab see tähtedevahelise ruumis sihitult teed kiirusega 17 km/s. 40000 aasta pärast möödub sond 1,6 valgusaasta kauguselt  Kaelkirjaku (Camelopardalis) tähtkuju tähest Gilese 445.

Samas sellist olukorda, kus mingile kehale teised kehad üldse ei mõju, on pea võimatu leida. Mõjude puudumisega on samaväärne aga olukord, kus vastastikmõjud on kompenseerunud ehk siis nad tasakaalustavad üksteist. Näiteks õngekork seisab tasakaaluasendis, kui allapoole mõjuv raskusjõud on tasakaalus vee poolt tekitatud üleslükkejõuga. Langevarjur laskub muutumatu kiirusega siis, kui Maa poolt mõjuvat raskusjõudu tasakaalustab õhu takistusjõud. 

Selliste järeldusteni jõudis juba Galileo Galilei, aga selgesti sõnastas kõnealuse loodusseaduse Isaac Newton. Ta tegi seda järgmiselt: kui kehale ei mõju teised kehad või kui teiste kehade mõjud on tasakaalus, siis on keha kas paigal või liigub ühtlaselt ja sirgjooneliselt. Tänapäeval tunneme seda loodusseadust Newtoni I seadusena.

Oleme kõik kogenud, et mitte ühegi keha liikumist ei saa silmapilkselt muuta. See, et kehad püüavad oma liikumisolekut säilitada, on nende üldine omadus. Nähtust, mis seisneb kehade kalduvuses oma liikumisolekut säilitada, nimetatakse inertsiks ja kehade vastavat omadust inertsuseks. Newtoni esimeses seaduses ongi tegemist inertsiga. Kuna Newtoni esimene seadus käsitleb inertsinähtust, siis nimetatakse teda sageli ka inertsiseaduseks. Inertsinähtust kirjeldab väga tabavalt eesti kõnekäänd algul ei saa vedama, aga pärast ei saa pidama

Liikumisoleku muutumine. Kiirendus.
Inimkonna energiavajadus, vajadus elektri ja maavarade järele kasvab pidevalt ja hüppeliselt. Maal on vaid piiratud kogus ressurssi, mis sellist tormakat arengut alal hoida suudab. Seetõttu kogub üha enam hoogu taaskäitlus ning energia saamine taas

Vastastikmõju puudumisel keha liikumine ei muutu. Kui aga kehale mõjuvad jõud pole tasakaalus, siis hakkab liikumisolek muutuma. Seejuures ei toimu muutus muidugi silmapilkselt. Iga muutus võtab inertsi tõttu aega. Liikumise muutumist saab iseloomustada muutumise kiirusega. Me saame seda iseloomustada suurusega, mis näitab, kui palju muutub liikumiskiirus ühes ajaühikus ehk sekundiga. Liikumisoleku muutumise kiirust iseloomustavat füüsikalist suurust nimetatakse kiirenduseks

Kiirendus on kiiruse muutumise kiirus. Ta näitab, kui palju muutub kiirus ajaühikus. Kiirendust saab arvutada, jagades kiiruse muudu ehk lõppkiiruse v ja algkiiruse v0 vahe ajaga, mille jooksul kiirus muutus. Kiirenduse tähiseks valemites on a (lad acceleratio – kiirendus). Niisiis,

Kiirenduse mõõtühikuks süsteemis SI on järelikult kiiruse ühiku üks meeter sekundis ja aja ühiku sekund – jagatis. See on üks meeter sekundis sekundi kohta või siis lühendatult üks meeter sekundi ruudu kohta (1 m/s2):

Tasub märkida, et ka liikumise aeglustumine on liikumine kiirendusega. Füüsikaline suurus nimega kiirendus on aeglustuval liikumisel negatiivne, kuna valemi 3.4 lugejas v < v0.

Kiirenduse võrdelisus jõuga. Newtoni II seadus.

Waco, Texas, 15. September, 1896: Willian Crush Missourist, Kansasest ja Texase Raudteekompanii mõtlesid välja lollikindla idee kuidas rahvast kokku meelitada ja etendusega raha teenida. Kuuekilomee

Kui me asume katseliselt uurima, kuidas erineva tugevusega jõud keha liikumisolekut muudavad, siis märkame, et suurem jõud jaksab liikumisolekut kiiremini muuta. Teisisõnu – suurem jõud annab kehale suurema kiirenduse.

Samas on kehad erinevad. Mõne keha liikumist on teistega võrreldes raskem muuta. Sel juhul öeldakse, et vastav keha on suurema inertsusega. Kehade inertsuse mõõduna kasutatakse füüsikalist suurust, mida nimetatakse massiks. Mass m (lad massa) iseloomustab keha võimet oma liikumisolekut säilitada. Suurema massiga keha inertsus on suurem ja sama suur jõud suudab sellele anda väiksema kiirenduse. Ehkki me määratlesime siin massi keha liikumisoleku kontekstis, jääb kehtima ka meie varasem ettekujutus massist kui suurusest, mille abil on võimalik mõõta aine kogust. 

Katsetele ja ülaltoodud arutlusele tuginedes jõudis Newton järelduseni, et kui kehale mõjub jõud, siis saab ta kiirenduse, mis on võrdeline selle jõuga ning pöördvõrdeline keha massiga:

Põrketestid autode ohutuse hindamisel on ülimalt olulised. Aga veel olulisem on aru saada mõistliku kiirusega sõitmise vajalikkusest. Ärge laske end Newtoni I seadusest uinutada!

Tegemist on mehaanika põhiseadusega, mis kannab ka Newtoni II seaduse nimetust. Seda, et jõud ja kiirendus on mõlemad vektoriaalsed suurused, rõhutame vektori­märkide kasutamisega valemis 3.5. Vastavalt vektoriaalsete suuruste käsitlemise eeskirjadele (p.3.1.4) on jõud ja kiirendus vektoritena alati sama suunaga. Jõud põhjustab iseendaga samasuunalise kiirenduse. 

Valemit 3.5 võib ka käsitleda massi formaalse definitsioonina. Seega

keha mass näitab, kui suurt jõudu on vaja selleks, et anda kehale ühikulist kiirendust. Massi ühik süsteemis SI on kilogramm, mis on üks süsteemi põhiühikutest ja mille definitsiooniga tegelesime eespool (p. 2.3.2). Jõu ühik süsteemis SI kannab Isaac Newtoni auks nime njuuton ja see defineeritakse valemist 3.6 tuleneva seose F = m a abil. Üks njuuton on jõud, mis kehale massiga üks kilogramm annab kiirenduse üks meeter sekundis sekundi kohta (või: üks meeter sekundi ruudu kohta): 

 

Võimsus ja kasutegur
Võimsus kui töö tegemise kiirus
Eestis on kaks suuremat elektrijaama, mis kannavad mitte väga üllatuslikult nime Eesti ja Balti elektrijaam. Need toodavad aastas kokku 10 TWh elektrit, mis katab 90% Eesti elektrivajadusest. Ühtlasi on need maailma võimsaimad põlevkivil töötavad elektrijaamad.

Selleks, et puitalusel paiknev komplekt ehituskive (reeglina ca 300 kivi) tõsta kolmandal korrusel müüri laduvate töömeeste juurde, tuleb teha tööd. Kui need kivid tassib seljas üles üks töömees, võib kõnealuse töö tegemine võtta aega mitu tundi. Kraana abil saab aga sama töö tehtud vaid kümmekonna sekundiga. Kraana on suuteline seda tööd kiiremini tegema. Selle kohta öeldakse, et kraana on töömehest suurema võimsusega.

Võimsuseks nimetatakse füüsikalist suurust, mis iseloomustab töö tegemise kiirust. Võimsuse tähiseks valemites on enamasti N. Kui mingi töö A tehakse ajavahemiku t jooksul, siis saab võimsuse arvutada valemist

Võimsuse mõõtühikuks on vatt (1 W). Üks vatt (1W) on võimsus juhul, kui üks džaul tööd tehakse ära ühes sekundis. Ka võimsusega seonduvat õpime lähemalt tundma järgmises füüsikakursuses Mehaanika

Seadme nimivõimsus ja kasutegur

Iga konkreetset masinat või seadet võib iseloomustada nimivõimsusega ehk võimsusega, mida see seade on suuteline normaalses tööolukorras arendama. Nii võib rääkida ka elusorganismide nimivõimsusest. Reeglina on seade või organism suuteline lühiajaliselt arendama ka palju suuremat võimsust. Nimivõimsuse all mõeldakse siiski võimsust olukorras, mida seade või olend on suuteline pikaajaliselt taluma. Võimsuse vananenud mõõtühik hobujõud (1 hj = 736 W) ongi määratletud kui kaevanduse tõstemehhanismi võlli pööravate hobuste keskmine võimsus. See saadi, jagades keskmiselt ühe hobuse kohta kaevanduses maagi tõstmisel tehtud töö keskmise tööpäeva kestusega. 

Ühesuguse valgusvooga eri tüüpi elektripirnid kasutavad väga erineva koguse elektrienergiat. Ent millist pirni valida?

Inimese võimsus pikemalt kestvas füüsilises töös on ligikaudu 100 W = 0,1 kW, hobusel 0,7 kW, automootoril 20 - 200 kW, tööstuslikul tornkraanal ca 1 MW (1000 kW) ning lennuki Boeing 737 mootorite nimi­võimsus koguni 35 MW. Niisiis võrdub suure ehituskraana võimsus rohkem kui tuhande hobuse või kümne tuhande inimese võimsusega. 

Mitte kunagi ei õnnestu tööd teha nii, et kogu tehtud töö läheks ainult vajaliku eesmärgi saavutamiseks. Kasulik töö on alati väiksem kogu tööst. Seepärast vajame konkreetse seadme või protsessi iseloomustamiseks füüsika üldmudelit nimega kasutegur. Kasutegur on füüsikaline suurus, mis näitab kasuliku töö Akas ja kogu töö Akogu suhet. Ta avaldatakse enamasti protsentides. Kasuteguri tähiseks valemites on reeglina kreeka täht h [loe: eeta]. Seega võime kirjutada

Kui tegu on mingi energia muundamise protsessiga, siis võib kogu töö asendada protsessi algul eksisteeriva energia ehk sisendenergiaga Esis ning kasuliku töö protsessi lõpul säilinud energia ehk väljund­energiaga Evälj. Valemit 3.12 kirjutatakse sageli ka kujul, mis sisaldab vastavaid võimsusi.

Kasuteguri ingliskeelne vaste on efficiency (efektiivsus või tõhusus). Sõna tõhusus annab isegi paremini edasi kasuteguri mõiste olemust, kuna suure kasuteguri korral on tegemist tõhusa energiamuunduriga (suhteliselt vähe energiat läheb kaduma). Siiski on sõna kasutegur eesti keeles väga kindlalt juurdunud ja me jääme selle juurde. 

Ainult 26% selle auto mootoris põletatud kütuse energiast muundub mehaaniliseks energiaks. Enamus kulub õhutakistuse ja veeretakistuse ületamiseks.Auto on küllaltki kulukas hoolealune. Esiteks tuleb see osta, siis registreerida, sõlmida ki

Tasub rõhutada, et kasutegur pole väga ühene mõiste. Kasutegur sõltub sellest, mida mõista vajaliku eesmärgi all. Kasutegureid tasub võrrelda näiteks olukorras, mil tegemist on sama sisendenergiaga. Käsitleme näitena kõigi energiamuundumiste summaarset kasutegurit vabalt langeva palli tagasipõrkel maast (p. 2.4.3 vaadelduaga sarnane katse). Laseme samalt algkõrguselt kukkuma õhku sisaldava kuid pooltühja kummipalli ning sama suure täiskummist palli. Katse näitab, et pooltühi pall põrkab tagasi vaevalt veerandile algkõrgusest. Palli raskusjõu esialgne potentsiaalne energia (selles näites sisendenergia) muundub küll langemisel palli kineetiliseks energiaks. Samas see kineetiline energia muundub pooltühja palli korral väga vähesel määral palli elastse deformatsiooni (kuju muutuse) potentsiaalseks energiaks, mille arvel saab omakorda tekkida palli tagasipõrke kineetiline energia. Suurem osa sisendenergiast läheb põrkel soojusena kaduma. Täiskummist pallil on energiakadu põrkel väga väike ning tagasi põrganud palli kineetiline energia ülesliikumise alguses peaaegu sama suur kui kineetiline energia enne põrget. Seetõttu tõuseb täiskummist pall vähemasti kolmveerandini algkõrgusest – protsessis, mil palli kineetiline energia jälle raskusjõu potentsiaalseks energiaks (antud näites väljundenergiaks) tagasi muundub. 

Võib võrrelda ka protsesside või seadmete kasutegureid mingi kindla soovitava väljundenergia korral. Vaatleme näidetena kasutegureid mingi muu energialiigi muundamisel elektrienergiaks. Hüdroelektrijaamas langeva vee potentsiaalset energiat kasutava turbogeneraatori kasutegur on kuni 90%, tuulegeneraatoril kuni 50%, soojuselektrijaama auruturbiinil kuni 60%, päikesepatareil kuni 30%. Sõna kuni kasutame neis määratlustes põhjusel, et ära on toodud maksimaalsed saavutatud kasutegurid. Vead seadme konstruktsioonis tingivad kasuteguri vähenemise. 

Füüsika üldprintsiibid

Füüsikast on aastasadade jooksul kirjutatud tohutu hulk raamatuid. Iga päev avaldatakse sadu uusi teadusartikleid. Seda kõike ei ole võimalik läbi lugeda. Samuti ei suuda üks inimene ära õppida kogu füüsikat. Õnneks kehtivad looduses mõned vääramatud põhimõtted ehk üldprintsiibid, mis aitavad senitundmatuid nähtusi või olukordi mõtestada. Allpool nähtava panoraamvõtte saatis meile marsikulgur Curiosity. Selle pildi tegemise muutis võimalikuks meie veendumus, et planeet Marsil kehtivad needsamad füüsika üldprintsiibid, mis Maalgi.

Curiosity kulguri pilt Marsist
Põhjuslikkus ja juhuslikkus
Füüsika ja põhjuslikkus
Paljud protsessid on ettearvatava tulemusega.

Füüsika uurib loodusobjektidega toimuvaid nähtusi. Nähtus ehk protsess tähendab millegi muutumist. Igal muutumisel on aga mingi põhjus ja iga muutus kutsub omakorda esile uue muutumise. Nähtuste vahel esineb põhjuslik seos – üks sündmus põhjustab teise sündmuse toimumise. Füüsika uuribki looduse kõige üldisemaid põhjuslikke seoseid. Looduses toimuva mõistmine, looduse tunnetamine saab võimalikuks nähtustevaheliste põhjuslike seoste avastamisel.

Toome mõned näited füüsikalise põhjuslikkuse teel seotud nähtuste ahelatest: 

Õun tuleb oksa küljest lahti → õun langeb allapoole → õun jõuab maapinnale;

Püssikuul tabab palkseina → kuul peatub seinas → seina sisse tekib auk;

Valgus neeldub kehas → see keha soojeneb → see keha paisub;

Elektrivool läbib metallkeha → see keha soojeneb → selle keha takistus suureneb. 

Kui relativistlikke efekte ei arvestataks, kaotaksid GPS-iga määratud koordinaadid täpsust ligikaudu 10 km ööpäevas.

Füüsika üks olulisi väärtusi avaldub võimes ennustada loodusnähtusi. Vaadeldes konkreetsete objektidega asetleidvaid nähtusi ja avastades nendevahelisi põhjuslikke seoseid, saame ka uutes, veel läbi proovimata olukordades ennustada, mida üks või teine tegevus esile kutsub. Näiteks kui laseme kristallvaasi kivipõranda kohal käest lahti, siis on üpris lihtne ennustada, et vaas kukub peagi maha ja läheb katki. Kui inimesele, kes oskab sellist asjade käiku ennustada, esitada küsimus tema teadmiste päritolu kohta, siis viitab ta tõenäoliselt oma elukogemusele. Tegelikult aga seisneb see kogemus teadmistes füüsikalise põhjuslikkuse kohta. Gravitatsioon põhjustab vaasi järjest kiirema kukkumise ning kohtumisel kivipõrandaga mõjub viimane vaasile lühiajalise ning suure jõuga, mis tekitab omakorda suuri jõude vaasi osade vahel. Tulemusena habras kristallvaas puruneb. Selle ennustamiseks ei pea me olema varem täpselt samasuguse vaasiga samades tingimustes mahakukutamise katset läbi teinud. Me oskame füüsikaliselt üldistada teiste sarnaste nähtuste vaatlemisel avastatud põhjuslikke seoseid

Enamasti nimetatakse kaht sündmust põhjuslikult seotuteks, kui ühe sündmuse ehk põhjuse toimumine toob teatava vältimatusega kaasa teise sündmuse ehk tagajärje. Käesolevas õpikus aga võime põhjuslikkuse määratlemisel kasutada vaatleja mõistet. Põhjuslikkus pole ju midagi muud kui mõtteseos vaatleja teadvuses. Põhjuslikult seotuteks võime kahte sündmust nimetada siis, kui vaatleja suudab neile sündmustele vastavate kujutluste vahel tekitada mõtteseoseid (ehk süllogisme). 

Ülalpool toodud kristallvaasi näites kõlaks esimene süllogism nii: 1) kõik objektid A (käest lahti lastud kehad) kuuluvad hulka B (raskusjõu mõjul kiirenevalt allapoole liikuvad ja peagi maapinnani jõudvad kehad) [eeldus 1]; 2) objekt C (kristallvaas) osutus objektiks tüüpi A (ta lasti käest lahti) [eeldus 2]; 3) objekt C kuulub ka hulka B [järeldus]. Vaasi järsku pidurdumist kokkupuutel põrandaga käsitleb teine füüsikaline süllogism ja vaasi purunemist omakorda kolmas. Nendime, et sellised põhjuslikud seosed on tegelikult füüsikalise tunnetusprotsessi tulemid ja mida üldisemad nad on, seda kindlamalt võib vaatleja neid ilma vahetu katselise kontrollita usaldada. 

Põhjuslikud seosed eksisteerivad kogu looduses ja osadega neist tegelevad teised loodusteadused, kuna nende uurimismeetodid sobivad selleks füüsika meetoditest paremini. Näiteks bioloogias kehtivad tuntuimad põhjuslikud seosed on pärilikkuse seadused või siis toitumis-ahelates kehtivad seadused, mille kohaselt saakloomade arvukus määrab vastavate kiskjate arvukuse. Inimese sekkumine ökoloogilistesse protsessidesse võib tõsiselt rikkuda ökoloogilist tasakaalu. Näiteks on rebaste massiline vaktsineerimine marutaudi vastu põhjustanud Eestis viimastel aastatel rebaste arvukuse järsu kasvu. Rebased ei sure enam massiliselt marutaudi, metsas ei jätku neile kõigile enam toitu ja nad hulguvad linnatänavatel nagu koerad. 

Geograafia kasutab konvektsiooni mudelit mandrite triivi seletamiseks.

Keemias kehtiva spetsiifilise põhjusliku seose näiteks võib tuua aine lahustuvuse sõltuvuse temperatuurist või rõhust. Kui mingi vedeliku jahutamisel tekib vedelikus sade, siis võime üpris kindlasti öelda, et see vedelik osutus lahuseks ja sisaldas mingit ainet, mille lahustuvus temperatuuri langetamisel vähenes ja see aine sadenes põhja. Heaks biokeemilise põhjusliku seose näiteks on vingumürgitus. Kui inimene hingab sisse vingugaasi (CO), mille molekulid seostuvad hemoglobiiniga hapniku molekulidest tugevamini, siis hemoglobiin enam hapnikku siduda ei saa. Selle tulemusena veri enam vajalikul määral hapnikku edasi ei toimeta ning organismis tekib hapnikupuudus. 

Geograafias nenditi juba ammu Aafrika lääneranniku ja Lõuna-Ameerika idaranniku rannajoone kuju sarnasust. Hüpotees, et kunagi on need mandrid moodustanud ühtse terviku, viis geograafid kõnealuse sarnasuse põhjuse avastamiseni. Selleks on mandrite triiv kui kaasaegses geograafias üldtunnustatud teaduslik fakt. Maakoore suured tahked osad ehk laamad libisevad väga aeglaselt maakoore-alusel tulisel ja poolvedelal ainel. Seal, kus üks mandrilaam libiseb teise alla, kerkib teise laama äär ülespoole ja tekivad noored mäed. Samas on just seal palju tegevaid vulkaane ja esineb oluliselt rohkem maavärinaid. 

Füüsika seletab, mis asi üldse on temperatuur ning otsib seletusi n?htustele nagu soojusliikumine (tolm lambivalguses).

Füüsika poolt uuritavad põhjuslikud seosed on reeglina üldisemad põhjuslikest seostest teistes loodusteadustes. Näiteks keemias oli tagajärjeks sademe teke ja selle põhjusena tuuakse esile temperatuuri langemine. Füüsika aga seletab, mis asi on üldse suurus nimega temperatuur, mille muutumine oli keemia jaoks põhjuseks. Füüsika loob temperatuuri mõiste põhjusliku mudeli, mille kohaselt aine molekulid on kaootilises soojusliikumises. Selle liikumise keskmine kineetiline energia ühe osakese kohta määrabki temperatuuriks nimetatava füüsikalise suuruse. Kõrgemal temperatuuril on osakeste keskmine kineetiline energia suurem, osakesed liiguvad kiiremini ja seetõttu on ka lahustuvus suurem. Geograafia vaid nendib, et laamade libisemine põhjustab mandrite triivi, mis omakorda miljonite aastate jooksul muudab Maa geograafilist kaarti. Füüsika aga seletab, millisest ning kui kõrgel rõhul ja temperatuuril olevast ainest Maa sel või teisel sügavusel tõenäoliselt koosneb. Füüsika näitab, et erinevatel temperatuuridel paiknevate vedelate ainekihtide vahel esineb vältimatult konvektsioon. See tähendab, et Maa sisemuse mingis piir­konnas kerkib kuum aine ülespoole ja selle kõrval toimub jahedama aine laskumine alla. Maakoore all liigub vedel aine tõusu tsoonist laskumise piirkonna suunas ning veab maakoore osi endaga kaasa. Nii tekibki laamade liikumine. Füüsika kasutab geograafias olulise loodusnähtuse seletamisel meie poolt juba põhikoolis õpitud konvektsiooni mudelit, mis kirjeldab nii aine liikumist maakoore all, merevee liikumist ookeanides, õhumasside liikumist atmosfääris kui ka õhu ringkäiku meie tubades. Füüsikaline põhjuslik seos on kõige üldisem

Põhjuslikkus avaldumine ja põhjuslikkuse liigid
Ruumiline põhjuslikkus: purk püsib serval, sest selles on natuke vedelikku.

Põhjuslikkust võib füüsikas liigitada mitmeti. Üks võimalus on seda teha, rakendades ruumi ja aja mõisteid.

Ruumiliseks võib nimetada sellist põhjuslikkust, mille korral omavahel põhjuslikult seotud sünd­mused on korraga vaadeldavad. Võib ka öelda, et ruumilise põhjuslikkuse korral puudub alus nende sündmuste järjestamiseks. Nende kirjeldamisel võib alus­tada ükskõik millisest sündmusest. Ruumiline põhjuslikkus avaldub ühe füüsikalise objekti koosne­mises teistest objektidest. Näiteks: Liivahunnik koosneb liivateradest. Liivaterade olemasolu on liiva­hunniku olemasolu põhjus. Või siis: Aatomi tuum koosneb prootonitest ja neutronitest. Prootonite ja neutronite olemasolu on tuuma olemasolu põhjus. Looduses valitsevat ruumilist põhjuslikkust kirjeldab käesoleva õpiku 1. peatükis uuritud looduse struktuuritasemete skeem. Matemaatikas tegelevad ruumilise põhjuslikkusega geomeetria ja algebra. Toome näiteks ühe geomeetria väite: Kolmnurk koosneb kolmest sirglõigust, mille vahel tekib kolm nurka; või siis algebra väite: avaldis a2b2 koosneb korrutisena teguritest (ab) ja (a + b). 

Ajaline põhjuslikkus: arvatavasti ei ole ka viimastel klotsidel kukkumisest pääsu.

Ajaliseks võib nimetada sellist põhjuslikkust, mille korral omavahel põhjuslikult seotud sünd­mused ei ole korraga vaadeldavad. Sündmuste vahel on olemas kindel järjestus. Ajaline põhjuslikkus avaldub teise sündmuse järgnevuses esimesele. Siin sobib hästi juba uuritud näide: vaas paikneb kivipõranda kohal õhus ja talle mõjub ainult raskusjõud (sündmus 1, põhjus); vaas on jõudnud põrandale (s. 2, tagajärg). Matemaatikas tegeleb ajalise põhjuslikkusega funktsioonide teooria ning veel kõrgemal tasemel teeb seda juba diferentsiaal- ja integraalarvutus. Äsja vaadeldud vaba langemise näite kohta ütleb matemaatika, et seda konkreetset protsessi kirjeldab ruutfunktsioon y = cax2, mis on üldisema funktsiooni y = ax2 + bx + c erijuht. Peagi õpime Mehaanika kursuses, et nimetatud ruutfunktsioon y(x) = cax2 kirjeldab vaasi põrandast mõõdetud kõrguse h sõltuvust ajast t kujul: h(t) = h0gt2/2. Matemaatika jaoks tähenduseta konstandid c ja a omandavad füüsikas kindla mõtte, neile hakkab vastama vaatleja mingi kindel kujutlus. Selgub, et matemaatika konstant c on langeva vaasi algkõrgus h0 ja matemaatika konstant a on füüsikas pool vaba langemise kiirendusest: a = g/2. 

Fatalistlik põhjuslikkus: rongi liikumisolekut on väga-väga raske muuta.Raudtee ülekäigul on põhjust hoolikalt vaadata nii vasakule kui paremale, sest liikuvat rongi ei ole lihtne peatada. Kindlasti ei suuda seda teha jalakäija, jalgrat

Põhjuslikkust saab ka liigitada võimalike tagajärgede arvu järgi. Kui mingi sündmus saab põhjustada vaid ühe kindla tagajärje, on tegemist fatalistliku põhjuslikkusega (lad fatalis – ette määratud). Põhikooli füüsika mudelid on reeglina fatalistlikud. Näiteks me võisime sajaprotsendiliselt kindlad olla, et kiirusega 20 m/s ühtlaselt ja sirgjooneliselt liikuv rong jõuab 5 sekundiga oma esialgsest asukohast 100 meetri kaugusele (näide p. 2.5.1). Muud võimalust lihtsalt pole. Niisugune füüsika sisendab meisse jõuliselt arvamust, et kõik protsessid looduses ongi fatalistlikud. 

Kui mehaanikateadus oli 18. sajandi lõpuks välja arenenud, siis asusid mitmed füüsikud propageerima determinismi. Füüsikaline determinism on mõtteviis, mille kohaselt kõik sündmused maailmas on rangete mehaanika­seadustega ette määratud ehk determineeritud. Determinismi äärmuslik väljendus on väide: Andke mulle kõigi maailmas sisalduvate kehade asukohad, asendid, massid ja kiirused ning ma ennustan teile täpselt mistahes tulevikusündmuse toimumise aega ja kohta. Kaasaegne füüsika näitab selgesti determinismi paikapidamatust. Fatalistliku mõtteviisi peamine viga seisneb arvamuses, et liikumine põhjuselt tagajärje poole on täpselt korratav. Kui on võimalik täpselt korrata põhjust, siis peame sajaprotsendilise kindlusega saama ka sama tagajärje. Looduses põhjuse täpne kordamine aga võimalik ei ole, mistõttu reaalne ettemääratus ei saa kunagi olla täielik. Seda täheldas juba Vana-Kreeka mõttetark Herakleitos oma kuulsas lauses Ei ole võimalik kaks korda astuda samasse jõkke, järgmisel korral on juba teine vesi. Võib öelda, et ettemääratuses on alati olemas mõningane määramatus. 

Tegelikult on fatalistlik põhjuslikkuse käsitlus vastuvõetav vaid kitsa erijuhuna. Aga kuna fatalistlik põhjuslikkus on ikkagi lihtsaim võimalikest, siis alustatakse füüsikaliste mudelite kujundamist enamsti fatalistlikest variantidest. 

Loto loosimistulemusi ei ole võimalik ette ennustada. Me saame vaid hinnata ühe või teise tulemuse tõenäosust, mis on aga kõigi juhtude jaoks võrdne.

Fatalistliku põhjusliku seose korral võimalik täpne füüsikaline ennustamine. Mitme võimaliku tagajärje korral aga kindlat tagajärge täpselt ennustada ei saa ja mängu tuleb juhuslikkus. Juhuslikuks nimetame põhjuslikkust, mille korral võimalikke tagajärgi on lõplik ja kindel arv ning me saame hinnata ühe või teise tagajärje esinemise tõenäosust. Näiteks ei saa me täringuviske tulemust täpselt ennustada, kuid me teame, et tagajärgedeks on kuus erinevat võimalust ja nende esinemise tõenäosused on võrdsed. Realiseerub üks variant kuuest, tõenäosusega 1/6 . 100 ehk 16,7%. Kui meenutame juhuslike mõõteväärtuste histogrammi moodustamist (p.2.4.3), siis võime öelda, et ka antud katses oli võimalikke tagajärgi lõplik arv. Teoreetiliselt oli neid sada, 1 cm kaupa 1-st kuni 100-ni, sest kasutati 1 m = 100 cm pikkust mõõtjoonlauda. Praktiliselt esines aga vaid kümme varianti, kusjuures kõige tõenäosemaks osutus 72 cm (katselise tõenäosusega 22%). Mitte-esinenud variantide tõenäosused osutusid nii väikesteks, et mõõtmiste arv 100 polnud piisav määramaks, kui väikesed nad ikkagi olid. Kaasaegne füüsika erineb klassikalisest tõenäosusliku mõtteviisi laialdase rakendamise poolest. 

Peamiseks põhjuslikkuse mudeliks on kaasaegses füüsikas juhuslik või tõenäosuslik põhjuslikkus. Selle kohaselt pole olemas täiesti kindlaid ega ka täiesti võimatuid sündmusi. Näiteks on kvantmehaaniliselt võimalik, et puu otsast vihmaveerenni kukkuv tammetõru läbib vihmaveerenni seina (just nimelt läbib, mitte ei hüppa üle ääre!), kuid sellise protsessi esinemise tõenäosus on vähem kui 10–30 (täpne väärtus sõltub valitud tingimustest). Kui oletame, et iga tammetõru kukkumine kestab ühe sekundi ja arvestame, et kogu Universumi vanus on „kõigest“ ca 4 . 1017 sekundit, siis saab selgeks, et praktikas pole meil lootust olla renniseina läbimise tunnistajaks. Ka Universumi vanusest ei piisa selleks, et „jõuda teostada“ vajalikku arvu katseid. 

Makromaailmas vastu mäge kihutava auto tulevik on üsna selge - mõlgitud plekk. Mikromaailmas on aga "seinade" ehk potentsiaalibarjääride läbimine võimalik. Seda nimetatakse tunnelefektiks.

Toodud näitest selgub, et makro­maailmas võime me enamasti muretult rakendada fatalistlikku klassikalist põhjus­likkusekäsitlust. Mikromaailmas oleks see aga täiesti kohatu, kuna elektroni järjestikused asukohad aatomis on prognoosimatud. Neist ei moodustu tegelikult mitte mingit liikumisteed ehk trajektoori. Me saame vaid analoo­giliselt pingpongipalli tagasipõrke katsega (p.2.4.3) hinnata, millise tõenäosusega me võime vesiniku aatomi ainsat elektroni leida ühel või teisel kaugusel tuumast. Kvant­mehaaniliste arvutuste järgi kõige tõenäosemaks osutuv kaugus 5,3 . 10–11 meetrit ongi see kaugus või raadius, millel elektron tiirleb ümber tuuma põhikoolis õpitud planetaarse aatomimudeli kohaselt. Samas on saadud ka terve rida katsetulemusi, mida planetaarne aatomimudel seletada ei suuda, kuid mis on täielikus kooskõlas kvantmehaanilise aatomimudeliga. Tegemist on hea näitega selle kohta, kuidas primitiivsem füüsikaline mudel osutub täiuslikuma mudeli piirjuhuks. Nendime kokkuvõtteks, et loodusseadusi võib jagada fatalistlikust põhjuslikkuse käsitlusest tulenevateks rangeteks seadusteks ja juhusliku põhjuslikkuse kontseptsioonil rajanevateks tõenäosuslikeks ehk statistilisteks seadusteks. 

Elektronide tõenäosuslikku paigutust aatomi sees on võimalik välja arvutada ja katseliselt kinnitada. Kas on võimalik ka tõeliselt elektronkattesse piiluda või vähemalt otse aatomite seest pärinevaid andmeid pildiks muut

Kui võimalike tagajärgede arv pole mitte mingil moel eelnevalt määratav ja mitte ükski realiseerunud tagajärg pole täpselt korratav, siis on tegemist kaootilise põhjuslikkusega. Kaootilise põhjuslikkuse näiteks võib tuua õnnevalamise tulemuse või mullide tekkimise vee väljavoolamisel pudelist . Kui põhjaga taeva poole keeratud pudelist vesi välja voolab, siis siseneb õhk pudelisse kaootiliselt. Me ei suuda ennustada, millist pudeli serva mööda õhumull ülespoole kerkib. Kui aga pudelit enne keerutada, siis saab ennustada keerise teket ja vee kiiremat voolamist. Kaootilise põhjuslikkuse uurimisega tegeleb kaasaegse füüsika ja matemaatika piiriteadus sünergeetika

Loodusteadustes esineb alati oht, et põhjuslike seoste otsimisel avastatakse tõelise põhjuslikkuse asemel näiv põhjuslikkus. Näiva põhjuslikkuse korral on tagajärje rollis esinev sündmus tegelikult põhjustatud mitte põhjuseks peetavast sündmusest, vaid mingist muust, esmapilgul märkamata jäänud sündmusest. Kõige tuntumaks näiteks selle kohta on astroloogilised seaduspärasused, näiteks inimese iseloomu sõltuvus tema sünnikuupäevast. Kui see sõltuvus üldse esineb, siis kindlasti ei ole ta põhjustatud Maast väga erineval kaugusel paiknevate tähtede omavahelisest asendist maapealse vaatleja jaoks. Kuid Päikese ja Kuu võimalikku mõju maapealsetele protsessidele ei saa eitada, mistõttu see võib olla nimetet sõltuvuse tõeline põhjus. 

Kui loodusest võib leida nii näivat kui tegelikku põhjuslikkust, siis mustkunstnikud tegelevad reeglina näiva põhjuslikkusega.

Elektrinähtuste uurimise algaastatel arvati, et kuna säde on sinaka värvusega, siis elekter armastab sinist ja kardab punast värvi. Seepärast kasutati isoleeriva materjalina just punast siidniiti ja katsed kinnitasid sellise valiku õigsust. Punase siidniidi otsa riputatud metallkuulile jäi elektrilaeng püsima aga hõbedane traat juhtis laengu minema. Tollal arvati, et siidniidi käitumine mittejuhina on põhjustatud tema punasest värvusest. Hiljem selgus, et tegelik põhjus peitub hoopis niidi või juhtme materjalis. Siidis puuduvad vabad laetud osakesed ja sellepärast siid ei juhigi elektrit. 

Tahteline põhjuslikkus määrab näiteks inimeste käitumise. Me ei
tea, millisel looduse struktuuritasemel toimuvad selle aluseks olevad põhjusliku seosed.

Lähtudes vaatleja definitsioonist (p.1.2.1) peame aga kõigile teistele looduses esinevatele põhjuslikkuse liikidele lisama veel ühe. See on tahteline põhjuslikkus, mis realiseerub inimese vaba tahte ilminguna. Püüdkem vastata küsimustele Miks ma just praegu püsti tõusin? Miks ma just praegu kätt liigutasin? Milline ka poleks vastus neile küsimustele, see vastus ei kipu mahtuma mitte ühegi ülalpool loetletud põhjuslikkuse liigi alla. Me loodetavasti ei kahtle selles, et ka inimkeha on osa loodusest, koosnedes eelkõige kindlaviisiliselt paigutunud ja vastastikmõjustuvatest süsiniku, vesiniku ja hapniku aatomitest. Seetõttu peaksid ka inimkehas toimuvad protsessid alluma samadele põhjuslikele seostele, mis kehtivad kogu ülejäänud looduses. Kuna me ei oska seletada, millisel looduse struktuuritasemel toimivad need põhjuslikud seosed, mis määravad meie otsuse midagi teha või mitte teha, siis oleme sunnitud võtma kasutusele erilise põhjuslikkuse liigi – tahtelise põhjuslikkuse. Selle uurimisega peaksid aga käsikäes tegelema loodusteadused, arstiteadus ja psühholoogia. Kindlasti ei ole see ainult füüsika uurimisobjekt. 

Füüsikast tulenevad võimalused ja füüsikaga seotud ohud
Mõnikord eksperiment lihtsalt ei õnnestu. Kontrollitud keskkonnas võib aga ebaõnnestumise tõenäosus olla tühiselt väike. Enne kui üks neist robotitest vea teeb, jõuab ilmselt tehasest väljuda suur hulk valmisautosid.

Loodusnähtuse ennustamine on väide selle nähtuse toimumise kohta tulevikus ja/või mingis teises kohas. Juba korduvalt on juttu olnud sellest, et võimes pädevalt ennustada loodusnähtusi avaldub füüsika prognostiline ehk ennustuslik väärtus. Ennustamise aluseks on põhjuslike seoste tunnetamine. Näiteid selle kohta on kahes eelmises alapunktis juba toodud üksjagu. Rõhutame vaid veel kord, et uurides põhjuslikkuse kõige üldisemaid avaldumise vorme annab füüsika teistele loodus­teadustele üldise meetodi looduses esineva põhjuslikkuse käsitlemiseks. Füüsika näitab, kuivõrd saab selle või teise loodusnähtuse lõpptulemus olla ette määratud. Ettemääratus on mingi sündmuse kindel esinemine tulevikus, sõltumata sünd­mus­test, mis esmapilgul võiksid antud sündmuse kui tagajärje võimatuks muuta. Füüsikalise ettemääratuse tingib loodusseaduste vältimatu, mistahes inimese tahtest sõltumatu kehtivus, aga need seadused ei pruugi olla ranged. Nad võivad olla ka statistilised ehk juhuslikust põhjuslikkusest tulenevad. 

Vähk on geneetilistest mutatsioonidest tingitud haigus, mida põhjustavad normaalsete keharakkude asemel tekkivad pahaloomulised kasvajarakud ehk vähirakud. Kuidas toimub vähi kiiritusravi?

Füüsikal kui peamisel tehnilist progressi käivitaval ja toetaval loodusteadusel on kindlasti ka rakenduslik väärtus. Mehaanika välja­arendamine 18. sajandil võimaldas ehitada masinaid, mis oluliselt kergendasid inimtööd. Ehkki masinate kasutuselevõtuga vabrikutes kaasnes küll varem käsitsitöös hõivatud inimeste töötuks jäämine, lõid ketrus- ja kudumismasinad, trei- ja frees­pingid ning stantsid siiski aluse enneolematuks tööviljakuse tõusuks, millega kaasnes arenenud riikide elanikkonna keskmise elujärje tunduv paranemine. Soojusfüüsika saavutused võimaldasid 18. sajandi lõpul luua aurumasina ning 19. sajandi lõpul sisepõlemismootori. Elektro­magnetismi põhiseaduste avastamine 19. sajandil tegi võimalikuks telegraafi, telefoni ja raadioside kasutuselevõtu, elektrienergia jõudmine kodudesse suurendas enneolematul viisil olmemugavusi. Füüsika rakenduslikust väärtusest võiksime rääkida veel pikalt, aga selle kohta leidub hulgaliselt infot ka mujal, mitte ainult füüsikaõpikutes. 

Kuni Teise maailmasõjani oli füüsikal ühiskonnas selgelt positiivne kuvand. Füüsika aitas elu paremaks muuta ja temast ei lähtunud veel tõsiseid ohte. Kui aastal 1945 võeti aatomi- ja tuumafüüsika tulemustest lähtudes kasutusele tuumarelv, siis pidi inimkond vist esmakordselt selgesti tõdema, et füüsika arenguga kaasnevad ohud. Loomulikult pole neis ohtudes süüdi füüsika ise vaid mõnede vastutustundetute poliitikute võimuahnus ja relvatootjate rikastumissoov. Paraku ei muuda selle fakti mõistmine ohtu olematuks. Kahe tohutu tuumaarsenaliga üliriigi Nõukogude Liidu ja Ameerika Ühendriikide vastasseisu tulemusena elas maailm aastail 1950-1990 pidevas globaalse tuumasõja ohus. Vastasseisu ajastu lõpul oli kõigi loodud tuuma­relvade summaarne purustusjõud paljukordselt piisav kogu inimkonna hävitamiseks. Samas on ilmselt just tuuma­katastroofi tagajärgede füüsikalised prognoosid seni ära hoidnud kolmanda maailma­sõja puhkemise. Kõik asjatundjad teavad, et globaalses tuumasõjas ei jää lõpuks ellu mitte keegi. Ka neil, kes suudaksid esialgu varjenditesse peituda, tuleks sealt millalgi välja tulla. 

Tšernobõli tuumajaamas 26. aprillil 1986 toimunud avarii oli tuumaenergeetika ajaloo rängim. Kiievist 100 km põhja pool asuvas tuumajaamas oli töös neli 1000 MWe elektrilise võimsusega Nõukogude Liidus väljatöö

Nõukogude Liidu lagunemise tulemusena on kahe üliriigi vahelise tuumasõja oht tänapäeval jäänud tagaplaanile, kuid jätkuvalt ohtlikud on kohalikud tuumakonfliktid, sest tuumarelva omanikeks on saamas või juba saanud mitu avalikku arvamust eiravat ja agressiivsest ideoloogiast juhinduvat riiki (näiteks Iraan või Põhja-Korea). Seoses tuumaenergia üha laialdasema kasutuselevõtuga on tänapäeval muutunud aktuaalseks mingis tuumaelektrijaamas toimuva avariiga kaasnev võimalik oht. Esimene tõsine märk sellest ohust oli Tšernobõli katastroof aprillis 1986. Tšernobõli avarii põhjused on heaks näiteks füüsikalise põhjuslikkuse ja füüsikaliste ennustuste piiride kohta. Nimelt toimus Tšernobõli tuumaelektrijaama reaktorite töö reguleerimine grafiitvarraste abil, mis neelavad tuumareaktsiooni käigus tekkivaid ja uusi tuumareaktsioone vallandavaid vabu neutroneid. Kui reaktsioon muutub liiga intensiivseks, lükatakse seda tüüpi reaktoris grafiitvardaid rohkem reaktorisse sisse, vähendamaks vabade neutronite arvu. Piltlikult öeldes ”valatakse tuumatulele pisut vett peale”, hoidmaks seda kontrolli all. Paraku ei arvestatud Tšernobõlis aga sellega, et kui temperatuur reaktoris on juba ohtlikult kõrge, siis materjalide omadused muutuvad ja grafiitvarraste nihutamise mehhanismid võivad kinni kiiluda. Nii paraku juhtuski. Ohtlik loodusnähtus (tuumareaktsioon) on ise füüsikaline nähtus, tema ohjamisel kasutatav mehhanism (grafiitvardad) rajanes põhjusliku seose füüsikalisel tunnetamisel, mehhanismi ootamatul ülesütlemisel olid aga samuti füüsikalised põhjused. Katastroof sai teoks füüsikaliste põhjuslike seoste ignoreerimise tulemusena. 

Loviisa tuumaelektrijaam Soomes, koguvõimsusega 1020 MW.

Kaasaegsete tuumaelektrijaamade turvasüsteemid on piisavalt kõrgel tasemel, muutmaks Tšernobõli tragöödia kordumise tõenäosust tühiselt väikeseks. Kuid siiski jääb alles prognoosimatust loodusõnnetusest tulenev tuumaavarii oht. Seda näitas meile selgesti hiljutine avarii Fukushima tuumaelektrijaamas Jaapanis. Avarii põhjustas teatavasti maavärin. Kümned Jaapani tuumaelektrijaamad paiknevad alal, kus maavärinate esinemise tõenäosus on väga kõrge. See on ohtlik, kuid valikut pole, sest energiat on vaja. Paraku on inimkond jõudnud selleni, et ohtlikku tegevust jätkatakse, ehkki kõik on ohust teadlikud. Millele me saame sellises olukorras oma lootuse panna? Ainult füüsika arengule. Tuleb loota, et geofüüsika jõuab peagi niikaugele, et suudab maavärinaid piisava tõenäosusega ette ennustada. Kui maavärinat on oodata, tasub tuumalelektrijaamade võimsust vastavas piirkonnas vähendada ja viia nad üle avariivalmiduse seisundisse. 

Printsiibid füüsikas ja atomistika
Füüsikaline printsiip kui meie teadmiste piir

Juba käesoleva kursuse alguses (p.1.1.1) oli juttu sellest, et kõigi vaatleja kujutluste hulgas looduse kohta on erilisel kohal printsiibid. Füüsikaline printsiip (lad principium – algus, alus) on looduse vaatlemisel tehtud kõige laiema kehtivusalaga üldistus. Printsiipide paikapidavust tõestab see, et loodust vaadeldes me veendume ikka ja jälle printsiipide kehtivuses ning ei näe mitte kusagil erandeid printsiipidest. Füüsika koosneb vaatluste ja katsete põhjal tehtud üldistustest. Vaatlusi ja katseid ning neist tulenevaid järeldusi saab olla palju erinevaid. Millised neist siis väärivad kõige muu alguse või aluse nimetust?

Kui tahame seletada mingit nähtust, peame ridamisi vastama paljudele üksteisega seotud miks-küsimustele. Iga vastus kutsub reeglina esile uue küsimuse. Siiski me saame neile miks-küsimustele vastata vaid teatud piirini. Varem või hiljem jõuame olukorrani, kus me enam miks-küsimusele vastata ei oska ja peame piirduma tõdemusega, et nii lihtsalt on. Kui me paneme kokku kuuma ja külma keha, siis ilma välismõjuta läheb soojus alati kuumemalt kehalt külmemale, mitte vastupidi. Loodus on selline ja me ei oska öelda, miks. Füüsikalised printsiibid on miks-küsimuste ahelate lõpud. Nad on looduse kohta käivad kõige üldisemad tõdemused, mis vastavad absoluutselt kõikide eksperimentide tulemustele. 

Ka tänapäeval üritatakse konstrueerida nn igiliikureid, so masinaid, mis teevad tööd ilma, et neile väljastpoolt energiat juurde antakse. Füüsikalised printsiibid välistavad sellise masina võimalikkuse.

Tuleb kohe märkida, et senistes füüsikaõpikutes kasutatakse sõna printsiip sageli ka kitsamas tähenduses. Näiteks räägitakse mingi konkreetse füüsikateooria, näiteks termodünaamika – printsiipidest. Sel juhul mõeldakse printsiibi all mingit üldist retsepti teatud kindlat liiki füüsikaprobleemide lahendamiseks. Siiski on sel juhul tegemist probleemidega ühes kindlas loodusnähtuste valdkonnas, mitte looduses tervikuna. Printsiibid kitsamas tähenduses on reeglina taandatavad mingile printsiibile käesolevas õpikus kasutatavas laias tähenduses. Nii näiteks on ülalmainitud termodünaamika printsiibid taandatavad üldisele energia miinimumi printsiibile, millega me peagi tegeleme lähemalt (p.4.3.2). 

On väga oluline mõista, et see, mida pidada printsiibiks ja mida mitte, on iga vaatleja vaba otsus. Loodus on terviklik ja seetõttu tundub meile ühe või teise printsiibi käsitlemisel korduvalt, et samalaadsest asjast on juba juttu olnud. Leidub inimesi, kes on valmis kõiki printsiipe taandama üheleainsale ning kogu oma maailmapilti sellele üles ehitama. Siin peame jälle meeles pidama, et füüsika pole matemaatika, kus on olemas ainult üks õige vastus. Füüsikas peab arvamuste paljusus olema lubatud – seni, kuni arvamused pole vastuolus katsefaktidega

Aksioomid matemaatikas ja printsiibid füüsikas

Juba eespool (p.3.1.5) oli juttu matemaatika ja füüsika seostest. Matemaatika on rangelt defineeritud tähendusega sümbolite keel. Matemaatika ja füüsika peamine erinevus seisneb selles, et kui esimene neist uurib loogilisi seoseid ettekujutatavate objektide ja nende omaduste vahel, siis füüsika kirjeldab reaalselt olemasolevat loodust. Tõsi küll, füüsika kasutab väga sageli selleks matemaatika keelt. Matemaatikas ei tehta vaatlusi ega katseid. Tulemused saadakse vaid rangete loogiliste arutluste teel. 

Kuna matemaatika ei kirjelda otseselt loodust, siis võib selle teooriate aluseks võtta väiteid, mis ei nõua katselist tõestust, kuid on täielikus vastavuses meie igapäevase kogemusega. Matemaatiliste teooriate aluseks olevaid ilmselgeid ja tõestust mittevajavaid väiteid nimetatakse aksioomideks (kr aksioma – kindel, vaieldamatu). Toome mõned näited matemaatika aksioomidest:

Arv null on väikseim võimalik naturaalarv. 

Läbi kahe erineva punkti saab tõmmata ainult ühe sirge. 

Läbi sirgel mitte asuva punkti saab tõmmata ühe ja ainult ühe antud sirgega paralleelse sirge. 

Paralleelsed sirged ei lõiku.

Kaks meridiaani on ekvaatoril paralleelsed, kuid ometi lõikuvad poolusel.

Kolm viimast aksioomi on näiteks Eukleidese geomeetria alusväideteks. Pole kuigi raske veenduda selles, et nad kehtivad ainult tasandil. Sfäärilisel pinnal, milleks on näiteks gloobuse pind, on kaks erinevat meridiaani ekvaatoril paralleelsed, kuid ometi lõikuvad poolusel. 

Aksioomidest tegime siin juttu põhjusel, et füüsikaline printsiip sarnaneb aksioomige matemaatikas. Mõlemad on alusväited, mida eraldi ei tõestata ja mille tõesust kinnitab kõige neist tuletatu kehtivus. Samas ei maksa unustada, et füüsika kirjeldab tegelikke loodusobjekte: kehi, välju ja nendega toimuvaid nähtusi. Füüsikateooriate aluseks võib võtta vaid selliseid tõdemusi, mida vaatlused ja katsed alati kinnitavad. 

Atomistlik printsiip

Võtame tüki juustu, asetame lõikelauale ning lõikame pooleks. Tulemuseks on kaks poole väiksemat juustutükki. Kõik oskavad sellise tegevuse tulemust ennustada. Kui jätkame sellist juustupoolitamist, siis saame järjest väiksemaid juustutükke. Isegi siis, kui juustu tükeldamine on kaotanud igasuguse kulinaarse mõtte, poolitame neid juustutükke aina edasi. Kas võime juustu lõputult järjest pisemateks paladeks lõikuda, nii et saadud tükid ikka sama maitsega juustuks jäävad? Juustumeistrite kinnitusel pole see võimalik. Juust pole ühtlane mass, vaid koosneb suurest hulgast mitmete omaduste poolest erinevatest osakestest. Meile toiduainena tuttav juust on segu erinevatest vee, rasvade, valkude, hapete ja soolade osakestest. Juustu tükeldamisel jõuame varem või hiljem piirini, mille ületamisel ei või saadud tükikesi enam juustuks nimetada. Rasvade, valkude, soolade ja vee molekulidel on oma kindlad omadused, aga need pole enam juustu omadused. Kehi ei saa lõputult väiksemateks osadeks jagada nii, et saadud osadel säiliksid kõik jagatava terviku omadused

Bioloogiliste molekulide elutegevust tagavad molekulid on reeglina suured ja keerulise struktuuriga. Nende
kahjustamisel, seega ka poolitamisel ei saa molekul enam oma funktsiooni täita.

Jagatavuse piiri olemasolu idee esitas juba aastatuhandeid tagasi Vana-Kreeka filosoof Demokritos. Ta väitis, et ainet ei saa lõputult jagada üha väiksemateks osadeks. Demokritose ettepanekul hakati selliseid vähimaid jagamatuid aineosakesi nimetama aatomiteks (kr atomos – jagamatu). Demokritose väide oli õigupoolest hüpotees, mille katseliseks kontrollimiseks puudusid tema eluajal võimalused täielikult. Kaasaegses füüsikas on see aga leidnud korduvalt katselist kinnitust. Kehtib atomistlik printsiip, mis väidab, et loodusobjekte pole võimalik lõputult samal viisil jagada endiste omadustega osadeks

Ernest Rutherfordi pommitas ainet alfaosakestega. Selgus, et väike osa alfa-osakesi hajus või põrkus tagasi. Sellest saab teha järelduse, et aine on põhiliselt koondunud väga tihedatesse aatomituumadesse.

Atomistliku printsiibi kehtivus aine kohta tõestati katseliselt juba 19. sajandil. Nimelt avastati siis lihtainete aatomid kui vähimad kindlate keemiliste omaduste kandjad. 20. sajandi alguses õnnestus Ernest Rutherfordil aatomit siiski osadeks jagada (p.1.3.2). Ta näitas katseliselt, et aatom koosneb tuumast ja elektronidest. Peagi selgus, et tuum koosneb omakorda prootonitest ja neutronitest. Elektroni, prootonit ja neutronit peeti ligi 50 aasta jooksul füüsika jaoks vähimateks aine jagamatuteks osakesteks. Seetõttu hakati neid nimetama elementaarosakesteks. Samas avastati aga veel kümneid erinevaid elementaarosakesi, mis sundis kahtlema prootoni ja neutroni elementaarsuses. 20. sajandi lõpul tõestatigi katseliselt, et prootonid ja neutronid koosnevad omakorda kolmest veel väiksemast osakesest – kvargist. Kogu kaasaegne katseliselt kontrollitud osakestefüüsika lähtub osakeste Standardmudelist, mille kohaselt aine koosneb kaheteist­kümnest fundamentaal- ehk alusosakesest: kuuest leptonist ja kuuest kvargist. Tavalise aine ehituskivideks on vaid kaks kõige väiksema massiga kvarki ning elektron kui levimuim lepton. Ülejäänud alusosakesi saab tekitada vaid laboris ja nende eluiga on väga lühike. Niisiis saab rääkida vaid antud teadmiste tasemel jagamatutest aineosakestest. Jagatavuse piiri ehk inimkonna sisemist nähtavushorisonti on viimase 150 aasta jooksul kogu aeg edasi nihutatud. Muuseas on ka osakestefüüsikas jäänud kehtima juustulõikamisel ning aatomite lõhkumisel ilmnenud seaduspärasus, mille kohaselt jagatavuse piiri ületamisel ei säili enam jagatava objekti endised omadused. Alusosakesed õigupoolest enam ei jagune väiksemateks samalaadseteks osakesteks, vaid nad muunduvad üksteiseks, kui selleks vajalikud tingimused on täidetud. 

Eelmise sajandi teisel poolel tõestati atomistliku printsiibi kehtivus ka välja kohta. Tehti kindlaks, et makromaailmas pidevana tunduv väli osutub mikrotasemel samuti koosnevaks jagamatutest osakestest, mida nimetatakse välja kvantideks (lad quantum – portsjon). Joonisel 3.2 (p.3.4.3) kujutatud vastastikmõju mehhanism toimib tegelikult ka atomistlikul tasandil. Üks aine alusosake „viskab teise suunas“ kvandi ehk väljaosakese nagu palli. See kvant tekitatakse energia jäävuse seadust lühiajaliselt rikkudes. Kuna energia jäävuse seadus ei saa jäädagi rikutuks, siis on teine vastastik­mõjus osalev alusosake „sunnitud palli püüdma“. Seni, kuni „pall on õhus“, on mõjus osalevad aineosakesed omavahel seotud. Mõlemad aine alusosakesed aga on „nii pallide viskajateks kui püüdjateks“. Selles avaldubki mõju vastastikusus mikromaailmas.

Atomistlik printsiip toimib mitte ainult füüsikas ja keemias. Me märkame tema ilminguid ka tavaelus. Näiteks koosnevad kõik mingis keeles kirjutatud sõnad ju tähtedest, mida võib vaadelda kirja jagamatute algühikutena. Samas rollis on suulise kõne korral häälikud. Atomistikast võime rääkida kõikjal, kus on tegemist mingite osadega, mis moodustavad terviku. Osadel reeglina ei ole enam neid omadusi, mis tervikul. Osa ja terviku probleemi matemaatiline esitus on hulgateooria. Hulk koosneb elementidest samamoodi, nagu mingi muu tervik koosneb osadest. Elementidel, mis moodustavad ühe kindla hulga, on kõigil mingi tunnus, mis määrab nende kuuluvuse just sellesse hulka. 

Kordame veel atomistlikku printsiipi täiesti kaasaegses ning detailses sõnastuses: Ei ainet ega välja pole võimalik lõputult jagada samade omadustega osadeks. Mõlemal on olemas antud teadmiste tasemel vähimad osakesed, mida aine korral nimetatakse fundamentaal- või alusosakesteks, välja korral aga kvantideks

Teised füüsikalised printsiibid
Energia miinimumi printsiip
Kõik iseeneslikud protsessid kulgevad looduses alati energia kahanemise suunas.

Kui me peaksime ebatasasel maastikul kaotama palli, siis asume seda ilmselt otsima kõige madalamatest paikadest, mitte künkatippudest. Miks me nii toimime? Me teame, et kõik veerevad kehad jäävad lõpuks pidama paika, mille asukoht on kõigist võimalikest madalaim. Nad jäävad pidama sinna, kus nende energia Maa raskusväljas on kõige väiksem.

Toodud näide väljendab kogu looduses kehtivat energia miinimumi printsiipi. See printsiip väidab, et kõik iseeneslikud ehk mitte välismõjust tingitud protsessid kulgevad looduses alati energia kahanemise suunas. Nii üksikul kehal kui kehade süsteemil on kalduvus energiat loovutada või töö tagavara ära kulutada, suundudes minimaalse energiaga olekusse. Võib ka öelda, et kõik loodusobjektid tahavad energiat ära anda, kuid miski peab seda energiat ju ka vastu võtma. Seetõttu toimub loodusobjektide vahel pidev vastastikune „energia kaela määrimine“. Omavahelise vastastikmõju tulemusena lähevad mistahes süsteemi osad lõpuks omavahel energia andmise ja vastuvõtmise tasakaalu, mille määravad konkreetsed tingimused. Kui me soovime mingile ühele objektile anda suurt kogust energiat, siis peame energia vahepealse loovutamise talle võimatuks muutma. Nii näiteks mõjutatakse osakeste kiirendites (meenutagem p.1.3.2) laetud osakesi elektriväljaga, püüdes samal ajal ära hoida kiirendatavate osakeste enneaegset kontakti teiste osakestega. Selle kontakti vältimiseks tekitatakse kiirendis ülikõrge vaakum. 

Energia miinimumi printsiibi kehtivuse kohta võib tuua järgmisi näiteid:

Vihmapiisad langevad maale, ojad voolavad jõkke, jõed omakorda merre. Kehade liikumine allapoole (lähemale Maa keskpunktile) on liikumine energia miinimumi poole. 

Välismõjude puudumisel läheb soojus vältimatult kuumalt kehalt külmemale.

Kui me paneme kokku kuuma ja külma keha, siis ilma välismõjuta läheb soojus alati kuumemalt kehalt külmemale, mitte vastupidi. Kuum keha jahtub, liikudes energia miinimumi poole. 

Kompassi magnetnõel võtab ruumis kindla asendi põhja-lõuna sihis ja tuleb sellesse asendisse jälle tagasi, kui me oleme ta sealt välja viinud. Maa magnetvälja suunaline asend on magnetnõelale energia miinimumi asendiks. 

Ained hakkavad kuumutamisel ning elektrivoolu läbiminekul helenduma, sest aatomid kiirgavad teistelt osakestelt põrgetel saadud lisaenergia valgusena välja. 

Mingi aine põlemisel eraldub soojust. Põleva aine aatomid ühinevad hapniku aatomitega, tekib oksiid. Iga oksiidi molekuli moodustumisel vabaneb mingi kindel energia, mida nimetatakse selle molekuli seoseenergiaks. Aatomid loovutavad selle energia, liikudes summaarse energia miinimumi poole. 

Tõrjutusprintsiip
Kaks ainelist objekti ei saa korraga paikneda samas ruumiosas.

Me teame hästi, et kehi ei saa paigutada teineteise sisse. Kus üks keha on juba ees, sinna me teist panna ei saa. Me saame panna ühe raamatu teise peale või kõrvale, aga mitte teise sisse. Kui pista vett sisaldavasse anumasse mingi keha, siis veetase tõuseb. Vesi ja keha ei saa üheskoos samas ruumiosas paikneda, seepärast tõrjub keha oma asukohast vee välja. Nii vette asetatud kivi jääbki anuma põhja. Veest väiksema tihedusega keha, näiteks korgi või vahtplasti tükike aga tõuseb pinnale – vesi tõrjub ta endast välja. Ka kaks veejuga ei saa teineteist segamatult läbida. Kokkupuute­kohas veejoad põrkuvad ja tõrjuvad teineteist – vesi pritsib laiali. Kõigis sellistes nähtustes avaldub seaduspärasus, mida on eesti keeles hakatud nimetama tõrjutusprintsiibiks. Makromaailmas tähendab tõrjutusprintsiip seda, et kaks ainelist objekti ei saa korraga paikneda samas ruumiosas

Elektronide orbitaalide kujud.

Mikromaailmas on asi veidi keerulisem, sest aatomid ning nende koostisosad käituvad makrokehadest üksjagu erinevalt. Sellegipoolest kehtib tõrjutusprintsiip ka nende kohta. Mikromaailma jaoks sõnastas tõrjutusprintsiibi 1925. aastal austria füüsik Wolfgang Pauli (1900-1958), mistõttu seda sageli nimetatakse ka Pauli printsiibiks. Oma lihtsaimal kujul väidab Pauli printsiip, et kaks samas aatomis paiknevat elektroni ei saa olla täpselt samas kvantolekus.

Kaks elektroni ei saa aatomis käituda täpselt ühtemoodi, omades täpselt ühepalju energiat. Nende seisundid peavad millegi poolest erinema. Elektroni jaoks on aatomis lõplik arv „kortereid“ ja kus üks elektron juba on, sinna teist enam panna ei saa. 

Tõrjutusprintsiip määrab näiteks ära, kui palju elektrone saab olla aatomite elektronkihtides. Alati on esimesel tasemelmaksimaalselt 2, teisel 8, kolmandal 18 elektroni elektroni.

Energia miinimumi printsiip ja tõrjutusprintsiip määravad kahekesi kogu aine ehituse looduses. Võib ka öelda, et nad on kogu keemia füüsikaliseks aluseks. Keemiliste elementide perioodilisuse süsteem sisaldab kaheksat perioodi põhjusel, et aatomi välimises elektronkihis võib olla kuni kaheksa elektroni. Elektronid võivad aatomis perioodiliselt liikuda sümmeetriliselt mingi ruumisuuna suhtes. Seda liikumisviisi nimetavad keemikud p-orbitaaliks. Samas võivad elektronid täita ruumi ka ilma eelissuunata, sfäärilise kujuga „pilvena“. Seda nimetavad keemikud s-orbitaaliks. Kuna meie ruum on kolmemõõtmeline, siis on elektronidel kokku neli sellist ruumilise käitumise võimalust – kolm „teljelist“ ja üks „ilma teljeta“ variant. Elektronidel on aga lisaks veel sisemine liikumine, mida nimetatakse spinniks. Esmalähenduses võib seda kujutleda elektroni kui osakese pöörlemisena ümber oma telje. Kaks elektroni võivad täita sama ruumiosa, kui nende sisemine pöörlemine toimub samal teljel vastandlikes suundades, nii et üks elektron pöörleb päripäeva ja teine vastupäeva. Kolmandat võimalust ei ole. Seega võib samal orbitaalil viibida kuni kaks elektroni, aga kolmas tõrjutakse juba välja. Olemegi saanud kokku 4 × 2 = 8 erinevat võimalust elektroni paiknemiseks aatomi väliskihis. Kuna sisemistele elektronkihtidele vastavad elektroni energia väärtused on väiksemad, siis energia miinimumi printsiibi kohaselt täituvad kõigepealt sisemised elektronkihid. Need elektronid, millel tõrjutusprintsiip ei luba enam viibida mingis sisemises kihis, peavad paigutuma väliskihti. Just aatomite väliskihtide elektronid ehk valents­elektronid aga tekitavad keemilise sideme aatomite vahel. Sellest kõigest tuleb lähemalt juttu Mikro- ja megamaailma füüsika kursuses. 

Superpositsiooniprintsiip

Mitteaineliste ehk väljaliste objektide puhul tõrjutusprintsiip ei kehti. Kõik katsed näitavad, et erinevad väljad võivad üksteist segamata samas paigas asuda. Välja mõju kehale ei sõltu teiste väljade olenasolust või puudumisest. Näiteks püsimagnet tõmbab raudmutrit magnetjõuga ühtemoodi nii Maa pinnal kui ka kosmoses teostatud katses. Maa pinnal alati katse tulemust mõjutav Maa gravitatsioonijõud orbitaaljaamas ei avaldu, kuna kõik kehad viibivad kaaluta olekus. Samas tõmbab Maa sedasama raudmutrit maa­pinnal teostatud katses sama gravitatsioonijõuga enda poole sõltumata sellest, kas mutrile magnetjõud mõjub või mitte. Antud näites vaatlesime kahte erineva päritoluga välja, kuid täpselt sama tulemuse saaksime ka samaliigiliste väljade koostoimel. Kaks ühesugust püsimagnetit tõmbavad neist ühesugusel kaugusel paiknevat, niidi otsas rippuvat raudmutrit ühesuuruste jõududega. Ühe magneti tõmbejõud ei sõltu teise magneti olemasolust või puudumisest. Mutrile mõjub kahe teineteisest sõltumatu tõmbejõu vektorsumma. 

Kui keha asub korraga mitme välja mõjupiirkonnas, siis väljade mõjud liituvad, sõltumata väljade arvust või nende päritolust. Iga väli mõjub kehale sõltumata teiste väljade juuresolekust mingi jõuga. Jõuvektorite liitmisel punktis 3.1.4 toodud vektoriaalse liitmise reeglite kohaselt saame leida summaarse jõu.

Printsiipi, mille kohaselt väljad üksteist ei sega ja nende mõjud vektoriaalselt liituvad, nimetatakse superpositsiooniprintsiibiks (lad super – peal; positio – asetsemine). Superpositsiooniprintsiibi kehtivust kinnitab näiteks tõik, et erinevalt ainelistest veejugadest saavad kaks valguskiirt kui väljalist objekti teineteisest segamatult läbi minna. Seda on suhteliselt lihtne katses kontrollida. Kui üks valguskiir kohtub teisega, siis võime näha, et kummagi poolt tekitatud valguslaik selle tagajärjel ei muutu. Mitte mingit vastastikust tõrjumist ei esine. 

Absoluutkiiruse printsiip
Absoluutkiirus ja klassikalise füüsika kriis
Esimesed katsed määrata valguse kiirust ei erinenud palju sellel pildil kujutatust.

Kõik me oleme äikese ajal tähele pannud, et müristamist kuuleme me tavaliselt mitmeid sekundeid hiljem, kui näeme välgusähvatust. Põhjust teame samuti – pikselöögi tagajärjel tekkinud heli kohalejõudmine võtab aega. Heli levimiskiirus õhus on ligikaudu 1/3 kilomeetrit sekundis ning seda teades on lihtne äikesepilve kaugust määrata. Loeme sekundeid välgusähvatuse ja kõuekärgatuse vahel ning iga kolm järgnevat loendatud sekundit tähendavad lisakaugust üks kilomeeter.

Niiviisi arutledes eeldame, et valguse levimine aega ei võta. Kuidas aga tegelikult on? Kas valgus jõuab tõesti igale poole silmapilkselt, kas valguse kiirus on lõpmatult suur? Looduse uurimise algusaegadel just niimoodi arvatigi. Toonased vaatlusoskused muudeks järeldusteks võimalust ei andnud. Vana-Kreeka mõttetark Aristoteles oli veendunud, et valgus jõuab kaugetelt tähtedelt meieni silmapilkselt. Alles sajandeid hiljem hakkas lõpmatu kiiruse võimalikkuses kahtlema Galileo Galilei. Itaalia teadlane pani kirja isegi plaani, kuidas valguse kiirust eksperimentaalselt määrata võiks. 

Selle kohaselt peaksid kaks laternatega varustatud meest seisma täielikus pimeduses mingil kaugusel teineteisest ning esialgu oma laternat naabri eest millegagi varjama, näiteks kübaraga. Esimese mehe kõrval seisab kellaga varustatud abiline, kes käivitab oma kella, kui esimene mees eemaldab oma lambilt katte. Kui teine mees näeb esimese katsetaja lambi valgust, siis eemaldab ta katte ka oma lambilt. Kui aega mõõtev abiline näeb teise katsetaja lambi valgust, siis ta fikseerib kella näidu. Lampidega meeste kahekordse vahemaa ja kulunud aja suhe ongi valguse kiirus. Kahjuks polnud tollal veel piisavalt täpseid kelli ning plaan jäi esialgu vaid plaaniks. Tänapäevase tarkusega võiksime öelda, et sellisel viisil saab mõõta vaid teise katsetaja reaktsiooniaega. Kuigi valguse kiirus jäi mõõtmata, uskus Galilei selle lõplikusse. 

Romeri originaalne illustratsioon oma tööle. Punktides L ja K on Jupiter meist erinevatel kaugustel. Kuna valguse kiirus on lõplik näib maapealsele vaatlejale, et Io pöörlemise periood ümber Jupiteri muutub.

Juba põhikooli valgusõpetuses saime teada, et valguse kiiruse lõpliku väärtuse arvutas esimesena oma vaatlustulemuste põhjal välja Taani astronoom Olaf (Ole) Rømer [röömer] (1644-1710). Ta jälgis planeet Jupiteri kaaslasi ning pani tähele, et viimaste tiirlemisega seonduvad nähtused ei toimunud alati täpselt nendel hetkedel, mil arvutuste järgi pidanuks. Eriti suur oli erinevus pooleaastase vahega sooritatud vaatluste korral. Rømer taipas, et poole aastaga oli Maa Jupiterist ligi 300 miljonit kilomeetrit kaugemale liikunud. Vaadeldav nähtus hilines, kuna valgusel kulus vaatlejani jõudmiseks nüüd rohkem aega. Aastal 1675 sai Rømer nende vaatluste alusel valguse kiiruse väärtuseks 220 000 km/s. Olgu veel ka rõhutatud, et Rømer teostas mitte eksperimenti vaid sihipärast vaatlust, aga ta sai siiski teha arvuliselt väljendatava järelduse. 

Füüsika arenedes on valguse kiiruse mõõtmise täpsus järjest kasvanud. Tänapäevaks on selle väärtus teada juba sedavõrd täpselt, et pikkusühik 1 meeter on defineeritud valguse levimise kaudu. Valguse kiirust tähistatakse valemites tähega c (kr celeritas – kiirus) ja selle väärtus on tänapäeval teada üheksa kümnendkoha täpsusega:
c = 299 792 458 m/s = 299,792458 Mm/s ≈ 300 Mm/s = 3 . 108 m/s.

Michelson ja Morley katseseade. Ülemisel pildil on seadme üldvaade, alumisel valguse käik seadmes. Katse käigus ei tekkinud Maa liikumisega piki ja risti levivates kiirte käigus mingisugust vahet.

Aastal 1877 sooritasid ameerika füüsikud Albert Michelson ja Edward Morley keerulise eksperimendi, mille üheks eesmärgiks oli näidata, et Maa liikumine mõjutab valguse vaatlemise tulemusi. Michelson ja Morley oletasid, et kui Maa tiirleb suure kiirusega (30 km/s) ümber Päikese, siis peaksid täpsed katseriistad suutma eristada olukordi, mil Maal asuv vaatleja liigub valguslainega samas sihis või sellega risti. Samas sihis liikumisel peaks katse tulemus viitama valguse ja Maa kiiruste omavahelisele liitmisele või lahutamisele, sarnaselt maanteel liikuvate autode omavahelise kiiruse leidmisega. Michelson ja Morley ei suutnud aga avastada mitte mingeid jälgi valguse ja Maa kiiruste liitumisest. Nende katse negatiivne tulemus oli senise füüsikaga suures vastuolus. Newtoni mehaanika aluseks on teadmine, et kiirusi saab alati ülalkirjeldatud viisil liita või lahutada. Michelson ja Morley näitasid aga, et valguse kiiruse katseline väärtus ei sõltu valgusallika ega vaatleja liikumisest. Valguse kiirus on kõigi vaatlejate jaoks ühesugune. Tegemist on füüsika üldprintsiibiga, mida nimetatakse absoluutkiiruse printsiibiks. 

Makromaailma kirjeldavat füüsikat, mille aluseks on Newtoni sõnastatud mehaanika seadused (p.3.5. eespool), nimetatakse klassikaliseks füüsikaks (lad classicus – kõrgeimate hulka kuuluv). Klassikalises füüsikas on liikumine suhteline ja mingi objekti kiirus on erinevate vaatlejate jaoks erinev. Samas aja kulgemine, kaugused ja kehade mõõtmed ning mass on kõikide vaatlejate jaoks ühesugused ega sõltu liikumisest. Aeg, ruum ja mass on klassikalises füüsikas absoluutsed. Aeg on nagu kõigi vaatlejate jaoks ühesugune rong, mille vaguniteks on päevad ja mis ühtemoodi (igavalt?) möödub kõigist vaatlejatest. See vagun, mis parajasti möödub, on tänane päev või olevik, „äsja möödunud vagun“ on eilne päev või minevik, „järgmine vagun“ või homne päev aga – tulevik. Me teame, et rong on olemas ja liigub sõltumatult sellest, kas keegi seda raudtee kõrvalt parajasti vaatleb või mitte. Selle põhjal tekib pettekujutlus, et ka aeg on olemas vaatlejatest sõltumatult. 

Kui me lennujaamas liikuval lindil kõnnime, siis meie kiirus sihtkoha suunas suureneb - lindi ja kõndimise kiirused liituvad. Valgusimpulsi kiirust ei ole võimalik sel teel suurendada, see on kõikide vaatlejate jaoks c.

Samalaadne lugu on ruumiga. Klassikaline kujutlus käsitleb ruumi kui mingit kinga­karpi, mis on olemas ka kingade puudumisel. Eesti keel soodustab kujutlusi ruumist kui kingakarbist ja füüsikalistest kehadest kui kingadest selles karbis. Kui näiteks inglise keeles tähistab ruumi mingis hoones sõna room ning maailmaruumi (füüsikalist ruumi) sõna space, siis eesti keeles on mõlema kohta kasutusel üks ja seesama sõna ruum. Me tajume klassiruumi kui karpi. Tajume kui midagi, millel on servad kui koordinaatteljed ja nurgad kui telgede lõikepunktid. See asjaolu sisendab meisse jõuliselt analoogilisi kujutlusi füüsikalise ruumi kohta. 

Absoluutkiiruse printsiip aga väidab, et valguse kui väljalise objekti jaoks pole liikumine suhteline, vaid vastupidi – absoluutne. Suhtelisteks osutuvad hoopis pikkus, aeg ja mass. Aega kui lõputut ja kõigile ühesugust rongi – pole olemas. Samuti pole olemas ruumi kui kõigile võimalikele kingadele ühesugust kingakarpi. Aeg ja ruum on vaid vaatleja kujutlused. Iga vaatleja tekitab need omaenda aistingute põhjal ja kannab neid endaga kaasas. Kui kaks vaatlejat saavad erinevaid aistinguid, siis nende vaatlejate kujutlused ajast ja ruumist peavadki olema erinevad. Ruum on olemas vaid sedavõrd, kui temas on kehi. Aeg on olemas vaid sedavõrd, kui temas toimuvad sündmused

Relativistliku füüsika alused

Kui asusime tutvuma vaatleja mõistega (p.1.2.1), siis oli juba juttu sellest, et aeg kulgeb erinevate vaatlejate jaoks erinevalt. Mingi sündmus võib ühe vaatleja jaoks olla juba toimunud, aga teise vaatleja jaoks veel toimumata. Meenutagem välgu ja kõuemürina näidet eelmise punkti alguses. Asetsegu samas kohas maapinnal kaks vaatlejat, kellest ühel on terve nägemine, teisel aga puudub nägemismeel täielikult – ta on pime. Samas on mõlemal vaatlejal normaalne kuulmine. Kui näiteks vaatlejatele lähenevas äikesepilves toimub neist kolme kilomeetri kaugusel esimene välgulöök, siis terve vaatleja näeb seda ja saab kohe teada lähenevast äikesest. Kuna helilaine läbib iga kilomeetri kolme sekundiga, siis kuulevad mõlemad vaatlejad kõuemürinat alles üheksa sekundit peale välgulööki. Nende 9 sekundi jooksul on lähenev äike ja sellega seonduvad võimalikud ohud juba kindel osa esimese vaatleja reaalsustajust või isiklikust looduspildist. Pimeda vaatleja jaoks see aga veel nii ei ole. 

Nähtava universumi mõõtmed ei ole määratud maapealsete telesoopide tundlikkusega. Objekti on võimalik vaadelda vaid juhul, kui lõpliku kiirusega liikuv valgus on sealt Maani jõudnud, kõik kaugemad objektid on meie jaoks nähtamatud.

Nendime, et mingi sündmus muutub osaks vaatleja looduspildist alles siis, kui teade sellest sündmusest on vaatlejani jõudnud. Kui teade on alles teel, siis on sündmus selle konkreetse vaatleja jaoks veel toimumata. Rangelt võttes on välgulöök ka esimese vaatleja jaoks veel toimumata selle kümne mikro­sekundi jooksul, mis kulub valgusel 3 km läbimiseks, kuna aja definitsiooni (valemi 3.3) kohaselt

Ajaline viivis 10 µs on 10 000 korda väiksem inimese nägemismeele ajalisest lahutusvõimest ehk ajavahemikust veel eristatavate sündmuste vahel (ca 0,1 s). Seetõttu võime makromaailmas rahumeeli eeldada, et valgussignaali levik aega ei võta ning klassikalise füüsika seadused on rakendatavad. Samas tuleb valgus kaugetelt tähtedelt Maani meie jaoks miljonite aastate jooksul, mistõttu megamaailmas tohib kasutada ainult relativistlikku füüsikat. 

Relativistlik füüsika (lad relativus – suhteline) on selline aja ja ruumi käsitlus, mis lähtub absoluutkiiruse printsiibist. Seni ilmunud füüsikaõpikutes on reeglina kombeks esitada seda printsiipi kahes osas, kuna nõnda toimis ka relativistliku füüsika looja Albert Einstein. Tema 1905. aastal kirjutatud teedrajav artikkel Liikuvate kehade elektrodünaamikast põhines kahel lähte-eeldusel ehk postulaadil. Kaasaegses sõnastuses kõlaksid nad nii: 

1. Kõik vaatlusandmed on suhtelised (relatiivsusprintsiip). Füüsikaliste suuruste väärtused on üksteise suhtes liikuvate vaatlejate jaoks erinevad ning ükski vaatleja pole eelistatud.

2. On olemas suurim võimalik kiirus ehk absoluutkiirus, millega levib väli ainelise objekti suhtes (valguse kiirus vaa­kumis c = 299 792 458 m/s). See kiirus on kõigi vaatlejate jaoks üks ja sama (absoluutkiiruse kons­tantsuse printsiip). 

Rangelt võttes tuleks siinkohal täpsustada, et absoluutkiirusega liigub nullise seisumassiga objekt nullist erineva seisumassiga objekti suhtes. Objekti seisumassiks nimetatakse objekti massi selle objekti suhtes paigal seisva vaatleja jaoks. Välja­osakestest ehk vastastikmõjusid vahendavatest osakestest omavad nulli­ga võrduvat seisumassi elektromagnetilise mõju vaheosake footon ehk valguskvant (kr photo – valgus) ja tugeva mõju vaheosake gluuon (ingl glue – liim). Valdav osa füüsikuid usub ka gravitatsioonilise mõju hüpoteetilise vaheosakese gravitoni (lad gravitas – raskus) seisumassi võrdumisse nulliga. Nõrga mõju vaheosakesel, mida teaduslikus kirjanduses enamasti nimetatakse W- või Z-bosoniks, on aga nullist erinev seisumass ja seetõttu nõrga mõju vaheosake ei liigu absoluutkiirusega. See asjaolu aga meie tavamaailmas mitte kuidagi ei kajastu. Nullist erinev on ka alles hiljuti (märtsis 2013) avastatud Higgsi bosoni seisumass. Higgsi bosonitest koosneb Higgsi väli, mis põhjustab kehade inertsust (kalduvust säilitada oma liikumisolekut). 

Aja aeglustumine ja pikkuste lühenemine

Juba eespool (p.3.2) oli juttu, et kujutluse ajast tekitab vaatleja kahe liikumise võrdlemise teel. Ta võrdleb uuritavat liikumist selle liikumisega, mis toimub kellas. Neis kellades, mida kasutame tavaelus, on tegemist mingi makroskoopilise keha perioodilise liikumisega. Mehaanilises kellas on see pöörlevalt võnkuv kellaratas, kvartskellas aga perioodiliselt oma mõõtmeid muutev kvartsikristall. Sekundi defineerimisel kasutatav tseesiumkell põhineb juba mikromaailma protsessil, millest „teate“ meieni toob elektromagnetlaine. Täpseim võimalik kell on selline, milles võrdlusliikumisena on kasutusel elektromagnetvälja liikumine. See toimub kõigi vaatlejate jaoks ühesuguse kiirusega – absoluutkiirusega c. Niisiis, parim kell on valguskell. 

Valguskella töö aluseks on ülalpool (p.4.4.1) kirjeldatud Galileo Galilei idee valguse kiiruse mõõtmiseks, mida teeksid kaks lampidega meest. Valguskellas aga on teine mees lihtsalt asendatud peegliga. Punktis A toimub välklambi sähvatus. Kui vastav valgussignaal jõuab sähvatuse toimumiskohast kaugusel l asetseva peeglini, siis valgussignaal peegeldub tagasi, läbib uuesti vahemaa l ning registreeritakse välklambi vahetus läheduses paikneva seadme abil. Seepeale välklamp sähvatab uuesti ja kogu protsess kordub. Niisuguse valguskella üks ajaühik ehk kasutatava protsessi periood on aja definitsiooni t = s/v põhjal 2l/c. Kui näiteks pikkuseks l on valitud 150 m, siis on valguskella ajaühikuks ligikaudu üks mikrosekund (vt arvutust 4.1). Asume edaspidi nimetama sündmuseks A valguse teeleminekut, sündmuseks B valguse jõudmist peeglini ja sündmuseks C valguse jõudmist tagasi lähtekohta. 

1971.a. lendasid füüsik Joseph C. Hafele ja astronoom and Richard E. Keating koos nelja aatomkellaga kaks korda ümber maailma ja võrdlesid siis nende näitusid maapealsete kelladega. Erinevus kellade näitudes oli vastavuses relatiivsusteooria ennustustega.

Paiknegu nüüd selline valguskell Maast eemalduvas kosmoselaevas, kusjuures kosmoselaeva kiirus v on juba lähedane absoluutkiirusele c. Kosmonaut liigub Maa suhtes valguskellaga kaasa, tema jaoks on valguskell paigal ning sündmuste A ja B vahel on kosmonaudi maailmapildi kohaselt ajavahemik t0 = l/c, sündmuste A ja C vahel aga ajavahemik 2t0 = 2l/c (valguskella ajaühik). Tähega t0 hakkame edaspidi tähistama omaaega ehk mingi sündmuse (antud juhul B) toimumisaega tegevuspaigal viibiva vaatleja jaoks. Rangelt võttes on meil muidugi tegemist ajavahemikuga ΔtAB alghetke ehk sündmuse A toimumise tA ja sündmuse B toimumishetke tB vahel, aga lugedes aja väärtust alghetkel nulliks (tA = 0), saame et ΔtAB = tBtA = t0 – 0 = t0

Uurime nüüd, kui pikk on seesama ajavahemik ΔtAB Maal paikneva vaatleja seisu­kohalt, kelle jaoks valguskell on eemalduv objekt. Maapealse vaatleja jaoks läbib valgus sündmuste A ja B vahel pikema tee, pikkusega d (alumine joonis). Seni kuni valgus liigub välklambist peeglini, eemaldub kosmoselaev ja seega ka peegel Maast mingi pikkuse s võrra. Valguse kiirus on aga nii kosmonaudi kui maapealse vaatleja jaoks ühesugune (absoluutkiiruse printsiip). Kui kiirus on sama, siis pikema tee läbimiseks kulub rohkem aega. Järelikult on ajavahemik ΔtAB maapealse vaatleja jaoks pikem. Tähistame selle aja edaspidi lihtsalt t-ga. Kui eeldame, et aja arvestuse alghetk (sündmus A) on mõlema vaatleja jaoks sama, siis toimub sündmus B maapealse vaatleja jaoks hiljem (t > t0). Asume uurima, kui palju hiljem. 

Kosmonaudi jaoks teatavasti t0 = l/c ja seega l = c t0. Maapealse vaatleja jaoks aga d = c t ja s = v t. Jooniselt näeme, et pikkused s ja l on sellise täisnurkse kolmnurga kaatetiteks, mille hüpotenuus on d. Täisnurkse kolmnurga kohta kehtib Pythagorase teoreem: s2 + l2 = d2 ehk meie juhul 

Et saada seost suuruste t ja t0 vahel, peame avama sulud ja viima suurust t sisaldavad liikmed samale poole võrdusmärki: 

Sellest 

järelikult

Jõudsime järeldusele, et aeg pole kõigi vaatlejate jaoks ühesugune. Kui sündmuspaik mingi vaatleja suhtes liigub, siis ajavahemik kahe sündmuse vahel selle vaatleja jaoks pikeneb. Aja kulg sõltub liikumiskiirusest. Aja sõltuvust kiirusest väljendab valem

kus aeg sündmuskohal viibiva vaatleja jaoks ehk omaaeg on t0 ja aeg sündmuskoha suhtes kiirusega v liikuva vaatleja jaoks on t. Valemist 4.2 on näha, et kui liikumist pole (kiirus v = 0) või kiirus v on absoluutkiirusega c võrreldes väike, siis erinevust aegade vahel pole ja t = t0. Valemis 4.2 sisalduvat suurust 

nimetatakse Lorentzi teguriks. See suurus esineb suuremas osas relativistliku füüsika valemitest ja näitab relativistlike muutuste ulatust. Kiiruse v lähenemisel absoluut­kiirusele c kasvab Lorentzi tegur kiiresti: näiteks γ (0,6 c) = 1,25; γ (0,87 c) = 2; γ (0,98 c) = 5 ja γ (0,995 c) = 10. Absoluutkiirusel saab Lorentzi tegur lõpmata suureks. 

Kui me suudaksime lennata kiirusega, mis moodustab 99,5% absoluutkiirusest, siis oleks Lorentzi tegur meie jaoks 10 ja valemi 4.2 kohaselt t = 10 t0. Kui me lendaksime sellise kiirusega täheni, mis paikneb Maast 10 valgus­aasta kaugusel, siis kestaks meie reis maapealsete vaatlejate jaoks ligikaudu 10 aastat, sest me liigume peaaegu sama kiirusega kui valgus. Meie endi elus mööduks aga vaid üks aasta. Kohalejõudmist kõigest ühe aasta jooksul on võimalik seletada vaid nii, et vahemaa valitud täheni, mis maapealse vaatleja jaoks on 10 valgusaastat, on meie jaoks vaid üks valgusaasta. Võime järeldada, et kui tegevuspaik mingi vaatleja jaoks liigub, siis vahemaad või pikkused selles paigas lühenevad antud vaatleja jaoks seesama tegur γ korda, mis määras ajavahemike pikenemise. Objektide pikkuste kohta kehtib valem

kus l0 on objekti omapikkus ehk pikkus selle vaatleja jaoks, kes on objekti suhtes paigal, l aga on objekti lühenenud pikkus – vaatleja jaoks, kelle suhtes objekt liigub kiirusega v

Pikkuste lühenemine - vaatleja jaoks näivad relativistlikel kiirustel liikuvad objektid lühematena.

Pikkuste lühenemine on seletatav järgmiselt. Liikuva objekti tegeliku pikkuse leiab vaatleja objekti otsa­punktidest lähtuvate valgussignaalide ajaliste viiviste arvesta­misel. Selles mõttes on objekti tegeliku pikkuse leidmine arvutuste tulemus või ”tagantjärele-tarkus”. Arutlus on järgmine: signaali päralejõudmise hetkel on objekti otsapunkt enam mitte seal, kust signaal teele läks (punktis, mis määrab objekti näiva pikkuse), vaid signaali teel oleku aja jooksul objekti poolt läbitud pikkuse võrra mujal (kui otsapunkt kaugeneb, siis vaatlejast kaugemal, kui läheneb, siis vaatlejale lähemal). Kaugeneva otsapunkti korral liigub otsapunkt eemale nii oma kujutisest ehk näivast asukohast kui ka vaatlejast. Otsapunkt ja kujutist vaatlejani toov valgus liiguvad vastassuundades. Läheneva otsapunkti korral liigub otsapunkt aga oma kujutisele järe­le – otsa­punkt ja valgus liiguvad samas suunas. Kaugeneva otsapunkti korral on otsapunkti kujutise vaatlejani jõudmiseks kuluv aeg alati lühem ajast, mis kuluks valgusel otsapunkti tegelikust asukohast tulekuks. Läheneva otsapunkti korral on punkti kujutise vaatlejani jõudmise aeg tegelikust asukohast tuleku ajaga võrreldes pikem. Nende kahe aja vahe jooksul jõuab lähenev otsapunkt ”täiendavalt läheneda”, mistõttu objekti tegelik pikkus ehk objekti otsapunktide arvutuslik vahekaugus nende punktide kujutiste vaatlejani jõud­mise hetkel on alati väiksem otsapunktide vahekaugusest objekti suhtes paigal oleva vaatleja jaoks. 

Nüüd aga arvutame, kui palju aega kulub kaugelt tähelt tuleval valgusel Maani jõudmiseks valguse enda seisukohalt. Teisisõnu leiame, milline on valguse liikumise omaaeg. Valemist 4.2 saame, et 

millest valguse jaoks (v = c) järeldub t0 = 0, valguse jaoks on omaaeg alati null. Kui me saaksime valguse käest küsida, kui palju aega tal kulus kaugelt tähelt Maani jõudmiseks, siis võiks valgus vastata, et tal ei kulunudki aega. Veelgi tõenäolisemalt vastaks valgus aga hoopis küsimusega Mis asi see aeg on? Ja nüüd oleme sunnitud nentima, et me ei suuda valgusele seletada, mis on aeg. Valgus on ju „alati kohal“, tema jaoks ei ole olemas erinevate kiirustega liikuvaid objekte. Seega pole mingit võimalust kujundada aja mõistet. Analoogiliselt pole hüpoteetilisel puhtväljalisel vaatlejal mingit võimalust kujundada ruumi mõistet. Võime teha järelduse: puhtalt väljalise ehk aine suhtes absoluutkiirusega liikuva objekti jaoks pole ruumi ja aega olemas. See järeldus on heas kooskõlas tõdemusega, et puhtväljalise objekti jaoks tõrjutusprintsiip ei kehti, ajalis-ruumilisi piiranguid ei eksisteeri. 

Massi suurenemine
Osakeste kiirendi Tevatron Fermilabis. Sellised kiirendid on sageli ringikujulised ja relativistlikel kiirustel on vaja osakeste õigel trajektooril hoidmiseks rakendada palju suuremaid jõudusid, kui seda näeks ette klassikaline füüsika.

Mass on teatavasti keha inertsuse mõõt. Kui erineva massiga kehi mõjutada sama jõuga, siis kasvab suurema massiga keha kiirus aeglasemalt. Kujutleme, et me lükkame mingit keha pidevalt sama suure jõuga. Keha kiirus hakkab selle tagajärjel kasvama. Kuna jõud ei muutu, siis kasvab keha kiirus ühtlaselt – liikumine toimub konstantse kiirendusega. Kui kiirus kasvab väga suureks ja hakkab absoluutkiirusele lähenema, siis hakkab aeg muutuma. Selle vaatleja jaoks, kelle suhtes keha liigub, muutuvad kehaga seotud ajavahemikud pikemaks. Mingi kindla kiiruse kasvu Δv saavutamiseks kulub järjest rohkem aega. Kiiruse kasv muutub järjest aeglasemaks, keha kiirendus üha väheneb. Kiiruse kasvu aeglustumine aga tähendab, et keha muutub inertsemaks. Teisisõnu – keha mass kiiruse suurenemisel kasvab. Niisiis, ka mass pole relativistlikus füüsikas enam absoluutne. Mass sõltub liikumiskiirusest. 

Erinevus seisva ja liikuva keha masside vahel on samuti määratud Lorentzi teguriga. Kehtib aja aeglustumist kirjeldava valemiga 4.2 analoogiline valem

kus m0 on keha seisumass ehk mass selle vaatleja jaoks, kes on keha suhtes paigal. m aga on keha suurenenud mass – vaatleja jaoks, kelle suhtes keha liigub kiirusega v. Kuna ainelise objekti mass kasvab objekti kiiruse lähenemisel absoluutkiirusele valemi 4.5 kohaselt lõpmata suureks, siis ei saa mitte ükski aineline keha liikuda absoluutkiirusega. Puhtväljaline ehk nulliga võrduva seisumassiga objekt, näiteks valguse osake footon – liigub absoluutkiirusel. Lõpmata suure Lorentzi teguri γ ja nulliga võrduva seisumassi m0 korrutamine valemis 4.5 annab footonile täiesti lõpliku ja mõõdetava massi, mis on määratud footoni energiaga. 

Massi ja energia samaväärsus

Füüsika uurib ainelisi ja väljalisi objekte ning nende osalusel toimuvaid protsesse ehk nähtusi. Aineliste ja väljaliste objektide kõige üldisem ühine omadus on nende olemasolu. Tutvumisel aine ja välja üldiste omadustega saime ka juba teada, et ainet ja välja võib vastastikku teineteiseks muundada. See viib meid mõttele, et aine ja välja olemasolu kirjeldavad või siis kummagi konkreetset kogust määravad füüsikalised suurused peaksid olema omavahel seotud. „Kui ühte valuutat on võimalik teise vastu vahetada, siis peab ju eksisteerima vahetuskurss“ ütleks rahandusspetsialist. Millise suuruse ühikutes toimub aga arveldamine aine ja välja vastastikustel muundumistel?

Aine tunnuseks on see, ainelistel kehadel on kindlad mõõtmed ja nad koosnevad osakestest. Ainelisi kehi iseloomustavateks suurusteks on näiteks mass ja ruumala. Mida suurem on keha, seda rohkem on temas kindla massiga aineosakesi ning seda suurem on keha kui terviku mass. Mass on aineliste objektide üldkoguse loomulikuks mõõduks, kõige üldisemaks olemasolu väljendavaks suuruseks. Rangelt peaksime siiski ütlema, et aineliste objektide olemasolu, aine mingi kindel kogus avaldub vaatleja aistingutes kõigepealt läbi massiks nimetatava füüsikalise suuruse. 

Väljaliste objektide olemasolu ning mingi kindel kogus välja avaldub vaatleja aistingutes aga kõigepealt läbi energiaks nimetatava füüsikalise suuruse. Me teame, et valgus kui kõige tuntum väljaline objekt kannab endas energiat. Valgus neeldub kehades, mis selle tagajärjel soojenevad. Me ütleme selle kohta, et valguse energia muutus soojuseks. Valguse energiat saab aga päikesepatareide abil muuta ka elektrienergiaks. Kuna nii aineliste kui väljaliste objektide kohta kehtib atomistlik printsiip, siis võib neelduva valguse kogust mõõta valguse osakeste ehk footonite arvuga. Igal footonil on aga kindel energia, mis on määratud vastavat liiki valguse võnkesagedusega. Mida rohkem on footoneid, seda rohkem on ka valguse energiat. 

Meenutame eelmises punktis arendatud mõttekäiku, mis selgitas keha kiirendamisega kaasnevat massi kasvamist. Kuna keha kiirendamisel mõjub jõud ja toimub liikumine, siis tehakse tööd. Keha kiirendamisel tehtav töö suurendab keha energiat. Liikuva keha energia on kineetiline ja selle hulk on määratud keha massi ja kiirusega. Mida suuremaks saab keha kiirus, seda suurem on ka keha kineetiline energia. Kui aga keha kiirus hakkab lähenema absoluutkiirusele, siis kasvab kiirus vaatamata pidevalt lisatavale energiale järjest vähem. Lõpuks jõuame olukorrani, kus vaatamata energia juurdeandmisele jääb kiirus praktiliselt muutumatuks. Kuhu see energia siis koguneb, kui kiirus enam kasvada ei saa? Vastus on lihtne: kuna suurel kiirusel hakkab kasvama keha mass, siis järelikult salvestub energia lisamassina

Sama järelduseni jõudis relativistliku füüsika loomise käigus Albert Einstein. Kui energia kasvuga kaasneb massi suurenemine, siis järelikult mass ja energia on samaväärsed ehk võõrsõnaga väljendudes – ekvivalentsed. Nad on füüsikalised suurused, mis väljendavad vastavalt aine ja välja tähtsaimat omadust – olemasolu. Nende taga on looduse üks ja seesama omadus, mis avaldub vaatlejale erinevalt. See erinevus on üks tunnustest, mille alusel me teeme vahet aine ja välja vahel. Massi ja energia sama­väärsust väljendab kõigi aegade kuulsaim füüsikavalem

mida me oleme arvatavasti ammu harjunud nägema kõrvuti selle valemi tuletaja Einsteini pildiga. Valemi 4.6 range tuletamine nõuab kõrgema matemaatika kasutamist, aga esmalähenduses võiks meid valemi 4.6 kehtivuses veenda võrdlus kineetilise energia valemiga Ek = mv2/2 (valem 3.9). Kineetilise energia valemisse tekib arv 2 ju põhjusel, et kehale kineetilise energia andmiseks peame keha kiirendama paigalseisust (v = 0) kuni kiiruse lõppväärtuseni v. Keha keskmine kiirus selles protsessis on pool algväärtuse ja lõppväärtuse summast (0 + v)/2 = v/2. Valgus aga liigub aineliste objektide suhtes alati absoluutkiirusega, teda kiirendada ei saa. Seetõttu võrdub valguse keskmine kiirus alati absoluut­kiirusega, kahega jagamist kineetilise energia valemis ei teki ning valgusosakese ehk footoni kineetilise energia valem võtab kuju 4.6, kus m on footoni mass. Kuna valguse olemasolu avaldub vaatlejale ainult läbi liikumise, siis on footoni koguenergia ja kineetiline energia üks ja seesama asi. Ainelise objekti olemasolu aga avaldub vaatlejale eelkõige läbi vastava ainekoguse massi. Seetõttu tuleb ainelise objekti ehk keha summaarne energia leida massi m kaudu sama kujuga valemist (4.6). 

Kui keha on vaatleja suhtes paigal, siis esineb samaväärsusseoses 4.6 keha seisumass m0 ja vastavat puhast olemasolu-energiat nimetatakse keha seisuenergiaks Er. Tähistusviis tuleneb ingliskeelsest sõnast rest – paigalseis. Niisiis, Er = m0c2. Kui me uurime mitterelativistlikult ehk absoluutkiirusest palju väiksema kiirusega liikuvat keha, siis võime keha koguenergia E esitada kas seisuenergia Er, kineetilise energia Ek ja potentsiaalse energia Ep summana või siis väljendada kõiki energiaid korraga läbi keha massi, mis on kineetilise ja potentsiaalse energia olemasolu tõttu suurem seisumassist. Kui tegemist on näiteks raskusjõu potentsiaalse energiaga, siis konkreetselt

Kuna massi ja energia samaväärsusseoses 4.6 sisalduv absoluutkiiruse ruut on tohutult suur arv, siis on aines talletuv olemasolu-energia hiiglasuur. Kui ainekogus massiga üks gramm õnnestuks täielikult muuta väljaks, siis vabaneks sama palju energiat, kui me saaksime 3000 tonni ehk 50 vagunitäie kivisöe täielikul ärapõletamisel. Tegelikkuses muutub väljaks vaid väike osa reaktsioonis osalevast ainest. 

Aine osalisel muutmisel väljaks vabanevat energiat nimetatakse tuumaenergiaks. Tuumaelektrijaamade reaktorites vabaneb see energia uraanituumade pooldumisel. Osa laguneva uraanituuma massist muutub väljade energiaks. Veel rohkem energiat vabaneb reaktsioonides, mille käigus liituvad vesiniku aatomite tuumad, moodustades heeliumi tuumasid. Selline reaktsioon toimub meie Päikese ja kõigi teiste tähtede sisemuses ja on kogu maapealse elu olemasolu tagavaks energiaallikaks. Lähemalt uurime tuumareaktsioone Mikro- ja megamaailma füüsika kursuses. 

Terviklik kaasaegne füüsikaline maailmapilt
Terviklik kaasaegne füüsikaline maailmapilt

Oleme lõpetamas oma esimest tutvumisretke läbi kaasaegse füüsika. Oleme saanud teada, et füüsika uurib looduse kahte põhivormi – ainet ja välja. Ainest koosnevad kehad, vastastikmõjusid kehade vahel vahendavad väljad. Põhivastastikmõjusid on neli: gravitatsiooniline, elektromagnetiline, nõrk ja tugev. Selles reas üldiselt väheneb mõju ulatus, aga suureneb mõju tugevus (joonis 4.2) 

Kõik olemasolev allub atomistlikule printsiibile, energia miinimumi printsiibile ja absoluutkiiruse printsiibile. Ainelised objektid alluvad ka tõrjutusprintsiibile, mistõttu nende kirjelda­misel saab kasutada mõisteid ruum ja aeg. Väljaliste objektide mitte-allumisega tõsjutusprintsiibile kaasneb väljade superpositsiooniprintsiibi kehtivus. Tulenevalt absoluutkiiruse printsiibist pole mõisted ruum ja aeg puhtväljalistele objektidele rakendatavad. 

Kehade põhiomadusteks on koosnemine aatomitest,mõõtmete omamine, liikumine, liikumisoleku säilitamine ehk inertsus ja osalemine vastastikmõjudes. See viimane ikkagi lõpuks muudab kehade liikumisolekut. Kehade omadustest tulenevad peamised füüsikalised suurused (skeemil tähistatud märgiga FS). Kehade mõõtmetest tuleneb FS nimega pikkus (l), liikumise kontekstis saab pikkusest teepikkus (s). Kehade liikumisolekut kirjeldab kiirus (v), liikumiste võrdlemine tekitab suuruse nimega aeg (t). Aeg on defineeritav teepikkuse ja kiiruse suhtena (t = s/v). Keha kiiruse muutumist ajas näitab kiirendus (a). Kehadevahelise vastastikmõju tugevust näitab jõud (F). Kehade inertsuse omadust kirjeldab mass (m), mis on määratletav jõu ja kiirenduse suhtena (m = F/a). Protsesse kirjeldab töö (A), mis on jõu F ja teepikkuse s korrutis. Olekuid kirjeldab energia (E). Kuna protsess viib keha ühest olekust teise, siis on töö algoleku ja lõppoleku energiate vahe (A = E1E2). Kõike ülalöeldut kujutabki kaasaegse füüsikalise maailmapildi seoste üldskeem. Suutlikkus seda skeemi mõttekalt kommenteerida ongi füüsika tundmine – käesoleva FLA kursuse tasemel. Sestap on soovitav FLA kursuse materjali ülekordamiseks vaadata ikka ja jälle skeemi ning mõtiskleda selle üle. Väga kasulik on ka üritada skeemi täiendada. Edu kõigile selles!